Device Optimization of a Lead-Free Perovskite/Silicon Tandem Solar Cell with 24.4% Power Conversion Efficiency
Abstract
1. Introduction
2. Solar Cell Structure and Parameters
3. Optimization of Sub-Cell Parameters in Standalone Conditions
3.1. Effects of the Silicon Absorber Layer Thickness and the BSF Dopant Concentration on the Bottom Sub-Cell
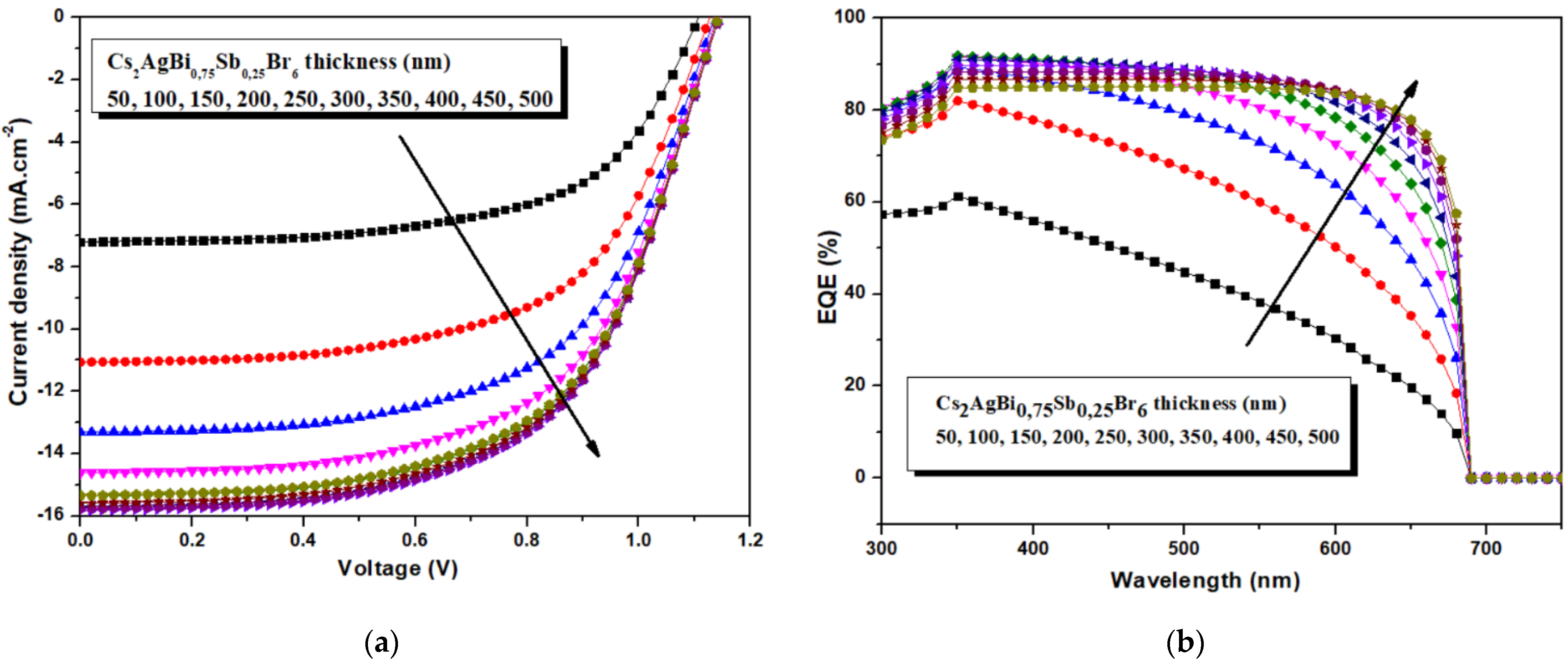
3.2. Effects of the Perovskite Absorber Layer Thickness of the Top Cell
4. Lead-Free Perovskite/Silicon Tandem Solar Cell
4.1. Combined Effect of the Thicknesses of the Two Absorber Layers on the Performance of the Tandem Cell
4.2. Effect of the Working Temperature on the Parameters of the Optimized Tandem Solar Cell
5. Conclusions
Author Contributions
Funding
Acknowledgments
Conflicts of Interest
References
- Reyes-Belmonte, M.A. Quo Vadis Solar Energy Research. Appl Sci. Multidiscip. Digit. Publ. Inst. 2021, 11, 3015. [Google Scholar]
- Miller, O.D.; Yablonovitch, E. Photon extraction: The key physics for approaching solar cell efficiency limits. Act Photonic Mater V [Internet]. International Society for Optics and Photonics. Available online: https://www.spiedigitallibrary.org/conference-proceedings-of-spie/8808/880807/Photon-extraction--the-key-physics-for-approaching-solar-cell/10.1117/12.2024592.short (accessed on 1 June 2021).
- Todorov, T.; Gunawan, O.; Guha, S. A road towards 25% efficiency and beyond: Perovskite tandem solar cells. Mol. Syst Des. Eng. R. Soc. Chem. 2016, 1, 370–376. [Google Scholar] [CrossRef]
- Rideout, V.L. A review of the theory and technology for ohmic contacts to group III–V compound semiconductors. Solid-State Electron. 1975, 18, 541–550. [Google Scholar] [CrossRef]
- Eperon, G.E.; Hörantner, M.T.; Snaith, H.J. Metal halide perovskite tandem and multiple-junction photovoltaics. Nat. Rev. Chem. Nat. Publ. Group 2017, 1, 1–18. [Google Scholar] [CrossRef]
- Leijtens, T.; Bush, K.A.; Prasanna, R.; McGehee, M.D. Opportunities and challenges for tandem solar cells using metal halide perovskite semiconductors. Nat. Energy Nat. Publ. Group 2018, 3, 828–838. [Google Scholar] [CrossRef]
- Wali, Q.; Elumalai, N.K.; Iqbal, Y.; Uddin, A.; Jose, R. Tandem perovskite solar cells. Renew. Sustain. Energy Rev. 2018, 84, 89–110. [Google Scholar] [CrossRef]
- Stranks, S.D.; Eperon, G.E.; Grancini, G. Electron-Hole Diffusion Lengths Exceeding 1 Micrometer in an Organometal Trihalide Perovskite Absorber. Science 2013. [Google Scholar] [CrossRef]
- Ponseca, C.S.; Savenijie, T.J.; Abdellah, M. Organometal Halide Perovskite Solar Cell Materials Rationalized: Ultrafast Charge Generation, High and Microsecond-Long Balanced Mobilities, and Slow Recombination. J. Am. Chem. Soc. 2014. [Google Scholar] [CrossRef]
- Zhu, S.; Yao, X.; Ren, Q.; Zheng, C.; Li, S.; Tong, Y.; Shi, B.; Guo, S.; Fan, L.; Ren, H.; et al. Transparent electrode for monolithic perovskite/silicon-heterojunction two-terminal tandem solar cells. Nano Energy 2018, 45, 280–286. [Google Scholar] [CrossRef]
- Eperon, G.E.; Stranks, S.D.; Menelaou, C.; Johnston, M.B.; Herz, L.M.; Snaith, H.J. Formamidinium lead trihalide: A broadly tunable perovskite for efficient planar heterojunction solar cells. Energy Environ. Sci. R. Soc. Chem. 2014, 7, 982–988. [Google Scholar] [CrossRef]
- Zhou, H.; Li, C.; Luo, S. Interface engineering of highly efficient perovskite solar cells. Science 2014. [Google Scholar] [CrossRef] [PubMed]
- Best Research-Cell Efficiency Chart. Available online: https://www.nrel.gov/pv/cell-efficiency.html (accessed on 28 March 2021).
- Li, Z.; Klein, T.R.; Kim, D.H.; Yang, M.; Berry, J.J.; Van Hest, M.F.A.M.; Zhu, K. Scalable fabrication of perovskite solar cells. Nat. Rev. Mater. Nat. Publ. Group 2018, 3, 1–20. [Google Scholar] [CrossRef]
- Reese, M.O.; Glynn, S.; Kempe, M.D.; McGott, D.L.; Dabney, M.S.; Barnes, T.M.; Booth, S.; Feldman, D.; Haegel, N.M. Increasing markets and decreasing package weight for high-specific-power photovoltaics. Nat. Energy. Nat. Publ. Group 2018, 3, 1002–1012. [Google Scholar] [CrossRef]
- Eperon, G.E.; Leijtens, T.; Bush, K.A. Perovskite-perovskite tandem photovoltaics with optimized band gaps. Science 2016. [Google Scholar] [CrossRef] [PubMed]
- Forgács, D.; Gil-Escrig, L.; Pérez-Del-Rey, D.; Momblona, C.; Werner, J.; Niesen, B.; Ballif, C.; Sessolo, M.; Bolink, H.J. Efficient Monolithic Perovskite/Perovskite Tandem Solar Cells. Adv. Energy Mater. 2017, 7, 1602121. [Google Scholar] [CrossRef]
- Rajagopal, A.; Yang, Z.; Jo, S.B. Highly Efficient Perovskite–Perovskite Tandem Solar Cells Reaching 80% of the Theoretical Limit in Photovoltage—Rajagopal—2017. Adv. Mater. Wiley Online Libr. 2017. [Google Scholar] [CrossRef]
- Ali, R.; Hou, G.-J.; Zhu, Z.-G.; Yan, Q.-B.; Zheng, Q.-R.; Su, G. Stable mixed group II (Ca, Sr) and XIV (Ge, Sn) lead-free perovskite solar cells. J. Mater. Chem A. R. Soc. Chem. 2018, 6, 9220–9227. [Google Scholar] [CrossRef]
- McClure, E.T.; Ball, M.R.; Windl, W. Woodward PM. Cs2AgBiX6 (X = Br, Cl): New Visible Light Absorbing, Lead-Free Halide Perovskite Semiconductors. Chem. Mater. Am. Chem. Soc. 2016, 28, 1348–1354. [Google Scholar]
- Madan, J.; Shivani Pandey, R.; Sharma, R. Device simulation of 17.3% efficient lead-free all-perovskite tandem solar cell. Sol. Energy 2020, 197, 212–221. [Google Scholar] [CrossRef]
- Almansouri, I.; Ho-Baillie, A.W.Y.; Green, M.A. Ultimate Efficiency Limit of Single-Junction Perovskite and Dual-Junction Perovskite/Silicon Two-Terminal Devices—IOPscience. Available online: https://iopscience.iop.org/article/10.7567/JJAP.54.08KD04/meta (accessed on 28 March 2021).
- Mailoa, J.; Bailie, C.; Johlin, E.; Hoke, E.; Akey, A.; Nguyen, W.; Mc Gehee, M.D.; Buanassisi, T. A 2-Terminal Perovskite/Silicon Multijunction Solar Cell Enabled by a Silicon Tunnel Junction. Appl. Phys. Lett. 2015, 106, 121105. [Google Scholar] [CrossRef]
- Werner, J.; Weng, C.-H.; Walter, A. Efficient Monolithic Perovskite/Silicon Tandem Solar Cell with Cell Area >1 cm2. J. Phys. Chem. Lett. 2016. [Google Scholar] [CrossRef] [PubMed]
- Zhong, Y.; Hufnagel, M.; Thelakkat, M.; Li, C.; Huettner, S. Role of PCBM in the Suppression of Hysteresis in Perovskite Solar Cells. Adv Funct Mater. 2020, 30, 1908920. [Google Scholar] [CrossRef]
- Schmiga, C.; Nagel, H.; Schmidt, J. 19% efficient n-type Czochralski silicon solar cells with screen-printed aluminium-alloyed rear emitter—Schmiga—2006—Progress in Photovoltaics. Res. Appl. Wiley Online Libr. 2006. [Google Scholar] [CrossRef]
- Zheng, J.; Lau, C.F.J.; Mehrvarz, H.; Ma, F.-J.; Jiang, Y.; Deng, X.; Soeriyadi, A.; Kim, J.; Zhang, M.; Hu, L.; et al. Large area efficient interface layer free monolithic perovskite/homo-junction-silicon tandem solar cell with over 20% efficiency. Energy Environ. Sci. R. Soc. Chem. 2018, 11, 2432–2443. [Google Scholar] [CrossRef]
- Tiwana, P.; Docampo, P.; Johnston, M.B.; Snaith, H.J.; Herz, L.M. Electron mobility and injection dynamics in mesoporous ZnO, SnO2, and TiO2 films used in dye-sensitized solar cells. ACS Nano 2011, 5, 5158–5166. [Google Scholar] [CrossRef]
- Wang, S.; Zhu, Y.; Liu, B.; Wang, C.; Ma, R. Introduction of carbon nanodots into SnO2 electron transport layer for efficient and UV stable planar perovskite solar cells. J. Mater. Chem. A. 2019, 7. [Google Scholar] [CrossRef]
- Wang, J.; Datta, K.; Weijtens, C.H.L.; Wienk, M.M.; Janssen, R.A.J. Insights into Fullerene Passivation of SnO2 Electron Transport Layers in Perovskite Solar Cells. Adv. Funct. Mater. 2019, 29, 1905883. [Google Scholar] [CrossRef]
- Ke, W.; Zhao, D.; Xiao, C.; Wang, C.; Cimaroli, A.J.; Grice, C.R.; Yang, M.; Li, Z.; Jiang, C.-S.; Al-Jassim, M.; et al. Cooperative tin oxide fullerene electron selective layers for high-performance planar perovskite solar cells. J. Mater. Chem. A. R. Soc. Chem. 2016, 4, 14276–14283. [Google Scholar] [CrossRef]
- You, J.; Meng, L.; Song, T.B.; Guo, T.F.; Yang, Y.M.; Chang, W.H.; Hong, Z.; Chen, H.; Zhou, H.; Chen, Q.; et al. Improved air stability of perovskite solar cells via solution-processed metal oxide transport layers. Nat. Nanotechnol. 2016, 11, 75–81. [Google Scholar] [CrossRef]
- Attequr, R.; Soo Hong, L. Advancements in n-Type Base Crystalline Silicon Solar Cells and Their Emergence in the Photovoltaic Industry. Sci. World J. 2013. [Google Scholar] [CrossRef]
- Dong, H.; Pang, S.; Zhang, Y.; Chen, D.; Zhu, W.; Xi, H.; Chang, J.; Zhang, J.; Zhang, C.; Hao, J. Improving Electron Extraction Ability and Device Stability of Perovskite Solar Cells Using a Compatible PCBM/AZO Electron Transporting Bilayer. Nanomater. Multidiscip. Digit. Publ. Inst. 2018, 8, 720. [Google Scholar] [CrossRef] [PubMed]
- Gao, H.; Qin, C.; Zhang, H.; Wu, S. Theoretical Characterization of a Typical Hole/Exciton-Blocking Material Bathocuproine and Its Analogues. J. Phys. Chem. A 2008. [Google Scholar] [CrossRef] [PubMed]
- Kim, K.; Lee, J.W.; Lee, S.H.; Lee, Y.B.; Cho, E.H.; Noh, H.-S.; Jo, S.G.; Joo, J. Nanoscale optical and photoresponsive electrical properties of P3HT and PCBM composite nanowires. Org. Electron. 2011, 12, 1695–1700. [Google Scholar] [CrossRef]
- Minbashi, M.; Ghobadi, A.; Ehsani, M.H.; Rezagholipour Dizaji, H.; Memarian, N. Simulation of high efficiency SnS-based solar cells with SCAPS. Sol. Energy. 2018, 176, 520–525. [Google Scholar] [CrossRef]
- Hutchby, J.A.; Markunas, R.J.; Bedair, S.M. Material Aspects Of The Fabrication Of Multijunction Solar Cells. Photovoltaics. In International Society for Optics and Photonics; 1985; p. 40. Available online: https://www.spiedigitallibrary.org/conference-proceedings-of-spie/0543/0000/Material-Aspects-Of-The-Fabrication-Of-Multijunction-Solar-Cells/10.1117/12.948195.short (accessed on 5 April 2021).
- NMendil, D.M.; Berkai, Z. Study of PEDOT: PSS and BCP Thicknesses Effect on SubPc/C60 Organic Solar Cell Efficiency. Available online: https://www.spiedigitallibrary.org/conference-proceedings-of-spie/9567/1/Study-of-PEDOT--PSS-and-BCP-thicknesses-effect-on/10.1117/12.2188651.short?SSO=1 (accessed on 28 March 2021).
- Burgelman, M.; Nollet, P.; Degrave, S. Modelling polycrystalline semiconductor solar cells. Thin Solid Films. 2000, 361–362, 527–532. [Google Scholar] [CrossRef]
- Kim, K.; Yoo, J.S.; Ahn, S.K.; Eo, Y.J.; Cho, J.S.; Gwak, J.; Yun, J.H. Performance prediction of chalcopyrite-based dual-junction tandem solar cells. Sol. Energy 2017, 155, 167–177, Pergamon Elsevier Science Ltd.: Oxford, UK. [Google Scholar] [CrossRef]
- Gupta, G.K.; Dixit, A. Theoretical studies of single and tandem Cu2ZnSn(S/Se)4 junction solar cells for enhanced efficiency. Opt. Mater. 2018, 82, 11–20. [Google Scholar] [CrossRef]
- Herguth, A. On the meaning(fullness) of the intensity unit ‘suns’ in light induced degradation experiments. Energy Procedia. 2017, 124, 53–59. [Google Scholar] [CrossRef]
- Chung, S.-Y.; Jin, N.; Rice, A.T.; Berger, P.R.; Yu, R.; Fang, Z.-Q.; Thompson, P.E. Growth temperature and dopant species effects on deep levels in Si grown by low temperature molecular beam epitaxy. J. Appl Phys. Am. Inst. Phys. 2003, 93, 9104–9110. [Google Scholar] [CrossRef]
- Chen, B.; Rudd, P.N.; Yang, S.; Yuan, Y.; Huang, J. Imperfections and their passivation in halide perovskite solar cells. Chem Soc. Rev. R. Soc. Chem. 2019, 48, 3842–3867. [Google Scholar] [CrossRef]
- Kim, K.; Gwak, J.; Ahn, S.K.; Eo, Y.-J.; Park, J.H.; Cho, J.-S.; Kang, M.G.; Song, H.E.; Yun, J.H. Simulations of chalcopyrite/c-Si tandem cells using SCAPS-1D. Sol. Energy. 2017, 145, 52–58. [Google Scholar] [CrossRef]
- Gu, X.; Yu, X.; Yang, D. Efficiency improvement of crystalline silicon solar cells with a back-surface field produced by boron and aluminum co-doping. Scr. Mater. 2012, 66, 394–397. [Google Scholar] [CrossRef]
- Burdick, J.; Glatfelter, T. Spectral response and I–V measurements of tandem amorphous-silicon alloy solar cells. Sol. Cells. 1986, 18, 301–314. [Google Scholar] [CrossRef]
- Leijtens, T.; Eperon, G.E.; Pathak, S.; Abate, A.; Lee, M.M.; Snaith, H.J. Overcoming ultraviolet light instability of sensitized TiO₂ with meso-superstructured organometal tri-halide perovskite solar cells. Nat. Commun. 2013, 4, 2885. [Google Scholar] [CrossRef]
- Han, Y.; Meyer, S.; Dkhissi, Y.; Weber, K.; Pringle, J.M.; Bach, U.; Spiccia, L.; Chneg, Y.-B. Degradation observations of encapsulated planar CH3NH3PbI3 perovskite solar cells at high temperatures and humidity. J. Mater. Chem. A. R. Soc. Chem. 2015, 3, 8139–8147. [Google Scholar] [CrossRef]
- Dong, L.; Sun, S.; Deng, Z.; Li, W.; Wei, F.; Qi, Y.; Li, J.; Li, X.; Lu, P.; Ramamurty, U. Elastic properties and thermal expansion of lead-free halide double perovskite Cs2AgBiBr. Comput. Mater. Sci. 2018, 141, 49–58. [Google Scholar] [CrossRef]
- Zheng, X.; Tang, L.; Zhang, D.; Dong, J.; Yang, H. Effect of contact spreading layer on photovoltaic response of InGaN-based solar cells. Phys. Status Solidi A. 2011, 208, 199–201. [Google Scholar] [CrossRef]
- Rothmann, M.U.; Li, W.; Zhu, Y.; Bach, U.; Spiccia, L.; Etheridge, J.; Cheng, Y.-B. Direct observation of intrinsic twin domains in tetragonal CH 3 NH 3 PbI. Nat. Commun. Nat. Publ. Group 2017, 8, 14547. [Google Scholar] [CrossRef] [PubMed]
- Abdulsalam, H.; Babaji, G.; Abba, H.T. The Effect of Temperature and Active layer thickness on the Performance of CH3NH3PbI3 Perovskite Solar Cell: A Numerical Simulation Approach. J. Found. Appl Phys. 2018, 5, 141–151. [Google Scholar]

















| Parameters | SnO2 | PCBM | Perovskite | NiO | P++ Si | n-Si | n++ Si |
|---|---|---|---|---|---|---|---|
| Thickness (µm) | 0.006 | 0.04 | 0.4 | 0.04 | 0.02 | 80 | 0.1 |
| Bandgap (eV) | 3.6 | 2 | 1.8 | 3.8 | 1.12 | 1.12 | 1.12 |
| Electron affinity (eV) | 4 | 3.9 | 3.58 | 1.8 | 4.05 | 4.05 | 4.05 |
| Dielectric permittivity | 9 | 4 | 6.5 | 11.7 | 11.9 | 11.9 | 11.9 |
| CB effective density of states (cm–3) | 2.2 × 1018 | 1 × 1021 | 2.2 × 1018 | 2.5 × 1020 | 2.8 × 1019 | 2.8 × 1019 | 2.8 × 1019 |
| VB effective density of States (cm–3) | 1.8 × 1019 | 2 × 1020 | 1.8 × 1019 | 2.5 × 1020 | 2.6 × 1019 | 2.6 × 1019 | 2.6 × 1019 |
| Electron mobility (cm2/Vs) | 100 | 0.01 | 2 | 1 × 10−3 | 1.04 × 103 | 1.04 × 103 | 1.04 × 103 |
| Hole mobility (cm2/Vs) | 25 | 0.01 | 2 | 1 × 10−3 | 4.2 × 102 | 4.2 × 102 | 4.2 × 102 |
| Donor density (cm–3) | 5 × 1014 | 5 × 1014 | 1 × 1013 | 0 | 0 | 1 × 1014 | 1 × 1022 |
| Acceptor density (cm–3) | 0 | 0 | 1 × 1017 | 5 × 1017 | 5 × 1019 | 0 | 0 |
| Parameters | Jsc (mA.cm–2) | Voc(V) | FF (%) | PCE (%) |
|---|---|---|---|---|
| Bottom Silicon Sub-Cell 1.2 eV | ||||
| Our Work | 37.81 | 0.660 | 80.0 | 19.4 |
| Experimental [26] | 37.7 | 0.620 | 78.0 | 18.9 |
| Top Perovskite Sub-Cell 1.8 eV | ||||
| Our Work | 15.5 | 1.14 | 59 | 10.24 |
| Experimental [16] | 15.1 | 1.12 | 58 | 9.80 |
| Parameters | Top Cell | Bottom Cell | Tandem Cell |
|---|---|---|---|
| Voc (V) | 1.09 | 0.66 | 1.76 |
| Jsc (mA.cm–2) | 16.01 | 16.09 | 16.01 |
| FF (%) | 82 | 81.3 | 86.7% |
| PCE (%) | 14.37 | 15.56 | 24.4% |
Publisher’s Note: MDPI stays neutral with regard to jurisdictional claims in published maps and institutional affiliations. |
© 2021 by the authors. Licensee MDPI, Basel, Switzerland. This article is an open access article distributed under the terms and conditions of the Creative Commons Attribution (CC BY) license (https://creativecommons.org/licenses/by/4.0/).
Share and Cite
Amri, K.; Belghouthi, R.; Aillerie, M.; Gharbi, R. Device Optimization of a Lead-Free Perovskite/Silicon Tandem Solar Cell with 24.4% Power Conversion Efficiency. Energies 2021, 14, 3383. https://doi.org/10.3390/en14123383
Amri K, Belghouthi R, Aillerie M, Gharbi R. Device Optimization of a Lead-Free Perovskite/Silicon Tandem Solar Cell with 24.4% Power Conversion Efficiency. Energies. 2021; 14(12):3383. https://doi.org/10.3390/en14123383
Chicago/Turabian StyleAmri, Khaoula, Rabeb Belghouthi, Michel Aillerie, and Rached Gharbi. 2021. "Device Optimization of a Lead-Free Perovskite/Silicon Tandem Solar Cell with 24.4% Power Conversion Efficiency" Energies 14, no. 12: 3383. https://doi.org/10.3390/en14123383
APA StyleAmri, K., Belghouthi, R., Aillerie, M., & Gharbi, R. (2021). Device Optimization of a Lead-Free Perovskite/Silicon Tandem Solar Cell with 24.4% Power Conversion Efficiency. Energies, 14(12), 3383. https://doi.org/10.3390/en14123383
