Next Article in Journal
Correction: Ódor et al. Frustrated Synchronization of the Kuramoto Model on Complex Networks. Entropy 2024, 26, 1074
Previous Article in Journal
Bayesian Estimation of Marginal Quantiles with Missing Data in a Multivariate Regression Framework
Previous Article in Special Issue
What Is a Pattern in Statistical Mechanics? Formalizing Structure and Patterns in One-Dimensional Spin Lattice Models with Computational Mechanics
 
 
Font Type:
Arial Georgia Verdana
Font Size:
Aa Aa Aa
Line Spacing:
Column Width:
Background:
Article

Two-Stroke Pumping Technique for Many-Body Systems

CEVIPOF—Centre for Political Research, Sciences Po and CNRS, 1, Place Saint Thomas d’Aquin, 75007 Paris, France
Entropy 2026, 28(2), 202; https://doi.org/10.3390/e28020202
Submission received: 14 December 2025 / Revised: 27 January 2026 / Accepted: 5 February 2026 / Published: 10 February 2026
(This article belongs to the Special Issue Ising Model—100 Years Old and Still Attractive)

Abstract

I introduce a new analytical framework for estimating critical temperatures in interacting many-body systems, focusing on the Ising model. Combining the Bethe cluster setting, the Metropolis update, and the Galam Majority Model developed in sociophysics, I build a two-stroke pumping technique (TSP). Applied to the Ising model in dimensions d = 2 , 3 , 4 , TSP yields values of T c which are all at an excess of + 0.03 from exact estimates. At d = 1 , the exact value T c = 0 is obtained. In addition, TSP analytically indicates the practical impossibility of reaching full symmetry breaking at T = 0 . The results are thus found in good agreement with numerical findings while requiring significantly fewer computational resources than Monte Carlo sampling. Calculations are computationally efficient and transparent. The framework is general and can be extended to a broad class of discrete spin models. This positions TSP as an intermediate yet scalable tool for studying cooperative behavior in many-body interacting systems.

1. Introduction

Understanding the collective behavior of systems composed of many interacting degrees of freedom remains a central focus in statistical physics and beyond. In particular, since even simple local rules may exhibit rich and sometimes unexpected emergent collective phenomena. In this regard, the Ising model, introduced nearly a century ago [1], has played and is still playing a central driving role in tackling the issue.
Despite its minimal definition, consisting of binary spins s i = ± 1 on a lattice with nearest-neighbor coupling, it captures most of the essential features of cooperative ordering, critical behavior, and universality. The model’s conceptual simplicity and rich phenomenology have made it the standard testing ground for both analytical approximations and numerical simulations aimed at elucidating how macroscopic properties emerge from short and long-range microscopic interactions.
Over the decades, thanks to its simplicity and generality, the Ising model became a cornerstone prototype to investigate many body problems. The model provides a unifying framework for studying how collective behavior arises from local interactions in many systems with discrete symmetry, far beyond its original magnetic background.
Indeed, the same mathematical structure has been used to describe cooperative phenomena in a wide variety of systems, including binary alloys and lattice gases [2], neural networks [3], protein folding and glassy dynamics [4], as well as structural phase transitions and adsorption phenomena on surfaces.
Moreover, numerous Ising-like formulations have also been successfully adapted out of the traditional realm of physics to model decision-making processes, opinion dynamics, and social phenomena, where interacting agents replace interacting spins [5,6,7,8,9].
These interdisciplinary extensions have clarified how macroscopic collective behavior can emerge from local microscopic interactions even in complex or heterogeneous social networks, similarly to condensed matter physics. The large spectrum of applications of the Ising model has reinforced its framework as one of the most versatile and influential paradigms in modern quantitative sciences.
This diversity of applications underscores the model’s fundamental nature and motivates the pursuit of accurate theoretical and numerical methods capable of capturing its critical behavior. Understanding how the critical temperature and other macroscopic properties depend on the dimensionality and connectivity of the underlying lattice remains a central challenge in both physics and related disciplines. In particular, the evaluation of the critical exponents is instrumental in describing a related phase transition.
Thus, determining the critical temperature T c as a function of the various parameters of the model is an instrumental challenge. Especially since, up to date, the Ising model has been solved exactly only in one and two dimensions.
In one dimension, the model does not exhibit a finite-temperature phase transition with no order occurring at T > 0 . However, in two dimensions, the Onsager exact solution yields a finite T c [10]. In three or higher dimensions, the model being not exactly solvable, approximate or numerical approaches must be used.
With respect to analytical approximations, mean-field theory provides the simplest treatment, but it overestimates T c because it neglects fluctuations entirely. However, deviations from exact and numerical estimates decrease with increasing dimension, as fluctuations are gradually averaged out.
The Bethe approximation improves on the mean field result by incorporating short-range correlations via a tree-like effective lattice, yielding more accurate estimates of T c , particularly in low-dimensional systems [11]. Nevertheless, it still fails to account for loop contributions that are crucial in finite-dimensional lattices.
Later, the development of the renormalization group (RG) theory marked a major analytical breakthrough in the understanding of phase transitions and critical phenomena [4,12,13,14]. However, implementing RG transformations requires careful coarse-graining, truncation of degrees of freedom, and often intricate perturbative expansions, making the analysis technically more demanding than direct numerical simulations [15,16].
At the current stage of available analytical tools, to get accurate estimates of critical temperatures at any dimension requires running Monte Carlo simulations using either Metropolis or Glauber dynamics [17,18]. But then, large-sized systems are needed, raising the computational cost [19].
Last, but not least, an ad hoc formula for Ising critical temperatures inspired by another ad hoc formula for percolation thresholds was shown to yield very good estimates of Ising T c at all dimensions [20]. But till now, no derivation has been found.
Therefore, there is a methodological gap between analytically tractable but oversimplified approximations (mean-field and Bethe) and computationally heavy but accurate simulations (Monte Carlo, numerical RG). The goal of this work is thus to introduce a new, simple analytical scheme to reduce this gap.
Accordingly, I build a novel scheme, which combines the Bethe cluster setting, the Metropolis update, and the Galam Majority Model (GMM) [21,22] developed in sociophysics [23,24,25]. A two-stroke pumping technique is thus obtained (TSP). When applied to the Ising model in d-dimensions, associated values of T c can be extracted. The results are found to be in good agreement with exact and numerical estimates while requiring very little computational resources. In addition, while TSP recovers the exact T c = 0 at d = 1 , it also indicates the practical impossibility of reaching full symmetry breaking at T = 0 .
Indeed, a previous work has applied the Global Unifying Frame (GUF) [26] to the two-dimensional Ising system using both Metropolis and Glauber updates [27]. While the associated dynamics are different from the two-stroke pumping techniques, the associated value of T c is identical.
The rest of this article is organized as follows. I review the Ising model and various schemes to calculate its critical temperature at various dimensions using mean field, Bethe, real-space renormalization group, series, Monte Carlo, and ad hoc Galam-Mauger (GM) formula. The two-stroke pumping technique is presented in Section 3 and implemented at d = 2 . Section 4 deals with applying TSP at d = 1 , Section 5 to d = 3 and Section 6 to d = 4 . Concluding remarks are presented in Section 7.

2. The Ising Model

Before introducing my new proposal to evaluate the critical temperatures of the Ising model defined on a d-dimensional hypercubic lattice, it is useful to recall its basic setting.
Given a lattice, each site carries a spin variable s i = ± 1 . All the spins interact via nearest-neighbor interactions with a coupling constant J where J > 0 favors ferromagnetic ordering with parallel alignment, and J < 0 antiferromagnetic ordering with anti-parallel alignment. The Hamiltonian reads
H = J i j s i s j h i s i i h i s i ,
where i j runs over all distinct nearest-neighbor pairs of the lattice, h is an external uniform field applied to all spins, and h i is a local field, which couples linearly to the spin s i at site i and may vary from site to site. It can be positive, negative, or zero.
While the coupling favors ordering, a non-zero temperature T 0 produces thermal fluctuations, which in turn create disorder. Thermal fluctuations are governed by the Boltzmann weight exp ( H / T ) , where the temperature T is expressed in units with k B = 1 .
For the hypercube in dimensions d, the coordination number is z = 2 d . In the absence of both uniform ( h = 0 ) and local fields ( h i = 0 ), the model exhibits a thermal phase transition for all dimensions d 2 .
At high temperature, thermal agitation dominates, and the system remains disordered with zero magnetization. However, at low temperatures, the interaction term prevails over the thermal fluctuations and the system spontaneously orders, developing a nonzero magnetization.
The temperature separating these two regimes is the critical temperature T c ( d ) , or equivalently, the critical coupling K c ( d ) = 1 / T c ( d ) when setting J = k B = 1 . Determining T c ( d ) is a central problem in statistical physics. It is known exactly only in d = 1 with T c = 0 (no finite-temperature transition) and d = 2 with Onsager’s solution. For d 3 , the critical temperatures must be estimated through approximations including mean-field and Bethe, high-temperature series, renormalization-group methods, or large-scale Monte Carlo simulations. The dependence of T c on dimension provides a direct measure of how geometry and connectivity shape the balance between order and disorder in interacting spin systems.
Before moving on to my new proposal to evaluate critical temperatures of the nearest-neighbor Ising model at dimensions d, I report the current available estimates obtained using several different techniques. More precisely, I list a series of estimates for K c = 1 / T c with coupling constant J = 1 using, respectively, mean-field theory, Bethe approximation, real-space renormalization using the Migdal-Kadanoff, high-temperature series expansions, Monte Carlo simulations, combining finite-size scaling and high-statistics sampling, and the GM empirical formula.

2.1. Mean-Field (MF)

Mean-field (MF) estimates assume that each spin experiences an effective field proportional to the average magnetization. This yields
K c = 1 z ,
where z is the coordination number [28]. MF theory predicts wrongly a transition at d = 1 but correctly a continuous transition at d 2 . However, as MF neglects spatial correlations, related T c are systematically overestimated at low dimensions, i.e., underestimating K c as seen in Table 1. For example, on a square lattice ( z = 4 ), MF predicts K c = 0.250000 , nearly half the exact Onsager value. In three dimensions ( z = 6 ), K c = 0.166667 , compared to the Monte Carlo value of about 0.221655 [29]. MF becomes exact when the lattice is fully connected.

2.2. Bethe

The Bethe approximation [11] treats a central spin exactly while assuming that its z neighbors are uncorrelated and each has a magnetization equal to the mean magnetization. Within this approximation, the critical coupling is
K c Bethe = atanh 1 z 1 .
For a one-dimensional chain ( z = 2 ), Bethe gives K c Bethe , corresponding to T c = 0 . For a square lattice ( z = 4 ), it yields K c 0.346574 , underestimating the exact Onsager value K c 0.440687 [10]. With respect to MF, Bethe theory incorporates local correlations and partially accounts for dimensional effects [30]. Results are better from d = 4 and up.

2.3. Real-Space Renormalization (RG)

Real-space renormalization in the Migdal–Kadanoff (MK) approach [31,32] relies on a coarse-graining transformation combining bond moving and decimation to approximate the exact real-space RG flow of the Ising model. Despite its simplicity, this coarse-graining scheme yields a coherent sequence of critical couplings for the hypercubic Ising model across dimensions as seen in Table 1. These values reflect the typical accuracy of MK coarse-graining, which is qualitatively correct in low dimensions and increasingly accurate at higher dimensions [33,34].

2.4. Series

High-temperature series expansions [35,36] give precise estimates of K c by summing contributions from clusters of increasing size and using Padé extrapolations. They converge to the exact d = 2 solution [10] and to high-precision Monte Carlo results in d 3 [37,38,39,40,41,42]. Series methods explicitly capture both short- and long-range correlations, accurately reflecting the dimensional dependence of T c .

2.5. Monte Carlo Simulations (MC)

Monte Carlo simulations, combining finite-size scaling and high-statistics sampling, yield some of the most precise at d = 2 , 3 , 4 , 5 [37,41,42].
Monte Carlo simulations, using Metropolis [17] or Glauber dynamics [18], provide numerical benchmarks that reproduce known critical temperatures with high precision. For d = 2 , Monte Carlo reproduces Onsager’s exact value. These methods directly sample equilibrium distributions, capturing full many-body correlations, but are affected by critical slowing down near T c , necessitating finite-size scaling [43], histogram reweighing [44], and very large sample sizes to achieve high accuracy.

2.6. Galam–Mauger Formula (GM)

Finally, the ad hoc GM formula [20] writes,
K c = K 0 ( 1 1 d ) ( 2 d 1 ) a ,
with K 0 = 0.626036 and a = 0.863375 . The formula produces highly accurate estimates in all dimensions as seen in Table 1. However, no analytical derivation has been found so far.

2.7. Table of K c Estimates

Table 1 shows tha associated estimates at dimensions d = 1 , 2 , 3 , 4 . All values are given with 3 digits. At d = 1 K C = T c = 0 and at d = 2 Onsager solution [10] writes,
K c = 1 2 ln ( 1 + 2 ) 0.440687 .

3. Two Stroke Pumping Technique (TSP)

A decade ago, with Martins, we applied the Global Unifying Frame (GUF) developed in sociophysics to evaluate the critical temperature of the 2-d Ising model with groups of 5 spins to account for a central spin and its 4 nearest-neighbors [27].
Given a number of interacting agents, here five, GUF enumerates all possible configurations of [26]. An update of each configuration is applied according to the specificity of the model; only the central spin was updated according to either a Metropolis or a Glauber rule, leaving the other four unchanged. Then, all agents are randomly reshuffled to obtain a new distribution within the same configurations. The process is repeated until an equilibrium state is obtained. A general sequential probabilistic frame is thus built from which a phase diagram can be constructed.
The Metropolis update yields a first-order transition with two critical temperatures T c 1 1.59 and T c 2 2.11 , the second one being close to the exact Onsager result T c 2.27 . It is worth noting that the vertical first-order transition line is reminiscent of the abrupt vanishing of the Onsager second-order transition. Surprisingly, the Glauber update yields a continuous transition at T c 3.09 closer to the Bethe estimate of 2.88 than to the MF value T c = 4 .
On this basis, I extend the Galam-Martins scheme by building a two-stroke pumping technique (TSP). Combining a Bethe topology, a single-spin Monte Carlo update, and the GMM iteration scheme, I obtain an analytical formula valid at any dimension d. Here, I apply the formula at d = 1 , 2 , 3 , 4 to evaluate the associated critical temperatures.

The Two-DimensionalCase

I start at d = 2 with a cluster of one spin and its 4 nearest-neighbors. For all five spins, the probability of having the spin up is p 0 and ( 1 p 0 ) of having it down. Then, I update the central spin according to the Metropolis scheme applied to the actual configuration of the 4 nearest-neighbors spins, which are not updated. Accordingly, given a surrounding configuration for a given site i, the energy change associated with flipping the spin s i is,
Δ E = 2 s i E c ,
with
E c J j = 1 4 s j
where j = 1 , 2 , 3 , 4 denote the 4 nearest-neighbors of spin s i and c labels one of its 16 surrounding possible configurations. The proposed flip s i s i is then accepted with the Metropolis probability,
p M = 1 , Δ E 0 , exp ( Δ E / T ) , Δ E > 0 ,
and rejected otherwise.
Following GMM, Δ E > 0 s i aligned with the local surrounding majority, and a flip is done with probability p M . When Δ E < 0 s i opposed to the majority and Δ E = 0 there is a tie, a flip is systematically done.
Among the 16 configurations of the 4 nearest-neighbors spins, one ( c = 1 ) has 4 spins + 1 and 0 spin 1 , 4 ( c = 2 , 3 , 4 , 5 ) have 3 spins + 1 and one spin 1 , 6 ( c = 6 , 7 , 8 , 9 , 10 , 11 ) have 2 spins + 1 and 2 spins 1 (a tie), 4 ( c = 12 , 13 , 14 , 15 ) have 1 spin + 1 and 3 spins 1 , one ( c = 16 ) has 0 spin + 1 and 4 spins 1 .
The respective E c are E 1 = 4 J , E c = 2 , 3 , 4 , 5 = 2 J , E c = 6 , 7 , 8 , 9 , 10 , 11 = 0 , E c = 12 , 13 , 14 , 15 = 2 J , E c = 16 = 4 J . In addition, the associated probabilities of each group of configurations are p 4 , p 3 ( 1 p ) , p 2 ( 1 p ) 2 , p ( 1 p ) 3 , ( 1 p ) 4 .
Applying Equation (8) to the spin s 0 , which is equal to + 1 with probability p 0 , leads to a new probability p 1 to have it equal to + 1 . This step is the first stroke of the new pumping technique. Then I restart the same process, but now the probability of having a value + 1 is p 1 for all five spins. That is the second stroke, which in turn yields p 2 for the central spin when updated as shown in Figure 1.
Iterating the two stroke pumping (TSP) technique ( n + 1 ) times leads to a probability p n + 1 to have the central spin equal to + 1 with,
p n + 1 = p n { ( 1 a 2 ) p n 4 + ( 1 a ) 4 p n 3 ( 1 p n ) }   + ( 1 p n ) { p n 4 + 4 p n 3 ( 1 p n ) + 6 p n 2 ( 1 p n ) 2 }   + ( 1 p n ) { 4 a p n ( 1 p n ) 3 + a 2 ( 1 p n ) 4 } ,
where p n is the probability to have the central spin equal to + 1 prior to the last update, a exp ( 4 K ) and K J / T . Equation (9) can be reduced to,
p n + 1 = ( 1 a 2 ) p n 5 + ( 5 4 a ) p n 4 ( 1 p n )   + 4 p n 3 ( 1 p n ) 2 + 6 p n 2 ( 1 p n ) 3   + 4 a p n ( 1 p n ) 4 + a 2 ( 1 p n ) 5 .
whose fixed points are shown in Figure 2. The associated transition is first-order, with K c 1 = 0.629 and K c 2 = 0.474 , which is close to the Onsager value K O = 0.441 .
With this respect, the updated equation is [27],
p n + 1 G M = 1 5 [ ( 5 a 2 ) p n 5 + ( 21 4 a ) p n 4 ( 1 p n )   + 28 p n 3 ( 1 p n ) 2 + 22 p n 2 ( 1 p n ) 3   + 4 ( 1 + a ) p n ( 1 p n ) 4 + a 2 ( 1 p n ) 5 ] ,
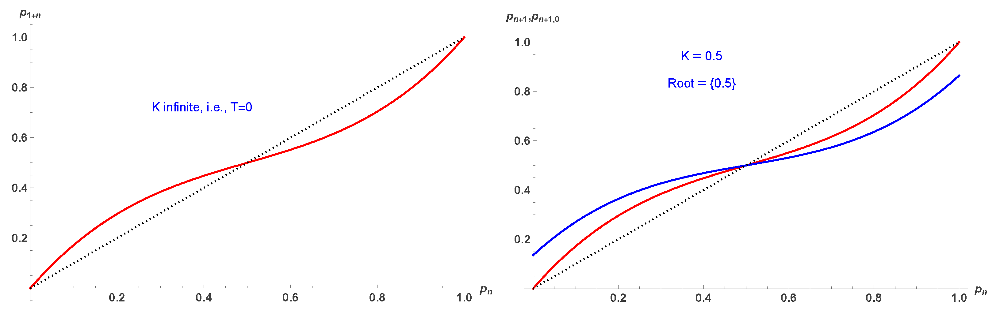
which is different from Equation (10). However, both update equations yield identical fixed points and first-order transition as a function of K. However, while the updates include five spins, only one of them is updated, making the dynamics slower to reach the various attractors, as seen in Figure 3 and Figure 4. Figure 4 shows that about five more updates are required to reach the relevant attractor in comparison to TSP, which considers one spin at a time.
More precisely, Figure 4 presents iterated updates from a series of initial values p 0 covering the full spectrum of values from 0 to 1, using Equations (10) (left side) and (11) (right side). Three values of K are shown with K = 0.65 illustrating the case of full ordering (low temperatures), K = 0.5 illustrating the case of the first order region with either ordering or disorder as a function of the initial value p 0 , and K = 0.4 illustrating the case of full disorder (high temperatures).

4. The One-Dimensional Case

I now apply TSP to the one-dimensional Ising model where each spin has two nearest neighbors. Figure 5 illustrates the associated dynamics. The resulting update function is,
p n + 1 = p n ( 1 a ) p n 2 + ( 1 p n ) ( p n 2 + 2 p n ( 1 p n ) + a ( 1 p n ) 2 ) ,
which reduces to,
p n + 1 = ( 1 a ) p n 3 + ( 1 p n ) p n 2 + 2 p n ( 1 p n ) 2 + a ( 1 p n ) 3 .
Solving Equation (13) fixed point equation yields 3 values p 1 , p 2 , p 3 with p 1 = 1 / 2 and,
p 2 , 3 = 1 + a 1 ± 3 + 2 a 1 + a 2 2 ( 1 + a 1 ) ,
which are shown in left part of Figure 6 as a function of K. Only p 1 = 1 / 2 is valid with the asymptotic limits 0 , 1 of p 2 , 3 .
The derivative of Equation (13) taken at p = 1 / 2 is
d p 1 = 1 + 3 2 ( 1 a ) ,
which satisfies 1 d p 1 1 / 2 as seen in the right part of Figure 6 indicating p 1 = 1 / 2 is always attractor for any value of K including its infinite limit, i.e., T = 0 .
Indeed, at T = 0 a = 0 Equation (13) becomes,
p n + 1 = 2 p n 3 3 p n 2 + 2 p n ,
which yields three fixed points ( 0 , 1 / 2 , 1 ) where p = 1 / 2 is still attractor and ( 0 , 1 ) two tipping points. Equation (16) is shown in the left part of Figure 7. Right part of the Figure 7 shows Equations (13) and (16) for K = 0.50 .
Therefore, p = 1 / 2 is always an attractor even at T = 0 . However, at T = 0 , while the values 0 , 1 are unstable fixed points, as soon as T 0 , they stop being fixed points as expected from the fact that the one-dimensional Ising model has no ordered phase at T 0 .
At this stage, the TSP techniques yield a dynamics driven by two repulsive fixed points at p = 0 and p = 1 separated by an attractor located at p = 1 / 2 . However, the one-dimensional Ising model has a repulsive fixed point at p = 1 / 2 with two attractors at respectively p = 0 and p = 1 .
While this apparent contrast could, at first sight, be interpreted as a failure of the TSP techniques, it acquires a different meaning once the notion of dynamical stability is evoked. In particular, discriminating asymptotic properties and operationally dynamic results shed new light on the TSP outcome.
With this respect, it is of importance to notice that at T = 0 and d = 1 the single-spin-flip dynamics produces diffusive domain-wall motion without energy change, leading to relaxation times diverging as t ord L 2 [45].
As a consequence, although the ground state is asymptotically reached, the evolution of the magnetization becomes arbitrarily slow and no full ordering is achieved on finite, physically or numerically accessible time scales.
This behavior is directly consistent with what is observed in Monte Carlo simulations, which necessarily probe finite times and finite system sizes. For instance, system sizes L = 10 4 and L = 10 5 correspond to ordering times t 10 8 and t 10 10 respectively, which are out of reach for standard Monte Carlo studies.
From this perspective, the TSP dynamics could be seen as providing an effective description of the dynamical states that are actually reached in simulations, whereas the asymptotic fixed-point structure of the 1D Ising model becomes relevant on diverging time scales. The origin of this property can be connected to the use of the single-spin Metropolis update in the TSP techniques.
Therefore, the TSP outcome is not to contrast the asymptotic fixed-point structure where p = 1 / 2 is a repeller, but rather to contribute an additional insight into the actual dynamics observed on finite, physically and numerically accessible time scales.
With this regard, it is worth stressing that RG transformations eliminate dynamically generated absorbing states by the related coarse-graining and thus do not yield the above situation. As a result, the RG description reproduces the correct equilibrium fixed points but fails to account for the dynamics that make the ordered state practically inaccessible from a generic initial condition.
Likewise, Bethe approximation yields the equilibrium ordered phases but fails to account for the slowing down dynamics that arise when the system relaxes under local T = 0 dynamics from a mixed initial condition within finite times.

5. The Three-Dimensional Case

Applying TSP to the three-dimensional Ising model yields the update equation,
p n + 1 = ( 1 a 3 p n ) p n 6 + 6 ( 1 a 2 p n ) p n 5 ( 1 p n )   + 15 ( 1 a p n ) p n 4 ( 1 p n ) 2 + 20 p n 3 ( 1 p n ) 4   + 15 a p n 2 ( 1 p n ) 5 + 6 a 2 p n ( 1 p n ) 6 + a 3 ( 1 p n ) 7 ,
whose fixed points are exhibited in Figure 8.
While the phase diagram is similar to the two-dimensional case, the extent of the first-order transition is reduced with now K c 1 = 0.280 and K c 2 = 0.255 . The same applies to Equation (17) as seen from Figure 9 with respect to Figure 3.

6. The Four-Dimensional Case

At d = 4 , the update equation becomes,
p n + 1 = ( 1 a 4 p n ) p n 8 + 8 ( 1 a 3 p n ) p n 7 ( 1 p n ) + 28 ( 1 a 2 p n ) p n 6 ( 1 p n ) 2   + 56 ( 1 a p n ) p n 5 ( 1 p n ) 3 + 70 p n 4 ( 1 p n ) 5 + 56 a p n 3 ( 1 p n ) 6   + 28 a 2 p n 2 ( 1 p n ) 7 + 8 a 3 p n ( 1 p n ) 8 + a 4 ( 1 p n ) 9 ,
with its fixed points shown in Figure 10.
As for moving from d = 2 up to d = 3 , moving up to d = 4 reduces against the first order region to a very narrow strip with K c 1 = 0.185 and K c 2 = 0.175 . Figure 11 illustrates the shrinking.

7. Conclusions

In this paper, I have introduced a novel technique to evaluate the critical temperatures of the nearest-neighbors Ising model at any dimension d. Denoted two-stroke pumping (TSP), I have implemented it at d = 1 , 2 , 3 , 4 . Associated values of K c are exhibited in Table 2 along with estimates using MF, Bethe, GM, and MC. All values are reported with two digits only since this precision is sufficient for making meaningful comparisons.
TMS values overestimate exact estimates with a constant excess of + 0.03 . The fact that the difference is constant indicates it does not depend on the dimension. However, at the moment, I have no explanation of its origin.
TSP and Bethe hold a series of respective advantages. Bethe (i) correctly predicts a second-order phase transition at d = 2 ; (ii) is asymptotically exact in the d limit, and (iii) yields more precise values of T c at d > 2 . In contrast, STP (i) includes the dynamics to reach equilibrium; (ii) at d = 1 shows that the full ordering at T = 0 , it is not reachable on finite, physically and numerically accessible time scales, in agreement with MC simulations, while requiring significantly fewer computational resources; (iii) and yields a much better value of T c at d = 2 , yet with a first order transition.
The STP framework is general, does not rely on lattice-specific geometric assumptions, and can be extended to a broad class of discrete spin models. It would be interesting in future work to apply this two-stroke pumping technique to other spin and lattice models with complex coupling structures, diluted fields, quenched disorder, and other many-body systems.

Funding

This research received no external funding.

Data Availability Statement

No new data were created or analyzed in this study.

Conflicts of Interest

The author declare no conflicts of interest.

References

  1. Ising, E. Beitrag zur Theorie des Ferromagnetismus. Z. Phys. 1925, 31, 253–258. [Google Scholar] [CrossRef]
  2. Brush, S.G. History of the Lenz-Ising model. Rev. Mod. Phys. 1967, 39, 883. [Google Scholar] [CrossRef]
  3. Mézard, M.; Montanari, A. Information, Physics, and Computation; Oxford University Press: Oxford, UK, 2009. [Google Scholar]
  4. Kadanoff, L.P. Statistical Physics: Statics, Dynamics and Renormalization; World Scientific: Singapore, 2000. [Google Scholar]
  5. Brazil, R. The Physics of Public Opinion. Physics World, January Issue. 14 January 2020. Available online: https://physicsworld.com/a/the-physics-of-public-opinion/ (accessed on 1 September 2025).
  6. Brazil, R. Borrowing Scientific Theories. Chemistry World, November Issue. 18 November 2019. Available online: https://www.chemistryworld.com/features/borrowing-scientific-theories/3010929.article (accessed on 1 September 2025).
  7. Galam, S. Spontaneous Symmetry Breaking, Group Decision-Making, and Beyond: 1. Echo Chambers and Random Polarization. Symmetry 2024, 16, 1566. [Google Scholar] [CrossRef]
  8. Galam, S. Spontaneous Symmetry Breaking, Group Decision-Making, and Beyond: 2: Distorted Polarization and Vulnerability. Symmetry 2025, 17, 1866. [Google Scholar] [CrossRef]
  9. Galam, S. Rational group decision making: A random field Ising model at T = 0. Physica A 1997, 238, 66–80. [Google Scholar] [CrossRef]
  10. Onsager, L. Crystal statistics. I. A two-dimensional model with an order-disorder transition. Phys. Rev. 1944, 65, 117–149. [Google Scholar] [CrossRef]
  11. Bethe, H.A. Statistical theory of superlattices. Proc. R. Soc. Lond. A 1935, 150, 552–575. [Google Scholar]
  12. Wilson, K.G. Renormalization group and critical phenomena. I. Renormalization group and the Kadanoff scaling picture. Phys. Rev. B 1971, 4, 3174. [Google Scholar] [CrossRef]
  13. Fisher, M.E. The renormalization group in the theory of critical behavior. Rev. Mod. Phys. 1974, 46, 597. [Google Scholar] [CrossRef]
  14. Ma, S.-K. Modern Theory of Critical Phenomena; The Benjamin Inc.: Reading, MA, USA, 1976. [Google Scholar]
  15. Wilson, K.G.; Kogut, J. The renormalization group and the ϵ expansion. Phys. Rep. 1974, 12, 75–199. [Google Scholar] [CrossRef]
  16. Fisher, M.E. Renormalization group theory: Its basis and formulation in statistical physics. Rev. Mod. Phys. 1998, 70, 653. [Google Scholar] [CrossRef]
  17. Metropolis, N.; Rosenbluth, A.W.; Rosenbluth, M.N.; Teller, A.H.; Teller, E. Equation of state calculations by fast computing machines. J. Chem. Phys. 1953, 21, 1087–1092. [Google Scholar] [CrossRef]
  18. Glauber, R.J. Time-dependent statistics of the Ising model. J. Math. Phys. 1963, 4, 294–307. [Google Scholar] [CrossRef]
  19. Walter, J.C.; Barkema, G.T. An introduction to Monte Carlo methods. Physica A 2015, 418, 78–87. [Google Scholar] [CrossRef]
  20. Galam, S.; Mauger, A. A quasi-exact formula for Ising critical temperatures on hypercubic lattices. Physica A 1997, 235, 573–576. [Google Scholar] [CrossRef]
  21. Galam, S. Majority rule, hierarchical structures, and democratic totalitarianism: A statistical approach. J. Math. Psychol. 1986, 30, 426–434. [Google Scholar] [CrossRef]
  22. Galam, S. Modeling the Forming of Public Opinion: An approach from Sociophysics. Glob. Econ. Manag. Rev. 2013, 18, 2–11. [Google Scholar] [CrossRef]
  23. Mullick, P.; Sen, P. Sociophysics models inspired by the Ising model. Eur. Phys. J. B 2025, 98, 206. [Google Scholar] [CrossRef]
  24. Starnini, M.; Baumann, F.; Galla, T.; Garcia, D.; Iñiguez, G.; Karsai, M.; Lorenz, J.; Sznajd-Weron, K. Opinion dynamics: Statistical physics and beyond. arXiv 2025, arXiv:2507.11521. [Google Scholar]
  25. Shirzadi, M.; Cruciani, E.; Zehmakan, A.N. Opinion Dynamics: A Comprehensive Overview. arXiv 2025, arXiv:2511.00401. [Google Scholar]
  26. Galam, S. Opinion dynamics and unifying principles: A global unifying frame. Entropy 2022, 24, 1201. [Google Scholar] [CrossRef]
  27. Galam, S.; Martins, A.C.R. Two-dimensional Ising transition through a technique from two-state opinion-dynamics models. Phys. Rev. E 2015, 91, 012108. [Google Scholar] [CrossRef] [PubMed]
  28. Stanley, H.E. Introduction to Phase Transitions and Critical Phenomena; Oxford University Press: Oxford, UK; New York, NY, USA, 1971. [Google Scholar]
  29. Huang, K. Statistical Mechanics; Wiley: Hoboken, NJ, USA, 1987. [Google Scholar]
  30. Baxter, R.J. Exactly Solved Models in Statistical Mechanics; Academic Press: Cambridge, MA, USA, 1982. [Google Scholar]
  31. Migdal, A.A. Phase transitions in gauge and spin-lattice systems. Sov. Phys. JETP 1975, 42, 743–746. [Google Scholar]
  32. Kadanoff, L.P. Notes on Migdal’s recursion formulas. Ann. Phys. 1976, 100, 359–394. [Google Scholar] [CrossRef]
  33. Nauenberg, M.; Scalapino, D.J. Renormalization-group theory for the critical behavior of Ising systems. Phys. Rev. Lett. 1974, 32, 101. [Google Scholar]
  34. Berker, A.N.; Ostlund, S. Renormalization-group calculations of finite systems: Order parameter and specific heat. J. Phys. C Solid State Phys. 1979, 12, 4961. [Google Scholar] [CrossRef]
  35. Domb, C. On the theory of cooperative phenomena in crystals. Adv. Phys. 1960, 9, 149–244. [Google Scholar] [CrossRef]
  36. Butera, P.; Comi, M. High-temperature expansions for Ising models in d > 2. Phys. Rev. B 2002, 65, 144431. [Google Scholar]
  37. Blöte, H.W.J.; Luijten, E.; Heringa, J.R. Ising universality in three dimensions: A Monte Carlo study. J. Phys. A 1995, 28, 6289. [Google Scholar] [CrossRef]
  38. Hasenbusch, M. Finite size scaling study of lattice models in the three-dimensional Ising universality class. Phys. Rev. B 2010, 82, 174433. [Google Scholar] [CrossRef]
  39. Deng, Y.; Blöte, H.W.J. Simultaneous analysis of several models in the three-dimensional Ising universality class. Phys. Rev. E 2003, 68, 036125. [Google Scholar] [CrossRef]
  40. Ferrenberg, A.M.; Xu, J.; Landau, D.P. Pushing the limits of Monte Carlo simulations for the three-dimensional Ising model. Phys. Rev. E 2018, 97, 043301. [Google Scholar] [CrossRef]
  41. Lundow, P.H.; Markström, K. Critical behaviour of the Ising model on the 4-dimensional lattice. Phys. Rev. E 2009, 80, 031104. [Google Scholar] [CrossRef] [PubMed]
  42. Lundow, P.H.; Markström, K. Finite size scaling of the 5D Ising model with free boundary conditions. Nucl. Phys. B 2014, 889, 249–260. [Google Scholar] [CrossRef]
  43. Binder, K. Finite size scaling analysis of Ising model critical behavior. Z. Phys. B 1981, 43, 119–140. [Google Scholar] [CrossRef]
  44. Ferrenberg, A.M.; Swendsen, R.H. New Monte Carlo technique for studying phase transitions. Phys. Rev. Lett. 1988, 61, 2635. [Google Scholar] [CrossRef]
  45. Krapivsky, P.L.; Redner, S.; Ben-Naim, E. Spin Dynamics. In A Kinetic View of Statistical Physics; Cambridge University Press: Cambridge, UK, 2013; pp. 233–276. [Google Scholar]
Figure 1. (Up left): a cluster of one spin and its 4 nearest-neighbors with probability p 0 to have + 1 for each of them. (Up center): The central spin has been updated with a probability p 1 to be + 1 . That defines the first stroke of the pumping technique. (Up right): the probability to + 1 is now p 1 for all 5 spins defining the second stroke. (Down left): the central spin is updated with probability p 2 to be + 1 . (Down center): The probability to be + 1 is p 2 for all 5 spins. (Down right): the central spin is updated with probability p 3 to + 1 . and so forth till an attractor is reached.
Figure 1. (Up left): a cluster of one spin and its 4 nearest-neighbors with probability p 0 to have + 1 for each of them. (Up center): The central spin has been updated with a probability p 1 to be + 1 . That defines the first stroke of the pumping technique. (Up right): the probability to + 1 is now p 1 for all 5 spins defining the second stroke. (Down left): the central spin is updated with probability p 2 to be + 1 . (Down center): The probability to be + 1 is p 2 for all 5 spins. (Down right): the central spin is updated with probability p 3 to + 1 . and so forth till an attractor is reached.
Entropy 28 00202 g001
Figure 2. Five fixed points p 1 , 2 , 3 , 4 , 5 from Equation (10) as a function of K. For 0 < K < K c 1 the fixed point 1 / 2 is attractor while it turns to a tipping for K > K c 1 . For K < K c 2 , the phase is always disordered. Upper blue and lower red parts are attractors, while magenta and green parts are tipping points.
Figure 2. Five fixed points p 1 , 2 , 3 , 4 , 5 from Equation (10) as a function of K. For 0 < K < K c 1 the fixed point 1 / 2 is attractor while it turns to a tipping for K > K c 1 . For K < K c 2 , the phase is always disordered. Upper blue and lower red parts are attractors, while magenta and green parts are tipping points.
Entropy 28 00202 g002
Figure 3. Update probabilities p n + 1 and p n + 1 G M given respectively by Equation (10) in red and Equation (11) in blue, as a function of p n for K = 1.5 (upper left), K = 0.65 (upper right), K = 0.5 (lower left), K = 0.4 (lower right). TSP and GM are the associated fixed points, which are found to be identical.
Figure 3. Update probabilities p n + 1 and p n + 1 G M given respectively by Equation (10) in red and Equation (11) in blue, as a function of p n for K = 1.5 (upper left), K = 0.65 (upper right), K = 0.5 (lower left), K = 0.4 (lower right). TSP and GM are the associated fixed points, which are found to be identical.
Entropy 28 00202 g003
Figure 4. Iterated updates from a series of initial values p 0 covering the full spectrum of values from 0 to 1, using Equations (10) (left side) and (11) (right side). Three values of K are shown with K = 0.65 illustrating the case of full ordering (low temperatures), K = 0.5 illustrating the case of the first order region with either ordering or disorder as a function of the initial value p 0 , and K = 0.4 illustrating the case of full disorder (high temperatures).
Figure 4. Iterated updates from a series of initial values p 0 covering the full spectrum of values from 0 to 1, using Equations (10) (left side) and (11) (right side). Three values of K are shown with K = 0.65 illustrating the case of full ordering (low temperatures), K = 0.5 illustrating the case of the first order region with either ordering or disorder as a function of the initial value p 0 , and K = 0.4 illustrating the case of full disorder (high temperatures).
Entropy 28 00202 g004
Figure 5. (Up left): a cluster of one spin and its 2 nearest-neighbors with probability p 0 to have + 1 for each of them. (Up center): The central spin has been updated with a probability p 1 to be + 1 . That defines the first stroke of the pumping technique. (Up right): the probability to + 1 is now p 1 for all 3 spins defining the second stroke. (Down left): the central spin is updated with probability p 2 to be + 1 . (Down center): The probability to be + 1 is p 2 for all 3 spins. (Down right): the central spin is updated with probability p 3 to + 1 . and so forth till an attractor is reached.
Figure 5. (Up left): a cluster of one spin and its 2 nearest-neighbors with probability p 0 to have + 1 for each of them. (Up center): The central spin has been updated with a probability p 1 to be + 1 . That defines the first stroke of the pumping technique. (Up right): the probability to + 1 is now p 1 for all 3 spins defining the second stroke. (Down left): the central spin is updated with probability p 2 to be + 1 . (Down center): The probability to be + 1 is p 2 for all 3 spins. (Down right): the central spin is updated with probability p 3 to + 1 . and so forth till an attractor is reached.
Entropy 28 00202 g005
Figure 6. Fixed points of Equation (13) as a function of K are shown in the left part of the Figure. Only p 1 = 1 / 2 is valid with the asymptotic limits 0 , 1 of p 2 , 3 , i.e., at T = 0 . Right part of the Figure shows Equation (15).
Figure 6. Fixed points of Equation (13) as a function of K are shown in the left part of the Figure. Only p 1 = 1 / 2 is valid with the asymptotic limits 0 , 1 of p 2 , 3 , i.e., at T = 0 . Right part of the Figure shows Equation (15).
Entropy 28 00202 g006
Figure 7. Equation (16) is shown in the part. Right part shows Equations (13) and (16) for K = 0.50 .
Figure 7. Equation (16) is shown in the part. Right part shows Equations (13) and (16) for K = 0.50 .
Entropy 28 00202 g007
Figure 8. Five fixed points p 1 , 2 , 3 , 4 , 5 from Equation (17) as a function of K. For 0 < K < K c 1 the fixed point 1 / 2 is attractor while it turns to a tipping for K > K c 1 . For K < K c 2 , the phase is always disordered. Upper and lower blue parts are attractors, while red parts are tipping points.
Figure 8. Five fixed points p 1 , 2 , 3 , 4 , 5 from Equation (17) as a function of K. For 0 < K < K c 1 the fixed point 1 / 2 is attractor while it turns to a tipping for K > K c 1 . For K < K c 2 , the phase is always disordered. Upper and lower blue parts are attractors, while red parts are tipping points.
Entropy 28 00202 g008
Figure 9. Update probabilities p n + 1 given by Equation (17) in red as a function of p n for K = 1 (upper left), K = 0.6 (upper right), K = 0.27 (lower left), K = 0.25 (lower right). Respective fixed points are indicated.
Figure 9. Update probabilities p n + 1 given by Equation (17) in red as a function of p n for K = 1 (upper left), K = 0.6 (upper right), K = 0.27 (lower left), K = 0.25 (lower right). Respective fixed points are indicated.
Entropy 28 00202 g009
Figure 10. Five fixed points p 1 , 2 , 3 , 4 , 5 from Equation (18) as a function of K. For 0 < K < K c 1 the fixed point 1 / 2 is attractor while it turns to a tipping for K > K c 1 . For K < K c 2 , the phase is always disordered. Upper and lower blue parts are tipping points while red parts are attractors.
Figure 10. Five fixed points p 1 , 2 , 3 , 4 , 5 from Equation (18) as a function of K. For 0 < K < K c 1 the fixed point 1 / 2 is attractor while it turns to a tipping for K > K c 1 . For K < K c 2 , the phase is always disordered. Upper and lower blue parts are tipping points while red parts are attractors.
Entropy 28 00202 g010
Figure 11. Update probabilities p n + 1 given by Equation (18) in red as a function of p n for K = 1 (upper left), K = 0.4 (upper right), K = 0.18 (lower left), K = 0.16 (lower right). Respective fixed points are indicated.
Figure 11. Update probabilities p n + 1 given by Equation (18) in red as a function of p n for K = 1 (upper left), K = 0.4 (upper right), K = 0.18 (lower left), K = 0.16 (lower right). Respective fixed points are indicated.
Entropy 28 00202 g011
Table 1. Critical coupling K c = 1 / T c of the nearest-neighbor Ising model ( J = 1 , k B = 1 ), rounded to 3 significant digits for dimensions d = 1 , 2 , 3 , 4 and a number of respective numbers of nearest-neighbors z = 2 , 4 , 6 , 8 using mean-field (MF); Bethe; Real-space renormalization within Migdal-Kadanoff approach (RG); Series; Monte Carlo simulations (MC); GM formula.
Table 1. Critical coupling K c = 1 / T c of the nearest-neighbor Ising model ( J = 1 , k B = 1 ), rounded to 3 significant digits for dimensions d = 1 , 2 , 3 , 4 and a number of respective numbers of nearest-neighbors z = 2 , 4 , 6 , 8 using mean-field (MF); Bethe; Real-space renormalization within Migdal-Kadanoff approach (RG); Series; Monte Carlo simulations (MC); GM formula.
dzMFBetheRGSeriesMCGM
120.500
240.2500.3470.4010.4410.4410.441
360.1670.2030.2150.2220.2220.221
480.1250.1440.1480.1500.1500.150
Table 2. Critical coupling K c = 1 / T c of the nearest-neighbor Ising model ( J = 1 , k B = 1 ), rounded to 2 significant digits for dimensions d = 1 , 2 , 3 , 4 and a number of respective numbers of nearest-neighbors z = 2 , 4 , 6 , 8 using mean-field (MF); Bethe; Two stroke pumping (TSP); GM formula; Monte Carlo simulations (MC). Parentheses indicate the difference between each estimate and the MC one. GM yields MC values.
Table 2. Critical coupling K c = 1 / T c of the nearest-neighbor Ising model ( J = 1 , k B = 1 ), rounded to 2 significant digits for dimensions d = 1 , 2 , 3 , 4 and a number of respective numbers of nearest-neighbors z = 2 , 4 , 6 , 8 using mean-field (MF); Bethe; Two stroke pumping (TSP); GM formula; Monte Carlo simulations (MC). Parentheses indicate the difference between each estimate and the MC one. GM yields MC values.
dzMFBetheTSPGMMC
120.50
240.25 (−0.19)0.35 (−0.09)0.47 (+0.03)0.440.44
360.17 (−0.05)0.20 (−0.02)0.25 (+0.03)0.220.22
480.13 (−0.02)0.14 (−0.01)0.18 (+0.03)0.150.15
Disclaimer/Publisher’s Note: The statements, opinions and data contained in all publications are solely those of the individual author(s) and contributor(s) and not of MDPI and/or the editor(s). MDPI and/or the editor(s) disclaim responsibility for any injury to people or property resulting from any ideas, methods, instructions or products referred to in the content.

Share and Cite

MDPI and ACS Style

Galam, S. Two-Stroke Pumping Technique for Many-Body Systems. Entropy 2026, 28, 202. https://doi.org/10.3390/e28020202

AMA Style

Galam S. Two-Stroke Pumping Technique for Many-Body Systems. Entropy. 2026; 28(2):202. https://doi.org/10.3390/e28020202

Chicago/Turabian Style

Galam, Serge. 2026. "Two-Stroke Pumping Technique for Many-Body Systems" Entropy 28, no. 2: 202. https://doi.org/10.3390/e28020202

APA Style

Galam, S. (2026). Two-Stroke Pumping Technique for Many-Body Systems. Entropy, 28(2), 202. https://doi.org/10.3390/e28020202

Note that from the first issue of 2016, this journal uses article numbers instead of page numbers. See further details here.

Article Metrics

Back to TopTop