A Spike Train Production Mechanism Based on Intermittency Dynamics
Abstract
1. Introduction
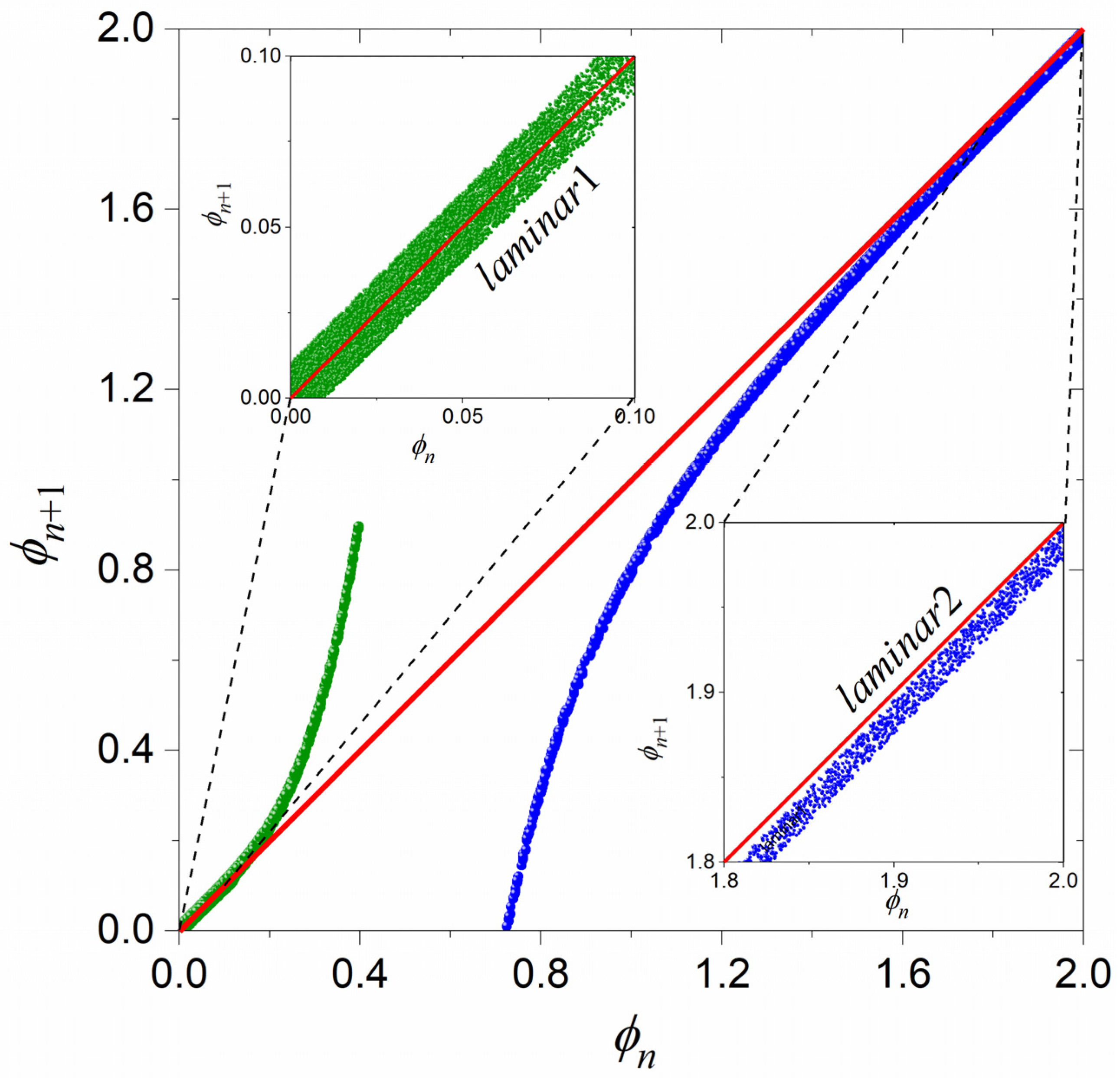
2. Intermittent Dynamics
3. Spike Train Production Mechanism Based on Intermittency Dynamics
3.1. Suggested Spike Train Production Mechanism
3.2. Spike Train Production Example
4. Dynamical and Fractal Characteristics of the Produced Spike Train
4.1. On the Dynamics of the Relaxation Intervals’ High-Frequency Fluctuations
4.2. On the Distribution of Inter-Spike Intervals
5. Discussion
6. Conclusions
Supplementary Materials
Author Contributions
Funding
Data Availability Statement
Conflicts of Interest
References
- Lendermann, M.; Tan, J.S.Q.; Koh, J.M.; Cheong, K.H. Computational imaging prediction of starburst-effect diffraction spikes. Sci. Rep. 2018, 8, 16919. [Google Scholar] [CrossRef]
- Armatas, S.; Bouratzis, C.; Hillaris, A.; Alissandrakis, C.E.; Preka-Papadema, P.; Moussas, X.; Mitsakou, E.; Tsitsipis, P.; Kontogeorgos, A. Detection of spike-like structures near the front of type-II bursts. Astron. Astroph. 2019, 624, A76. [Google Scholar] [CrossRef]
- Nemiroff, R.; Bonnell, J. (Eds.) (15 April 2001). “Diffraction Spikes Explained”. Astronomy Picture of the Day. NASA. Available online: https://apod.nasa.gov/apod/ap010415.html (accessed on 8 December 2024).
- Mekemeza-Ona, K.; Routier, B.; Charbonnier, B. All optical Q-switched laser based spiking neuron. Front. Phys. 2022, 10, 1017714. [Google Scholar] [CrossRef]
- Prucnal, P.R.; Shastri, B.J.; Ferreira de Lima, T.; Nahmias, M.A.; Tait, A.N. Recent progress in semiconductor excitable lasers for photonic spike processing. Adv. Opt. Photon. 2016, 8, 228–299. [Google Scholar] [CrossRef]
- Mu, P.; Wang, K.; Liu, G.; Wang, Y.; Liu, X.; Guo, G.; Hu, G. Spike Dynamics Analysis in Semiconductor Ring Laser. Electronics 2024, 13, 260. [Google Scholar] [CrossRef]
- Hodgkin, A.L.; Huxley, A.F.; Katz, B. Measurement of current-voltage relations in the membrane of the giant axon of Loligo. J. Physiol. 1952, 116, 424–448. [Google Scholar] [CrossRef] [PubMed]
- Brunel, N. Dynamics of sparsely connected networks of excitatory and inhibitory spiking neurons. J. Comput. Neurosci. 2000, 8, 183–208. [Google Scholar] [CrossRef]
- Nagel, K.; Wilson, R. Biophysical mechanisms underlying olfactory receptor neuron dynamics. Nat. Neurosci. 2011, 14, 208–216. [Google Scholar] [CrossRef]
- Jolivet, R.; Rauch, A.; Lüscher, H.R.; Gerstner, W. Predicting spike timing of neocortical pyramidal neurons by simple threshold models. J. Comput. Neurosci. 2006, 21, 35–49. [Google Scholar] [CrossRef]
- Deng, X.; Baker, S.C. Coronaviruses: Molecular biology (Coronaviridae). Encycl. Virol. 2021, 2, 198–207. [Google Scholar] [CrossRef]
- Zhu, C.; He, G.; Yin, Q.; Zeng, L.; Ye, X.; Shi, Y.; Xu, W. Molecular biology of the SARs-CoV-2 spike protein: A review of current knowledge. J. Medic. Virol. 2021, 93, 5729–5741. [Google Scholar] [CrossRef] [PubMed]
- Li, F. Structure, function, and evolution of Coronavirus spike proteins. Ann. Rev. Virol. 2016, 3, 237–261. [Google Scholar] [CrossRef]
- Walls, A.C.; Park, Y.-J.; Tortorici, M.A.; Wall, A.; McGuire, A.T.; Veesler, D. Structure, function, and antigenicity of the SARS-CoV-2 spike glycoprotein. Cell 2020, 181, 281–292.e6. [Google Scholar] [CrossRef] [PubMed]
- Ke, Z.; Oton, J.; Qu, K.; Cortese, M.; Zila, V.; McKeane, L.; Nakane, T.; Zivanov, J.; Neufeldt, C.J.; Cerikan, B.; et al. Structures and distributions of SARS-CoV-2 spike proteins on intact virions. Nature 2020, 588, 498–502. [Google Scholar] [CrossRef] [PubMed]
- Kosmidis, E.K.; Contoyiannis, Y.F.; Papatheodoropoulos, C.; Diakonos, F.K. Traits of criticality in membrane potential fluctuations of pyramidal neurons in the CA1 region of rat hippocampus. Eur. J. Neurosc. 2018, 48, 2343–2353. [Google Scholar] [CrossRef]
- Contoyiannis, Y.F.; Kosmidis, E.K.; Diakonos, F.K.; Kampitakis, M.; Potirakis, S.M. A hybrid artificial neural network for the generation of critical fluctuations and inter-spike intervals. Chaos Solitons Fractals 2022, 159, 112115. [Google Scholar] [CrossRef]
- Contoyiannis, Y.F.; Diakonos, F.K.; Malakis, A. Intermittent dynamics of critical fluctuations. Phys. Rev. Lett. 2002, 89, 035701. [Google Scholar] [CrossRef]
- Contoyiannis, Y.; Diakonos, F. Criticality and intermittency in the order parameter space. Phys. Lett. A 2000, 268, 286–292. [Google Scholar] [CrossRef]
- Gerstner, W.; Kistler, W.M. Spiking Neuron Models: Single Neurons, Populations, Plasticity; Cambridge University Press: Cambridge, UK, 2002. [Google Scholar]
- Torres, J.J.; Varona, P. Modeling Biological Neural Networks. In Handbook of Natural Computing; Rozenberg, G., Bäck, T., Kok, J.N., Eds.; Springer: Berlin/Heidelberg, Germany, 2012. [Google Scholar] [CrossRef]
- Almog, M.; Korngreen, A. Is realistic neuronal modeling realistic? J. Neurophys. 2016, 116, 2180–2209. [Google Scholar] [CrossRef]
- Ma, J.; Tang, J. A review for dynamics in neuron and neuronal network. Nonlin. Dyn. 2017, 89, 1569–1578. [Google Scholar] [CrossRef]
- Maass, W. Networks of spiking neurons: The third generation of neural network models. Neur. Net. 1997, 10, 1659–1671. [Google Scholar] [CrossRef]
- Stanojevic, A.; Woźniak, S.; Bellec, G.; Cherubini, G.; Pantazi, A.; Gerstner, W. High-performance deep spiking neural networks with 0.3 spikes per neuron. Nat. Commun. 2024, 15, 6793. [Google Scholar] [CrossRef] [PubMed]
- Lee, D.; Lee, G.; Kwon, D.; Lee, S.; Kim, Y.; Kim, J. Flexon: A flexible digital neuron for efficient spiking neural network simulations. In Proceedings of the 2018 ACM/IEEE 45th Annual International Symposium on Computer Architecture (ISCA), Los Angeles, CA, USA, 1–6 June 2018; pp. 275–288. [Google Scholar] [CrossRef]
- Gerstner, W. Spiking neurons. In Pulsed Neural Networks; Maass, W., Bishop, C.M., Eds.; MIT Press: Cambridge, MA, USA, 2001; pp. 3–53. [Google Scholar] [CrossRef]
- Yamazaki, K.; Vo-Ho, V.-K.; Bulsara, D.; Le, N. Spiking neural networks and their applications: A Review. Brain Sci. 2022, 12, 863. [Google Scholar] [CrossRef] [PubMed]
- Nunes, J.D.; Carvalho, M.; Carneiro, D.; Cardoso, J.S. Spiking neural networks: A survey. IEEE Access 2022, 10, 60738–60764. [Google Scholar] [CrossRef]
- Ganguly, C.; Bezugam, S.S.; Abs, E.; Payvand, M.; Dey, S.; Suri, M. Spike frequency adaptation: Bridging neural models and neuromorphic applications. Commun. Eng. 2024, 3, 22. [Google Scholar] [CrossRef]
- De Wilde, P. Neural Network Models: Theory and Projects, 2nd ed.; Springer: London, UK, 1997. [Google Scholar]
- Bohte, S.M.; Kok, J.N.; La Poutré, J.A. SpikeProp: Backpropagation for networks of spiking neurons. In Proceedings of the ESANN 2000, 8th European Symposium on Artificial Neural Networks, Bruges, Belgium, 26–28 April 2000. [Google Scholar]
- Ribeiro, B.; Antunes, F.; Perdigão, D.; Silva, C. Convolutional spiking neural networks targeting learning and inference in highly imbalanced datasets. Patt. Recogn. Lett. 2024, in press. [Google Scholar] [CrossRef]
- Furber, S. Large-scale neuromorphic computing systems. J. Neural Eng. 2016, 13, 051001. [Google Scholar] [CrossRef]
- Ballard, D.H. Modular learning in neural networks. In Proceedings of the Sixth National Conference on Artificial Intelligence, Seattle, WA, USA, 13–17 July 1987; Volume 1, pp. 279–284. [Google Scholar]
- Pfeiffer, M.; Pfeil, T. Deep learning with spiking neurons: Opportunities and challenges. Front. Neurosci. 2018, 12, 774. [Google Scholar] [CrossRef]
- Tavanaei, A.; Ghodrati, M.; Kheradpisheh, S.R.; Masquelier, T.; Maida, A. Deep learning in spiking neural networks. Neur. Net. 2019, 111, 47–63. [Google Scholar] [CrossRef]
- Kiselev, M.; Ivanitsky, A.; Larionov, D. A purely spiking approach to reinforcement learning. Cogn. Sys. Res. 2005, 89, 101317. [Google Scholar] [CrossRef]
- Schuster, H.G. Deterministic Chaos: An Introduction; VCH: Weinheim, Germany, 1995. [Google Scholar]
- Huang, K. Statistical Mechanics, 2nd ed.; Wiley: New York, NY, USA, 1987. [Google Scholar]
- Contoyiannis, Y.; Potirakis, S.M.; Eftaxias, K.; Contoyianni, L. Tricritical crossover in earthquake preparation by analyzing preseismic electromagnetic emissions. J. Geodyn. 2015, 84, 40–54. [Google Scholar] [CrossRef]
- Potirakis, S.M.; Contoyiannis, Y.; Schekotov, A.; Eftaxias, K.; Hayakawa, M. Evidence of critical dynamics in various electromagnetic precursors. Eur. Phys. J. Spec. Top. 2021, 230, 151–177. [Google Scholar] [CrossRef]
- Rojas-Dueñas, G.; Riba, J.-R.; Moreno-Eguilaz, M. Nonlinear least squares optimization for parametric identification of DC–DC converters. IEEE Trans. Power Electron. 2021, 36, 654–661. [Google Scholar] [CrossRef]
- Auge, D.; Hille, J.; Mueller, E.; Knoll, A. A Survey of encoding techniques for signal processing in spiking neural networks. Neur. Process Lett. 2021, 53, 4693–4710. [Google Scholar] [CrossRef]
- Subbulakshmi Radhakrishnan, S.; Sebastian, A.; Oberoi, A.; Das, S.; Das, S. A biomimetic neural encoder for spiking neural network. Nat. Commun. 2021, 12, 2143. [Google Scholar] [CrossRef] [PubMed]
- Yu, Q.; Tang, H.; Tan, K.C.; Yu, H. A brain-inspired spiking neural network model with temporal encoding and learning. Neurocomputing 2014, 138, 3–13. [Google Scholar] [CrossRef]
- Wen, S.; Yin, A.; Tseng, P.H.; Itti, L.; Lebedev, M.A.; Nicolelis, M. Capturing spike train temporal pattern with wavelet average coefficient for brain machine interface. Sci. Rep. 2021, 11, 19020. [Google Scholar] [CrossRef]
- Dong, P.; Dang, K.N.; Nguyen, D.; Tran, X. A light-weight neuromorphic controlling clock gating based multi-core cryptography platform. Microproc. Microsyst. 2024, 106, 105040. [Google Scholar] [CrossRef]
- Balamurugan, V.; Karthikeyan, R.; Sundaravadivazhagan, B.; Cyriac, R. Enhanced Elman spike neural network based fractional order discrete Tchebyshev encryption fostered big data analytical method for enhancing cloud data security. Wireless Net. 2023, 29, 523–537. [Google Scholar] [CrossRef]
- Almomani, A.; Alauthman, M.; Alweshah, M.; Dorgham, O.; Albalas, F. A comparative study on spiking neural network encoding schema: Implemented with cloud computing. Clust. Comput. 2019, 22, 419–433. [Google Scholar] [CrossRef]









Disclaimer/Publisher’s Note: The statements, opinions and data contained in all publications are solely those of the individual author(s) and contributor(s) and not of MDPI and/or the editor(s). MDPI and/or the editor(s) disclaim responsibility for any injury to people or property resulting from any ideas, methods, instructions or products referred to in the content. |
© 2025 by the authors. Licensee MDPI, Basel, Switzerland. This article is an open access article distributed under the terms and conditions of the Creative Commons Attribution (CC BY) license (https://creativecommons.org/licenses/by/4.0/).
Share and Cite
Potirakis, S.M.; Diakonos, F.K.; Contoyiannis, Y.F. A Spike Train Production Mechanism Based on Intermittency Dynamics. Entropy 2025, 27, 267. https://doi.org/10.3390/e27030267
Potirakis SM, Diakonos FK, Contoyiannis YF. A Spike Train Production Mechanism Based on Intermittency Dynamics. Entropy. 2025; 27(3):267. https://doi.org/10.3390/e27030267
Chicago/Turabian StylePotirakis, Stelios M., Fotios K. Diakonos, and Yiannis F. Contoyiannis. 2025. "A Spike Train Production Mechanism Based on Intermittency Dynamics" Entropy 27, no. 3: 267. https://doi.org/10.3390/e27030267
APA StylePotirakis, S. M., Diakonos, F. K., & Contoyiannis, Y. F. (2025). A Spike Train Production Mechanism Based on Intermittency Dynamics. Entropy, 27(3), 267. https://doi.org/10.3390/e27030267

