Optimizing Prognostic Predictions in Liver Cancer with Machine Learning and Survival Analysis
Abstract
1. Introduction
2. Methods
2.1. Data Source
2.2. Cox Proportional Hazards Model
2.3. Feature Selection
2.3.1. Sure Independence Screening
2.3.2. Feature Selection
2.4. Survival Tree
2.5. Random Survival Forests
- Bootstrap Sampling: Extract B bootstrap samples from the original dataset, with each sample typically containing about 63% of the total sample size. The samples not included in a bootstrap are termed out-of-bag data.
- Survival Tree Construction: For each bootstrap sample, a binary survival tree is constructed. At each node, p features are randomly selected, and the best split is chosen based on the maximum survival difference between the resultant child nodes.
- Tree Growth: Tree development continues, ensuring that the number of samples at each leaf node remains above a minimum threshold .
- Cumulative Hazard Function: Compute the cumulative hazard function for each tree and average these functions across the forest to produce an ensemble cumulative hazard function.
- Error Estimation: Utilize the OOB data to assess the prediction error of the ensemble cumulative hazard function.
2.6. Performance Metrics
3. Results
3.1. Identification of Genetic Markers
3.2. Survival Analysis
4. Discussion and Conclusions
Author Contributions
Funding
Institutional Review Board Statement
Informed Consent Statement
Data Availability Statement
Conflicts of Interest
Abbreviations
| LIHC | Liver Hepatocellular Carcinoma |
| TCGA | The Cancer Genome Atlas |
| GDC | Genomic Data Commons |
| SIS | Sure Independence Screening |
| Lasso | Least Absolute Shrinkage and Selection Operator |
| SCAD | Smoothly Clipped Absolute Deviation |
| IG | Information Gain |
| ST | Survival Tree |
| RSF | Random Survival Forests |
| ROC | Receiver Operating Characteristic |
| AUC | Area Under the Curve |
| C-index | Concordance Index |
| TMM | Trimmed Mean of M-values |
References
- Villanueva, A. Hepatocellular carcinoma. N. Engl. J. Med. 2019, 380, 1450–1462. [Google Scholar] [CrossRef]
- Wu, X.N.; Xue, F.; Zhang, N.; Zhang, W.; Hou, J.J.; Lv, Y.; Xiang, J.X.; Zhang, X. Global burden of liver cirrhosis and other chronic liver diseases caused by specific etiologies from 1990 to 2019. BMC Public Health 2024, 24, 363. [Google Scholar] [CrossRef] [PubMed]
- Asrani, S.K.; Devarbhavi, H.; Eaton, J.; Kamath, P.S. Burden of liver diseases in the world. J. Hepatol. 2019, 70, 151–171. [Google Scholar] [CrossRef]
- Llovet, J.M.; Ricci, S.; Mazzaferro, V.; Hilgard, P.; Gane, E.; Blanc, J.F.; Cosme de Oliveira, A.; Santoro, A.; Raoul, J.L.; Forner, A.; et al. Sorafenib in advanced hepatocellular carcinoma. N. Engl. J. Med. 2008, 359, 378–390. [Google Scholar] [CrossRef] [PubMed]
- Reck, M.; Rodriguez-Abreu, D.; Robinson, A.G.; Hui, R.; Csoszi, T.; Fulop, A.; Gottfried, M.; Peled, N.; Tafreshi, A.; Cuffe, S.; et al. Pembrolizumab versus chemotherapy for PD-L1-Positive Non-Small-Cell lung cancer. N. Engl. J. Med. 2016, 375, 1823–1833. [Google Scholar] [CrossRef]
- Fan, J.; Lv, J. Sure independence screening for ultrahigh dimensional feature space. J. R. Stat. Soc. Ser. B Stat. Methodol. 2008, 70, 849–911. [Google Scholar] [CrossRef] [PubMed]
- Fan, J.; Feng, Y.; Wu, Y. High-dimensional variable selection for Cox’s proportional hazards model. In Borrowing Strength: Theory Powering Applications—A Festschrift for Lawrence D. Brown; Institute of Mathematical Statistics: Waite Hill, OH, USA, 2010; Volume 6, pp. 70–87. [Google Scholar]
- Zhao, S.D.; Li, Y. Principled sure independence screening for Cox models with ultra-high-dimensional covariates. J. Multivar. Anal. 2012, 105, 397–411. [Google Scholar] [CrossRef] [PubMed]
- Zhu, L.P.; Li, L.; Li, R.; Zhu, L.X. Model-Free feature screening for ultrahigh-dimensional data. J. Am. Stat. Assoc. 2011, 106, 1464–1475. [Google Scholar] [CrossRef] [PubMed]
- Tibshirani, R. Regression shrinkage and selection via the lasso. J. R. Stat. Soc. Ser. B Stat. Methodol. 1996, 58, 267–288. [Google Scholar] [CrossRef]
- Fan, J.; Li, R. Variable selection via nonconcave penalized likelihood and its oracle properties. J. Am. Stat. Assoc. 2001, 96, 1348–1360. [Google Scholar] [CrossRef]
- Azhagusundari, B.; Thanamani, A.S. Feature selection based on information gain. Int. J. Innov. Technol. Explor. Eng. (IJITEE) 2013, 2, 18–21. [Google Scholar]
- Lee, S.; Lim, H. Review of statistical methods for survival analysis using genomic data. Genom. Inform. 2019, 17, e41. [Google Scholar] [CrossRef] [PubMed]
- Lawless, J.F. Statistical Models and Methods for Lifetime Data; John Wiley & Sons: Hoboken, NJ, USA, 2011. [Google Scholar]
- Wang, P.; Li, Y.; Reddy, C.K. Machine learning for survival analysis: A survey. ACM Comput. Surv. (CSUR) 2019, 51, 1–36. [Google Scholar] [CrossRef]
- Gordon, L.; Olshen, R.A. Tree-structured survival analysis. Cancer Treat. Rep. 1985, 69, 1065–1069. [Google Scholar] [PubMed]
- Khan, F.M.; Zubek, V.B. Support vector regression for censored data (SVRc): A novel tool for survival analysis. In Proceedings of the 2008 Eighth IEEE International Conference on Data Mining, Pisa, Italy, 15–19 December 2008; pp. 863–868. [Google Scholar]
- Ishwaran, H.; Kogalur, U.B.; Blackstone, E.H.; Lauer, M.S. Random survival forests. Ann. Appl. Stat. 2008, 2, 841–860. [Google Scholar] [CrossRef]
- Tibshirani, R. The lasso method for variable selection in the Cox model. Stat. Med. 1997, 16, 385–395. [Google Scholar] [CrossRef]
- Fan, J.; Li, R. Variable selection for Cox’s proportional hazards model and frailty model. Ann. Stat. 2002, 30, 74–99. [Google Scholar] [CrossRef]
- Robinson, M.; Oshlack, A. A scaling normalization method for differential expression analysis of RNA-seq data. Genome Biol. 2010, 11, R25. [Google Scholar] [CrossRef]
- Gregorutti, B.; Michel, B.; Saint-Pierre, P. Correlation and variable importance in random forests. Stat. Comput. 2017, 27, 659–678. [Google Scholar] [CrossRef]
- Ishwaran, H.; Kogalur, U.B. Random survival forests for R. R News 2007, 7, 25–31. [Google Scholar]
- Blanche, P.; Dartigues, J.F.; Jacqmin-Gadda, H. Estimating and comparing time-dependent areas under receiver operating characteristic curves for censored event times with competing risks. Stat. Med. 2013, 32, 5381–5397. [Google Scholar] [CrossRef] [PubMed]
- Szklarczyk, D.; Gable, A.L.; Lyon, D.; Junge, A.; Wyder, S.; Huerta-Cepas, J.; Simonovic, M.; Doncheva, N.T.; Morris, J.H.; Bork, P.; et al. STRING v11: Protein–protein association networks with increased coverage, supporting functional discovery in genome-wide experimental datasets. Nucleic Acids Res. 2019, 47, D607–D613. [Google Scholar] [CrossRef] [PubMed]
- Jin, X.; Song, Y.; An, Z.; Wu, S.; Cai, D.; Fu, Y.; Zhang, C.; Chen, L.; Tang, W.; Zheng, Z.; et al. A predictive model for prognosis and therapeutic response in hepatocellular carcinoma based on a panel of three MED8-related immunomodulators. Front. Oncol. 2022, 12, 868411. [Google Scholar] [CrossRef]
- Chang, Q.; Xu, Y.; Wang, J.; Jing, H.; Rao, L.; Tang, W.; Zhang, Z.; Wu, X. SLC41A3 exhibits as a carcinoma biomarker and promoter in liver hepatocellular carcinoma. Comput. Math. Methods Med. 2021, 2021, 8556888. [Google Scholar] [CrossRef] [PubMed]
- Li, Q.; Xiong, D.L.; Wang, H.; Jin, W.L.; Ma, Y.Y.; Fan, X.M. High expression of SLC41A3 correlates with poor prognosis in hepatocellular carcinoma. OncoTargets Ther. 2021, 14, 2975–2988. [Google Scholar] [CrossRef]







| ALB | LAPTM4A.DT | AL158828.1 | Z96811.1 | |
|---|---|---|---|---|
| Min. | 1079 | 0.000 | 0.000 | 0.000 |
| 1st Qu. | 1,122,048 | 0.000 | 0.000 | 0.000 |
| Median | 1,936,114 | 1.000 | 1.000 | 0.000 |
| Mean | 2,420,186 | 1.489 | 1.489 | 0.544 |
| 3rd Qu. | 3,195,438 | 2.000 | 2.000 | 1.000 |
| Max. | 11,448,806 | 13.000 | 37.000 | 5.000 |
| Feature | SIS-Lasso | SIS-SCAD | SIS-IG | SIS-VIMP |
|---|---|---|---|---|
| CAD | ✓ | ✓ | ||
| POLR3G | ✓ | |||
| SLC41A3 | ✓ | ✓ | ✓ | |
| PLEKHA8P1 | ✓ | |||
| YARS1 | ✓ | ✓ | ✓ | |
| GNL2 | ✓ | ✓ | ||
| CAPN10 | ✓ | |||
| MED8 | ✓ | ✓ | ✓ | ✓ |
| CCDC58 | ✓ | ✓ | ||
| CLEC3B | ✓ | ✓ | ✓ | |
| KPNA2 | ✓ | ✓ | ✓ | |
| RBM28 | ✓ | |||
| TRMT6 | ✓ | |||
| NUP107 | ✓ | |||
| DDX55 | ✓ | |||
| RUVBL1 | ✓ | |||
| METTL3 | ✓ | |||
| DHX37 | ✓ | |||
| AP000439.2 | ✓ | |||
| CDKL3 | ✓ | |||
| NSA2P7 | ✓ | |||
| Count | 11 | 6 | 9 | 9 |
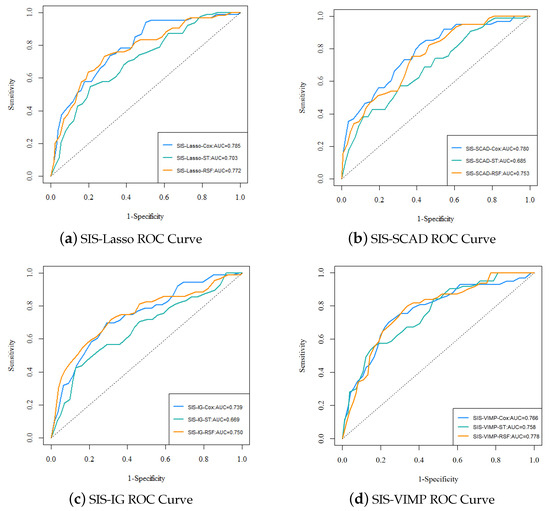
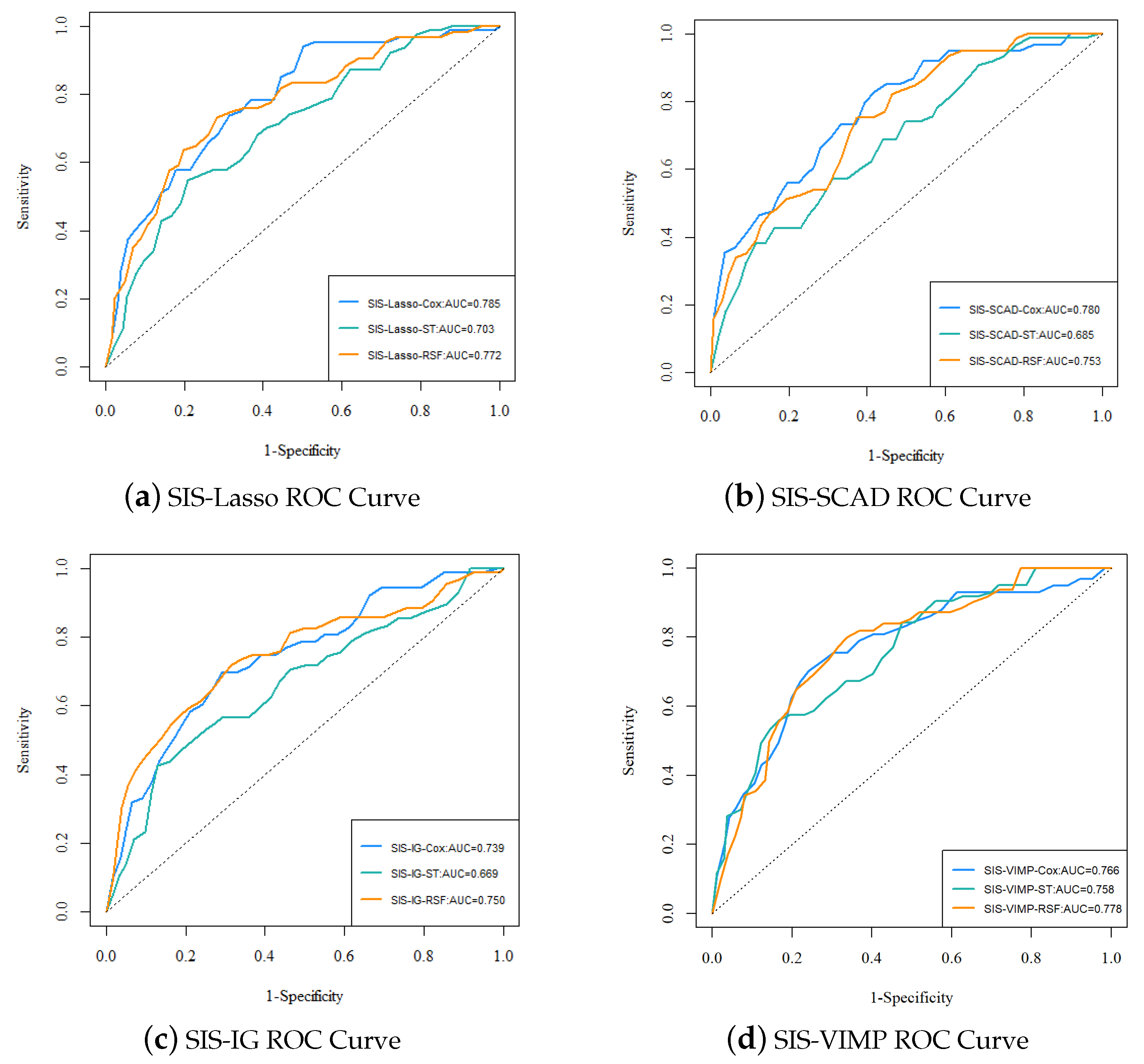
| Metrics | SIS-Lasso | SIS-SCAD | SIS-IG | SIS-VIMP | ||||||||
|---|---|---|---|---|---|---|---|---|---|---|---|---|
| Cox | ST | RSF | Cox | ST | RSF | Cox | ST | RSF | Cox | ST | RSF | |
| AUC | 0.785 | 0.703 | 0.772 | 0.780 | 0.685 | 0.753 | 0.739 | 0.669 | 0.750 | 0.766 | 0.758 | 0.778 |
| C-index | 0.693 | 0.652 | 0.704 | 0.686 | 0.631 | 0.685 | 0.669 | 0.623 | 0.682 | 0.684 | 0.688 | 0.720 |
| Sensitivity | 0.834 | 0.843 | 0.833 | 0.827 | 0.643 | 0.780 | 0.816 | 0.707 | 0.863 | 0.802 | 0.800 | 0.843 |
| Specificity | 0.458 | 0.370 | 0.441 | 0.429 | 0.582 | 0.462 | 0.412 | 0.440 | 0.391 | 0544 | 0.414 | 0.467 |
| NPV | 0.927 | 0.908 | 0.927 | 0.931 | 0.906 | 0.933 | 0.929 | 0.910 | 0.925 | 0.936 | 0.935 | 0.960 |
| PPV | 0.260 | 0.212 | 0.250 | 0.249 | 0.249 | 0.247 | 0.226 | 0.200 | 0.244 | 0.278 | 0.236 | 0.263 |
Disclaimer/Publisher’s Note: The statements, opinions and data contained in all publications are solely those of the individual author(s) and contributor(s) and not of MDPI and/or the editor(s). MDPI and/or the editor(s) disclaim responsibility for any injury to people or property resulting from any ideas, methods, instructions or products referred to in the content. |
© 2024 by the authors. Licensee MDPI, Basel, Switzerland. This article is an open access article distributed under the terms and conditions of the Creative Commons Attribution (CC BY) license (https://creativecommons.org/licenses/by/4.0/).
Share and Cite
Cai, K.; Fu, W.; Wang, Z.; Yang, X.; Liu, H.; Ji, Z. Optimizing Prognostic Predictions in Liver Cancer with Machine Learning and Survival Analysis. Entropy 2024, 26, 767. https://doi.org/10.3390/e26090767
Cai K, Fu W, Wang Z, Yang X, Liu H, Ji Z. Optimizing Prognostic Predictions in Liver Cancer with Machine Learning and Survival Analysis. Entropy. 2024; 26(9):767. https://doi.org/10.3390/e26090767
Chicago/Turabian StyleCai, Kaida, Wenzhi Fu, Zhengyan Wang, Xiaofang Yang, Hanwen Liu, and Ziyang Ji. 2024. "Optimizing Prognostic Predictions in Liver Cancer with Machine Learning and Survival Analysis" Entropy 26, no. 9: 767. https://doi.org/10.3390/e26090767
APA StyleCai, K., Fu, W., Wang, Z., Yang, X., Liu, H., & Ji, Z. (2024). Optimizing Prognostic Predictions in Liver Cancer with Machine Learning and Survival Analysis. Entropy, 26(9), 767. https://doi.org/10.3390/e26090767

