Supervised Learning for Predictive Pore Size Classification of Regenerated Cellulose Membranes Based on Atomic Force Microscopy Measurements
Abstract
:1. Introduction
2. Results
2.1. Baseline Diffusion Measurements
2.2. Atomic Force Microscopy
2.3. Classifier Model Development
2.3.1. Normality Assessment and Hypothesis Testing for Inter-MWCO Discrimination
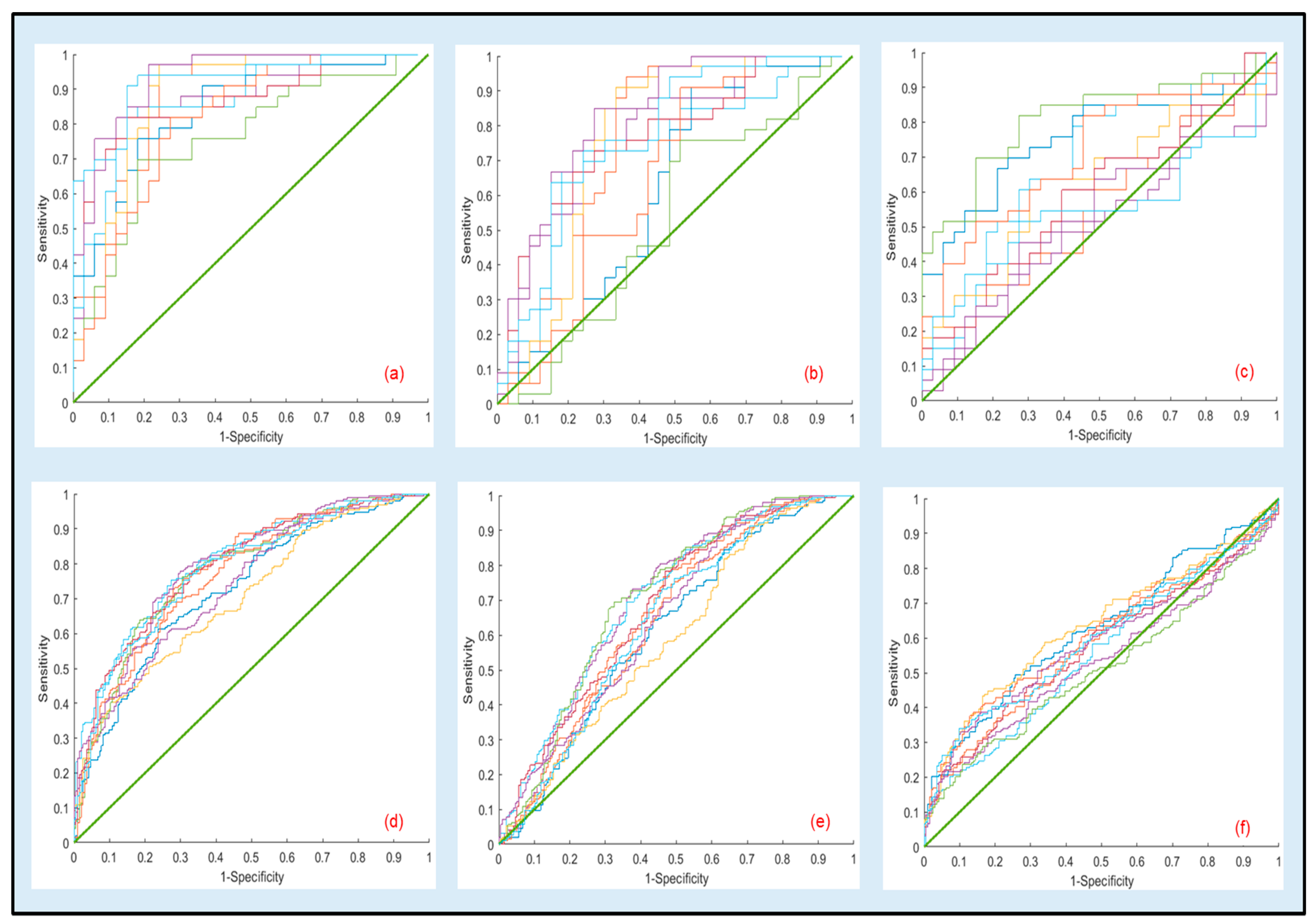
2.3.2. Algorithm Validation
2.3.3. Cross-Validation and Minimum Sample Size Determination
3. Discussion
4. Materials and Methods
4.1. Materials
4.2. Methods
4.2.1. Baseline Diffusion Measurements
4.2.2. Atomic Force Microscopy
4.2.3. Detection of Instrument and Environmental Drifts
4.2.4. Classifier Model Development
Normality Assessment and Hypothesis Testing for Inter MWCO Discrimination
Data Transformation
Logistic Regression and Receiver Operating Characteristic Curves
Cross-Validation and Optimal Testing Sample Size Determination
5. Conclusions
Supplementary Materials
Author Contributions
Funding
Acknowledgments
Conflicts of Interest
References
- Vitas, S.; Segmehl, J.; Burgert, I.; Cabane, E. Porosity and pore size distribution of native and delignified beech wood determined by mercury intrusion porosimetry. Materials 2019, 12, 416. [Google Scholar] [CrossRef] [PubMed] [Green Version]
- Miyashiro, D.; Hamano, R.; Umemura, K. A review of applications using mixed materials of cellulose, nanocellulose and carbon nanotubes. Nanomaterials 2020, 10, 186. [Google Scholar] [CrossRef] [Green Version]
- Martoïa, F.; Dumont, P.J.; Orgéas, L.; Belgacem, M.N.; Putaux, J.-L. On the origins of the elasticity of cellulose nanofiber nanocomposites and nanopapers: A micromechanical approach. RSC Adv. 2016, 6, 47258–47271. [Google Scholar] [CrossRef]
- Meng, Q.; Shi, X. A microstructure-based constitutive model of anisotropic cellulose nanopaper with aligned nanofibers. Extrem. Mech. Lett. 2021, 43, 101158. [Google Scholar] [CrossRef]
- Curvello, R.; Raghuwanshi, V.S.; Garnier, G. Engineering nanocellulose hydrogels for biomedical applications. Adv. Colloid Interface Sci. 2019, 267, 47–61. [Google Scholar] [CrossRef] [PubMed]
- Yang, Y.; Lu, Y.T.; Zeng, K.; Heinze, T.; Groth, T.; Zhang, K. Recent progress on cellulose-based ionic compounds for biomaterials. Adv. Mater. 2020, 33, 2000717. [Google Scholar] [CrossRef] [PubMed] [Green Version]
- Kim, S.; Kang, J.Y.; Balance, W.C.; Sutton, B.P.; Shin, D.H.; Jang, K.H.; Shin, M.; Kong, H.; Kim, J.W. Fabrication of cell penetrating peptide-conjugated bacterial cellulose nanofibrils with remarkable skin adhesion and water retention performance. Int. J. Pharm. 2021, 600, 120476. [Google Scholar] [CrossRef]
- Mineshima, M. The past, present and future of the dialyzer. Contrib. Nephrol. 2015, 185, 8–14. [Google Scholar] [PubMed]
- Junter, G.-A.; Lebrun, L. Cellulose-based virus-retentive filters: A review. Rev. Environ. Sci. Biotechnol. 2017, 16, 455–489. [Google Scholar] [CrossRef]
- Ma, Z.; Ramakrishna, S. Electrospun regenerated cellulose nanofiber affinity membrane functionalized with protein a/g for igg purification. J. Membr. Sci. 2008, 319, 23–28. [Google Scholar] [CrossRef]
- Östlund, Å.; Idström, A.; Olsson, C.; Larsson, P.T.; Nordstierna, L. Modification of crystallinity and pore size distribution in coagulated cellulose films. Cellulose 2013, 20, 1657–1667. [Google Scholar] [CrossRef]
- Zhou, J.; Zhang, L.; Cai, J.; Shu, H. Cellulose microporous membranes prepared from Naoh/Urea aqueous solution. J. Membr. Sci. 2002, 210, 77–90. [Google Scholar] [CrossRef]
- Simpliciano, C.; Clark, L.; Asi, B.; Chu, N.; Mercado, M.; Diaz, S.; Goedert, M.; Mobed-Miremadi, M. Cross-linked alginate film pore size determination using atomic force microscopy and validation using diffusivity determinations. J. Surf. Eng. Mater. Adv. Technol. 2013, 3, 1–12. [Google Scholar] [CrossRef] [Green Version]
- Feger, G.; Angelov, B.; Angelova, A. Prediction of amphiphilic cell-penetrating peptide building blocks from protein-derived amino acid sequences for engineering of drug delivery nanoassemblies. J. Phys. Chem. B 2020, 124, 4069–4078. [Google Scholar] [CrossRef]
- Wan, S.; Liang, X.; Jiang, H.; Sun, J.; Djilali, N.; Zhao, T. A coupled machine learning and genetic algorithm approach to the design of porous electrodes for redox flow batteries. Appl. Energy 2021, 298, 117177. [Google Scholar] [CrossRef]
- Yu, H.; Chen, G.; Gu, H. A machine learning methodology for multivariate pore-pressure prediction. Comput. Geosci. 2020, 143, 104548. [Google Scholar] [CrossRef]
- Krishnapriyan, A.S.; Montoya, J.; Haranczyk, M.; Hummelshøj, J.; Morozov, D. Machine learning with persistent homology and chemical word embeddings improves prediction accuracy and interpretability in metal-organic frameworks. Sci. Rep. 2021, 11, 1–11. [Google Scholar] [CrossRef]
- Özkan, M.; Borghei, M.; Karakoç, A.; Rojas, O.J.; Paltakari, J. Films based on crosslinked tempo-oxidized cellulose and predictive analysis via machine learning. Sci. Rep. 2018, 8, 1–9. [Google Scholar] [CrossRef]
- Müller, P.; Abuhattum, S.; Möllmert, S.; Ulbricht, E.; Taubenberger, A.V.; Guck, J. Nanite: Using machine learning to assess the quality of atomic force microscopy-enabled nano-indentation data. BMC Bioinform. 2019, 20, 1–9. [Google Scholar] [CrossRef] [PubMed]
- Liu, Y.; Sun, Q.; Lu, W.; Wang, H.; Sun, Y.; Wang, Z.; Lu, X.; Zeng, K. General resolution enhancement method in atomic force microscopy using deep learning. Adv. Theory Simul. 2018, 2, 1800137. [Google Scholar] [CrossRef]
- Oinonen, N. Interpreting Atomic Force Microscope Images with Machine Learning. Available online: https://aaltodoc.aalto.fi/handle/123456789/39948 (accessed on 14 August 2021).
- Mencattini, A.; Casti, P.; Fazio, G.; Ghibelli, L.; Luce, M.; Cricenti, A.; Martinelli, E.; Natale, C.D. Uncertainty evaluation of a Vbm system for Afm study of cell-cerium oxide nanoparticles interactions. IEEE Trans. Instrum. Meas. 2018, 67, 1564–1572. [Google Scholar] [CrossRef]
- Minelli, E.; Ciasca, G.; Sassun, T.E.; Antonelli, M.; Palmieri, V.; Papi, M.; Maulucci, G.; Santoro, A.; Giangaspero, F.; Delfini, R.; et al. A fully-automated neural network analysis of AFM force-distance curves for cancer tissue diagnosis. Appl. Phys. Lett. 2017, 111, 143701. [Google Scholar] [CrossRef] [Green Version]
- Sokolov, I.; Dokukin, M.E.; Kalaparthi, V.; Miljkovic, M.; Wang, A.; Seigne, J.D.; Grivas, P.; Demidenko, E. noninvasive diagnostic imaging using machine-learning analysis of nanoresolution images of cell surfaces: Detection of bladder cancer. Proc. Natl. Acad. Sci. USA 2018, 115, 12920–12925. [Google Scholar] [CrossRef] [PubMed] [Green Version]
- Huang, B.; Li, Z.; Li, J. An artificial intelligence atomic force microscope enabled by machine learning. Nanoscale 2018, 10, 21320–21326. [Google Scholar] [CrossRef] [PubMed]
- Borodinov, N.; Tsai, W.-Y.; Korolkov, V.V.; Balke, N.; Kalinin, S.V.; Ovchinnikova, O.S. Machine learning-based multidomain processing for texture-based image segmentation and analysis. Appl. Phys. Lett. 2020, 116, 044103. [Google Scholar] [CrossRef]
- Sundstrom, A.; Cirrone, S.; Paxia, S.; Hsueh, C.; Kjolby, R.; Gimzewski, J.K.; Reed, J.; Mishra, B. Image analysis and length estimation of biomolecules using AFM. IEEE Trans. Inf. Technol. Biomed. 2012, 16, 1200–1207. [Google Scholar] [CrossRef] [Green Version]
- James, G.; Witten, D.; Hastie, T.J.; Tibshirani, R. An Introduction to Statistical Learning; Springer: New York, NY, USA, 2017. [Google Scholar]
- Berthold, T.; Benstetter, G.; Frammelsberger, W.; Rodríguez, R.; Nafría, M. Numerical study of hydrodynamic forces for AFM operations in liquid. Scanning 2017, 2017, 1–12. [Google Scholar] [CrossRef] [PubMed] [Green Version]
- Colson, J.; Andorfer, L.; Nypelö, T.E.; Lütkemeier, B.; Stöckel, F.; Konnerth, J. Comparison of silicon and OH-Modified AFM tips for adhesion force analysis on functionalised surfaces and natural polymers. Colloids Surf. A Physicochem. Eng. Asp. 2017, 529, 363–372. [Google Scholar] [CrossRef]
- Gusenbauer, C.; Nypelö, T.; Jakob, D.S.; Xu, X.G.; Vezenov, D.V.; Asaadi, S.; Sixta, H.; Konnerth, J. Differences in surface chemistry of regenerated lignocellulose fibers determined by chemically sensitive scanning probe microscopy. Int. J. Biol. Macromol. 2020, 165, 2520–2527. [Google Scholar] [CrossRef]
- Zhu, Q.; Zhou, R.; Liu, J.; Sun, J.; Wang, Q. Recent Progress on the Characterization of Cellulose Nanomaterials by Nanoscale Infrared Spectroscopy. Available online: https://www.ncbi.nlm.nih.gov/pmc/articles/PMC8190638/ (accessed on 19 October 2021).
- Wagner, R.; Moon, R.J.; Raman, A. Mechanical Properties of Cellulose Nanomaterials Studied by Contact Resonance Atomic Force Microscopy. Available online: https://link.springer.com/article/10.1007/s10570-016-0883-4 (accessed on 19 October 2021).
- Lo, Y.-S.; Huefner, N.D.; Chan, W.S.; Dryden, P.; Hagenhoff, B.; Beebe, T.P. Organic and inorganic contamination on commercial AFM cantilevers. Langmuir 1999, 15, 6522–6526. [Google Scholar] [CrossRef]
- Kabir, S.M.; Sikdar, P.P.; Haque, B.; Bhuiyan, M.A.; Ali, A.; Islam, M.N. Cellulose-based hydrogel materials: Chemistry, properties and their prospective applications. Prog. Biomater. 2018, 7, 153–174. [Google Scholar] [CrossRef] [Green Version]
- Okugawa, A.; Sakaino, M.; Yuguchi, Y.; Yamane, C. Relaxation phenomenon and swelling behavior of regenerated cellulose fibers affected by water. Carbohydr. Polym. 2020, 231, 115663. [Google Scholar] [CrossRef]
- Ye, D.; Zhong, Z.; Xu, H.; Chang, C.; Yang, Z.; Wang, Y.; Ye, Q.; Zhang, L. Construction of cellulose/nanosilver sponge materials and their antibacterial activities for infected wounds healing. Cellulose 2015, 23, 749–763. [Google Scholar] [CrossRef]
- Fluid Imaging AFM of Cellulose Bio-Membranes. Available online: https://www.eag.com/resources/appnotes/fluid-imaging-afm-of-cellulose-bio-membranes/ (accessed on 19 October 2021).
- Moiseev, Y.N.; Mostepanenko, V.M.; Panov, V.I.; Sokolov, I.Y. Force dependences for the definition of the atomic force microscopy spatial resolution. Phys. Lett. A 1988, 132, 354–358. [Google Scholar] [CrossRef]
- Gan, Y. Atomic and subnanometer resolution in ambient conditions by atomic force microscopy. Surf. Sci. Rep. 2009, 64, 99–121. [Google Scholar] [CrossRef]
- Kuwahara, S.; Akita, S.; Shirakihara, M.; Sugai, T.; Nakayama, Y.; Shinohara, H. Fabrication and characterization of high-resolution AFM tips with high-quality double-wall carbon nanotubes. Chem. Phys. Lett. 2006, 429, 581–585. [Google Scholar] [CrossRef]
- Fukuma, T.; Kobayashi, K.; Matsushige, K.; Yamada, H. True molecular resolution in liquid by frequency-modulation atomic force microscopy. Appl. Phys. Lett. 2005, 86, 193108. [Google Scholar] [CrossRef] [Green Version]
- Baranwal, M.; Gorugantu, R.S.; Salapaka, S.M. Robust atomic force microscopy using multiple sensors. Rev. Sci. Instrum. 2016, 87, 083704. [Google Scholar] [CrossRef] [Green Version]
- Akrami, S.M.; Nakayachi, H.; Watanabe-Nakayama, T.; Asakawa, H.; Fukuma, T. Significant improvements in stability and reproducibility of atomic-scale atomic force microscopy in liquid. Nanotechnology 2014, 25, 455701. [Google Scholar] [CrossRef] [Green Version]
- Fournier, R.L. Basic Transport Phenomena in Biomedical Engineering; CRC Press: Boca Raton, FL, USA, 2012. [Google Scholar]
- Vidakovic, B. Engineering Biostatistics: An Introduction Using Matlab and WinBUGS; Wiley: Hoboken, NJ, USA, 2017. [Google Scholar]
- Yap, B.W.; Sim, C.H. Comparisons of various types of normality tests. J. Stat. Comput. Simul. 2011, 81, 2141–2155. [Google Scholar] [CrossRef]
- Despang, F.; Dittrich, R.; Gelinsky, M. Novel biomaterials with parallel aligned pore channels by directed ionotropic gelation of alginate: Mimicking the anisotropic structure of bone tissue. Adv. Biomim. 2011, 349–372. [Google Scholar]
- Oprea, M.; Voicu, S.I. Recent advances in applications of cellulose derivatives-based composite membranes with hydroxyapatite. Materials 2020, 13, 2481. [Google Scholar] [CrossRef] [PubMed]




| Material | Machine Learning Method(s) | Study |
|---|---|---|
| Zebrafish spinal cord | Support vector machines Decision trees | Müller, et al. [19] |
| Glioblastoma and multiple myeloma cells | Neural network | Minelli, et al. [23] |
| Cells found in urine | Random forests, extremely randomized forests, gradient boosting trees | Sokolov, et al. [24] |
| Ferritic electric materials and electrochemical systems | Support vector machines | Huang, et al. [25] |
| Ionic liquid layers on top of graphite and melem on boron nitride | Fast-Fourier Transform (FFT), primary component analysis (PCA), cross-correlation (CC) and stationary wavelet decomposition | Borodinov, et al. [26] |
| DNA fragments | Linear regression | Sundstrom, et al. [27] |
| Human leukemia cells AFM images with simulated artifacts | Support vector machines and linear discriminant analysis | Mencattini, et al. [22] |
| Low-resolution AFM images | Convolutional Neural Network (CNN) | Liu, et al. [20] |
| Simulated AFM images | Convolutional Neural Network (CNN) | Oinonen [21] |
| Marker/Membrane MWCO | (A-A0) |
|---|---|
| 4 kDa/50 kDa | 0.37 |
| 4 kDa/100 kDa | 0.61 |
| 4 kDa/1000 kDa | 1.13 |
| Statistic | Mode | n | 1000 kDa | 100 kDa | 50 kDa |
|---|---|---|---|---|---|
| Theoretical Stokes’ radius (nm) | N/A | N/A | 7.3 | 3.4 | 2.7 |
| Average (nm) | Tapping | 60 | 9.45 | 7.34 | 5.65 |
| Measured range (nm) | Tapping | 60 | 23 | 41 | 19 |
| % relative error of accuracy | Tapping | 60 | 29.4 | 116 | 109 |
| absolute error of accuracy (nm) | Tapping | 60 | 2 | 4 | 3 |
| Fourier fit raw data | Tapping | 60 | 0.430 | 0.091 | 0.200 |
| Fourier fit filtered data | Tapping | N/A | 0.290 | 0.212 | 0.380 |
| Kruskal–Wallis test p-value | Tapping | 60 | 0.5384 | 0.9569 | 0.924 |
| Average (nm) | Fluid | 304 | 15.3 | 8.34 | 11.1 |
| Measured range (nm) | Fluid | 304 | 138 | 44 | 72 |
| % relative error of accuracy | Fluid | 304 | 110 | 145 | 312 |
| absolute error of accuracy (nm) | Fluid | 304 | 8 | 5 | 8 |
| Fourier fit raw data | Fluid | 304 | 0.057 | 0.036 | 0.02 |
| Fourier fit filtered data | Fluid | N/A | 0.398 | 0.371 | 0.450 |
| Kruskal–Wallis test p-value | Fluid | 304 | 0.1534 | 0.681 | 0.681 |
| RC Type | Gaussian Moments | Tapping (n = 60) | JB * | Normality Assessment | Fluid (n = 304) | JB ** | Normality Assessment |
|---|---|---|---|---|---|---|---|
| 50 kDa | Skewness | 2.069 | 113 | Fail | 2.307 | 733 | Fail |
| Kurtosis | 8.201 | 9.048 | |||||
| 100 kDa | Skewness | 2.599 | 371 | Fail | 2.833 | 1545 | Fail |
| Kurtosis | 9.338 | 12.482 | |||||
| 1000 kDa | Skewness | 2.314 | 117 | Fail | 4.776 | 17,919 | Fail |
| Kurtosis | 8.017 | 39.379 |
| Mode | Comparison | p-Value |
|---|---|---|
| Tapping | 100 vs. 1000 kDa | 0.000 |
| Tapping | 50 vs. 1000 kDa | 0.000 |
| Tapping | 50 vs. 100 kDa | 0.275 |
| Fluid | 100 vs. 1000 kDa | 0.000 |
| Fluid | 50 vs. 1000 kDa | 0.000 |
| Fluid | 50 vs. 100 kDa | 0.083 |
| Mode | Comparison | Weka AUC (80%) | Algorithm AUC (80%) |
|---|---|---|---|
| Tapping | 100 vs. 1000 kDa | 0.931 | 0.852 ± 0.0335 |
| Tapping | 50 vs. 1000 kDa | 0.785 | 0.722 ± 0.0424 |
| Tapping | 50 vs. 100 kDa | 0.590 | 0.604 ± 0.0437 |
| Fluid | 100 vs. 1000 kDa | 0.753 | 0.762 ± 0.0104 |
| Fluid | 50 vs. 1000 kDa | 0.663 | 0.661 ± 0.0184 |
| Fluid | 50 vs. 100 kDa | 0.576 | 0.579 ± 0.0172 |
| Method | Comparison | AUC at 100% | AUCopt | Youden at 100% | Youdenopt | β0opt | β1opt |
|---|---|---|---|---|---|---|---|
| Tapping | 100 vs. 1000 kDa | 0.8521 ± 0.0335 | 0.8341 ± 0.0519 | 0.442 ± 0.0496 | 0.463 ± 0.0582 | −4.1233 ± 0.9533 | 0.5998 ± 0.1316 |
| Fluid | 100 vs. 1000 kDa | 0.7622 ± 0.0104 | 0.7614 ± 0.0314 | 0.287 ± 0.0209 | 0.294 ± 0.0438 | −1.7784 ± 0.2600 | 0.1561 ± 0.0256 |
| Combination | Comparison | Raw Data AUC | Algorithm AUC (100%) | Agreement |
|---|---|---|---|---|
| T1 | 100 kDa vs. 1000 kDa | 0.894 | 0.8521 ± 0.0335 | Yes |
| T2 | 50 kDa vs. 1000 kDa | 0.749 | 0.7216 ± 0.0425 | Yes |
| T3 | 50 kDa vs. 100 kDa | 0.620 | 0.6035 ± 0.04366 | Yes |
| F1 | 100 kDa vs. 1000 kDa | 0.794 | 0.7622 ± 0.0104 | Yes |
| F2 | 50 kDa vs. 1000 kDa | 0.708 | 0.6613 ± 0.0184 | No |
| F3 | 50 kDa vs. 100 kDa | 0.541 | 0.5821 ± 0.0385 | Yes |
| Strength | AUC |
|---|---|
| high | 0.8–1 |
| medium | 0.7–0.8 |
| low | <0.7 |
Publisher’s Note: MDPI stays neutral with regard to jurisdictional claims in published maps and institutional affiliations. |
© 2021 by the authors. Licensee MDPI, Basel, Switzerland. This article is an open access article distributed under the terms and conditions of the Creative Commons Attribution (CC BY) license (https://creativecommons.org/licenses/by/4.0/).
Share and Cite
Hadsell, A.; Chau, H.; Barber, R., Jr.; Kim, U.; Mobed-Miremadi, M. Supervised Learning for Predictive Pore Size Classification of Regenerated Cellulose Membranes Based on Atomic Force Microscopy Measurements. Materials 2021, 14, 6724. https://doi.org/10.3390/ma14216724
Hadsell A, Chau H, Barber R Jr., Kim U, Mobed-Miremadi M. Supervised Learning for Predictive Pore Size Classification of Regenerated Cellulose Membranes Based on Atomic Force Microscopy Measurements. Materials. 2021; 14(21):6724. https://doi.org/10.3390/ma14216724
Chicago/Turabian StyleHadsell, Alex, Huong Chau, Richard Barber, Jr., Unyoung Kim, and Maryam Mobed-Miremadi. 2021. "Supervised Learning for Predictive Pore Size Classification of Regenerated Cellulose Membranes Based on Atomic Force Microscopy Measurements" Materials 14, no. 21: 6724. https://doi.org/10.3390/ma14216724
APA StyleHadsell, A., Chau, H., Barber, R., Jr., Kim, U., & Mobed-Miremadi, M. (2021). Supervised Learning for Predictive Pore Size Classification of Regenerated Cellulose Membranes Based on Atomic Force Microscopy Measurements. Materials, 14(21), 6724. https://doi.org/10.3390/ma14216724

