Sampled-Data Exponential Synchronization of Complex Dynamical Networks with Saturating Actuators
Abstract
1. Introduction
- (1)
- Considering the influence of input saturation and transmission delay, an exponential sampled-data synchronization control scheme for CDNs is proposed.
- (2)
- A new two-sided looped-functional containing complete sampling interval information is constructed, and the delay states and are also taken into account.
- (3)
- Based on the memory SDC strategy and the constructed functional, the estimation of BoA and the corresponding optimization algorithm are given.
2. Model Description and Preliminaries
3. Main Result
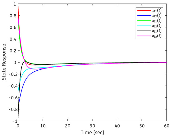
4. Simulation Results
5. Conclusions
Author Contributions
Funding
Institutional Review Board Statement
Informed Consent Statement
Data Availability Statement
Conflicts of Interest
References
- Strogatz, S.H. Exploring complex networks. Nature 2001, 410, 268–276. [Google Scholar] [CrossRef]
- Albert, R.; DasGupta, B.; Mobasheri, N. Topological implications of negative curvature for biological and social networks. Phys. Rev. E 2014, 89, 032811. [Google Scholar] [CrossRef] [PubMed]
- Rampurkar, V.; Pentayya, P.; Mangalvedekar, H.A.; Kazi, F. Cascading failure analysis for Indian power grid. IEEE Trans. Smart Grid 2016, 7, 1951–1960. [Google Scholar] [CrossRef]
- Guo, R.; Xu, S.; Zhang, B.; Ma, Q. Nonfragile Exponential Synchronization for Delayed Fuzzy Memristive Inertial Neural Networks via Memory Sampled-Data Control. IEEE Trans. Fuzzy Syst. 2024, 32, 3825–3837. [Google Scholar] [CrossRef]
- Liu, D.; Ye, D. Edge-based decentralized adaptive pinning synchronization of complex networks under link attacks. IEEE Trans. Neural Netw. Learn. Syst. 2022, 33, 4815–4825. [Google Scholar] [CrossRef]
- Tan, F.; Zhou, L.; Lu, J.; Chu, Y.; Li, Y. Fixed-time outer synchronization under double-layered multiplex networks with hybrid links and time-varying delays via delayed feedback control. Asian J. Control 2022, 24, 137–148. [Google Scholar] [CrossRef]
- Wu, Y.; Li, Y.; Li, W. Synchronization of random coupling delayed complex networks with random and adaptive coupling strength. Nonlinear Dyn. 2019, 96, 2393–2412. [Google Scholar] [CrossRef]
- Zhang, W.; Li, H.; Li, C.; Li, Z.; Yang, X. Fixed-time synchronization criteria for complex networks via quantized pinning control. ISA Trans. 2019, 91, 151–156. [Google Scholar] [CrossRef]
- Liu, X.; Chen, T. Synchronization of complex networks via aperiodically intermittent pinning control. IEEE Trans. Autom. Control 2015, 60, 3316–3321. [Google Scholar] [CrossRef]
- Wang, L.; Zhang, C.K. Exponential synchronization of memristor-based competitive neural networks with reaction-diffusions and infinite distributed delays. IEEE Trans. Neural Netw. Learn. Syst. 2024, 35, 745–758. [Google Scholar] [CrossRef]
- Hu, X.; Wang, L.; Zhang, C.K.; He, Y. Fixed-time synchronization of fuzzy complex dynamical networks with reaction-diffusion terms via intermittent pinning control. IEEE Trans. Fuzzy Syst. 2024, 32, 2307–2317. [Google Scholar] [CrossRef]
- Li, Y.; Lu, J.; Alofi, A.S.; Lou, J. Impulsive cluster synchronization for complex dynamical networks with packet loss and parameters mismatch. Appl. Math. Model. 2022, 112, 215–223. [Google Scholar] [CrossRef]
- He, S.; Wu, Y.; Li, Y. Finite-time synchronization of input delay complex networks via non-fragile controller. J. Frankl. Inst. 2020, 357, 11645–11667. [Google Scholar] [CrossRef]
- Liu, Y.; Guo, B.; Park, J.H.; Lee, S. Nonfragile exponential synchronization of delayed complex dynamical networks with memory sampled-data control. IEEE Trans. Neural Netw. Learn. Syst. 2018, 29, 118–128. [Google Scholar] [CrossRef]
- Zhao, C.; Zhong, S.; Zhang, X.; Zhong, Q.; Shi, K. Novel results on nonfragile sampled-data exponential synchronization for delayed complex dynamical networks. Int. J. Robust Nonlinear Control 2020, 30, 4022–4042. [Google Scholar] [CrossRef]
- Zhang, R.; Zeng, D.; Park, J.H.; Liu, Y.; Zhong, S. Nonfragile sampled-data synchronization for delayed complex dynamical networks with randomly occurring controller gain fluctuations. IEEE Trans. Syst. Man Cybern. Syst. 2018, 48, 2271–2281. [Google Scholar] [CrossRef]
- Huang, X.; Cao, X.; Ma, Y. Sampled-data exponential synchronization of complex dynamical networks with time-varying delays and T–S fuzzy nodes. Comput. Appl. Math. 2022, 41, 74. [Google Scholar] [CrossRef]
- Wen, G.; Yu, W.; Chen, M.Z.Q.; Yu, X.; Chen, G. H∞-pinning synchronization of directed networks with aperiodic sampled-data communications. IEEE Trans. Circuits Syst. I Reg. Pap. 2014, 61, 3245–3254. [Google Scholar] [CrossRef]
- Song, X.; Zhang, R.; Ahn, C.K.; Song, S. Synchronization for semi-markovian jumping reaction-diffusion complex dynamical networks: A space-time sampled-data control scheme. IEEE Trans. Netw. Sci. Eng. 2022, 9, 4. [Google Scholar] [CrossRef]
- Gunasekaran, N.; Ali, M.S.; Arik, S.; Ghaffar, H.A.; Diab, A.A.Z. Finite-time and sampled-data synchronization of complex dynamical networks subject to average dwell-time switching signal. Neural Netw. 2022, 149, 137–145. [Google Scholar] [CrossRef]
- Hu, T.; Park, J.H.; Liu, X.; He, Z.; Zhong, S. Sampled-data-based event-triggered synchronization strategy for fractional and impulsive complex networks with switching topologies and time-varying delay. IEEE Trans. Syst. Man Cybern. Syst. 2022, 52, 3568–3578. [Google Scholar] [CrossRef]
- Huang, Y.; Bao, H. Master-slave synchronization of complex-valued delayed chaotic Lur’e systems with sampled-data control. Appl. Math. Comput. 2020, 379, 125261. [Google Scholar] [CrossRef]
- Seuret, A. A novel stability analysis of linear systems under asynchronous samplings. Automatica 2012, 48, 177–182. [Google Scholar] [CrossRef]
- Zeng, H.; Teo, K.L.; He, Y. A new looped-functional for stability analysis of sampled-data systems. Automatica 2017, 82, 328–331. [Google Scholar] [CrossRef]
- Zeng, H.; Zhai, Z.; He, Y.; Teo, K.; Wang, W. New insights on stability of sampled-data systems with time-delay. Appl. Math. Comput. 2020, 374, 125041. [Google Scholar] [CrossRef]
- Stein, G. Respect the unstable. IEEE Control Syst. 2003, 23, 12–25. [Google Scholar]
- Chen, Y.; Wang, Z.; Shen, B.; Dong, H. Exponential synchronization for delayed dynamical networks via intermittent control: Dealing with actuator saturations. IEEE Trans. Neural Netw. Learn. Syst. 2019, 30, 1000–1012. [Google Scholar] [CrossRef] [PubMed]
- Chen, Y.; Wang, Z.; Hu, J.; Han, Q.-L. Synchronization control for discrete-time-delayed dynamical networks with switching topology under actuator saturations. IEEE Trans. Neural Netw. Learn. Syst. 2021, 32, 2040–2053. [Google Scholar] [CrossRef]
- Wu, Y.; Su, H.; Wu, Z. Synchronization control of dynamical networks subject to variable sampling and actuators saturation. IET Control Theory Appl. 2015, 9, 381–391. [Google Scholar] [CrossRef]
- Chen, G.; Xia, J.; Park, J.H.; Shen, H.; Zhuang, G. Robust sampled-data control for switched complex dynamical networks with actuators saturation. IEEE Trans. Cybern. 2022, 52, 10909–10923. [Google Scholar] [CrossRef]
- Zhou, H.; Liu, Z.; Li, W. Sampled-data intermittent synchronization of complex-valued complex network with actuator saturations. Nonlinear Dyn. 2022, 107, 1023–1047. [Google Scholar] [CrossRef]
- Seuret, A.; Gouaisbaut, F. Wirtinger-based integral inequality: Application to time-delay systems. Automatica 2013, 49, 2860–2866. [Google Scholar] [CrossRef]
- Zhang, X.; Han, Q.; Seuret, A.; Gouaisbaut, F. An improved reciprocally convex inequality and an augmented Lyapunov-Krasovskii functional for stability of linear systems with time-varying delay. Automatica 2017, 84, 221–226. [Google Scholar] [CrossRef]
- Wu, Z.-G.; Shi, P.; Su, H.; Chu, J. Sampled-data exponential synchronization of complex dynamical networks with time-varying coupling delay. IEEE Trans. Neural Netw. Learn. Syst. 2013, 24, 1177–1187. [Google Scholar]



Disclaimer/Publisher’s Note: The statements, opinions and data contained in all publications are solely those of the individual author(s) and contributor(s) and not of MDPI and/or the editor(s). MDPI and/or the editor(s) disclaim responsibility for any injury to people or property resulting from any ideas, methods, instructions or products referred to in the content. |
© 2024 by the authors. Licensee MDPI, Basel, Switzerland. This article is an open access article distributed under the terms and conditions of the Creative Commons Attribution (CC BY) license (https://creativecommons.org/licenses/by/4.0/).
Share and Cite
Guo, R.; Lv, W. Sampled-Data Exponential Synchronization of Complex Dynamical Networks with Saturating Actuators. Entropy 2024, 26, 785. https://doi.org/10.3390/e26090785
Guo R, Lv W. Sampled-Data Exponential Synchronization of Complex Dynamical Networks with Saturating Actuators. Entropy. 2024; 26(9):785. https://doi.org/10.3390/e26090785
Chicago/Turabian StyleGuo, Runan, and Wenshun Lv. 2024. "Sampled-Data Exponential Synchronization of Complex Dynamical Networks with Saturating Actuators" Entropy 26, no. 9: 785. https://doi.org/10.3390/e26090785
APA StyleGuo, R., & Lv, W. (2024). Sampled-Data Exponential Synchronization of Complex Dynamical Networks with Saturating Actuators. Entropy, 26(9), 785. https://doi.org/10.3390/e26090785
