Fast Finite-Time Observer-Based Event-Triggered Consensus Control for Uncertain Nonlinear Multiagent Systems with Full-State Constraints
Abstract
1. Introduction
- The system states and external disturbance cannot be measured; the state observer and the disturbance observer enlarge the applications of the consensus control method.
- A second-order TD is designed to avoid the continuous differentiations of the virtual control. Meanwhile, the event-triggered control approach can be investigated to save resources and reduce the frequency of the control triggering.
- The MASs with state restrictions can achieve the stability and security of systems. In addition, the fast finite-time consensus control technique could make the system accomplish convergence at a high speed. In [26], the fast finite-time event-triggered control scheme do not consider the unmeasured states and disturbances, which also cannot have a good performance rather to our control method.
2. Problem Statement and Dynamic
2.1. Graph Theory
2.2. System Definition
2.3. RBF NNs
2.4. Preliminaries
2.5. Tracking Differentiator
3. Observer and RBF NNs Adaptive Controller Design
4. Adaptive Tracking Consensus Controllers Design
Fast Finite-Time Event-Triggered Control Design
5. Stability Analysis
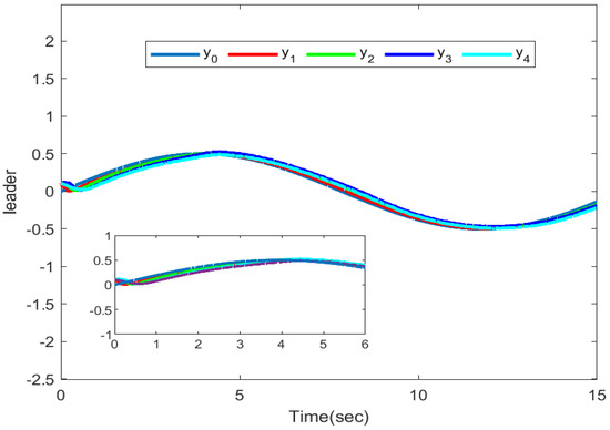
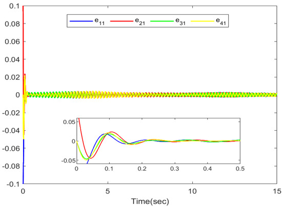
6. Simulation Results
7. Conclusions
Author Contributions
Funding
Institutional Review Board Statement
Data Availability Statement
Conflicts of Interest
References
- Chen, Z.; Wang, J.; Zhang, L.; Ma, K.; Liu, Y. Event-triggered prescribed settling time consensus control of uncertain nonlinear multiagent systems with given transient performance. ISA Trans. 2022, 129, 24–35. [Google Scholar] [CrossRef] [PubMed]
- Li, Z.; Gao, L.; Chen, W.; Xu, Y. Distributed adaptive cooperative tracking of uncertain nonlinear fractional-order multi-agent systems. IEEE/CAA J. Autom. Sin. 2020, 7, 292–300. [Google Scholar] [CrossRef]
- Liu, Y.; Montenbruck, J.M.; Zelazo, D.; Odelga, M.; Rajappa, S.; Bülthoff, H.H.; Allgöwer, F.; Zell, A. A Distributed Control Approach to Formation Balancing and Maneuvering of Multiple Multirotor UAVs. IEEE Trans. Robot. 2018, 34, 870–882. [Google Scholar] [CrossRef]
- Li, X.; Zhu, D. An Adaptive SOM Neural Network Method for Distributed Formation Control of a Group of AUVs. IEEE Trans. Ind. Electron. 2018, 65, 8260–8270. [Google Scholar] [CrossRef]
- Zhou, Y.; Yu, X.; Sun, C.; Yu, W. Higher order finite-time consensus protocol for heterogeneous multi-agent systems. Int. J. Control 2015, 88, 285–294. [Google Scholar] [CrossRef]
- Stephen, A.; Raja, R.; Alzabut, J.; Zhu, Q.; Niezabitowski, M.; Lim, C.P. A Lyapunov–Krasovskii Functional Approach to Stability and Linear Feedback Synchronization Control for Nonlinear Multi-Agent Systems with Mixed Time Delays. Math. Probl. Eng. 2021, 2021, 20. [Google Scholar] [CrossRef]
- Sui, S.; Chen, C.L.P.; Tong, S. Fuzzy Adaptive Finite-Time Control Design for Nontriangular Stochastic Nonlinear Systems. IEEE Trans. Fuzzy Syst. 2019, 27, 172–184. [Google Scholar] [CrossRef]
- Chen, B.; Liu, X.; Lin, C. Observer and Adaptive Fuzzy Control Design for Nonlinear Strict-Feedback Systems with Unknown Virtual Control Coefficients. IEEE Trans. Fuzzy Syst. 2018, 26, 1732–1743. [Google Scholar] [CrossRef]
- Li, Y.; Tong, S. Adaptive Fuzzy Output-Feedback Stabilization Control for a Class of Switched Nonstrict-Feedback Nonlinear Systems. IEEE Trans. Cybern. 2017, 47, 1007–1016. [Google Scholar] [CrossRef]
- Liang, M.; Chang, Y.; Zhang, F.; Wang, S.; Wang, C.; Lu, S.; Wang, Y. Observer-Based Adaptive Fuzzy Output Feedback Control for a Class of Fractional-Order Nonlinear Systems with Full-State Constraints. Int. J. Fuzzy Syst. 2022, 24, 1046–1058. [Google Scholar] [CrossRef]
- Wang, X.; Li, S.; Chen, M.Z.Q. Composite Backstepping Consensus Algorithms of Leader–Follower Higher-Order Nonlinear Multiagent Systems Subject to Mismatched Disturbances. IEEE Trans. Cybern. 2018, 48, 1935–1946. [Google Scholar] [CrossRef]
- Zhang, Y.; Sun, J.; Liang, H.; Li, H. Event-Triggered Adaptive Tracking Control for Multiagent Systems with Unknown Disturbances. IEEE Trans. Cybern. 2020, 50, 890–901. [Google Scholar] [CrossRef]
- Wei, X.; Tong, S. Observer-Based Fuzzy Adaptive Hybrid Control for Nonlinear Systems with Output Constraint. IEEE Trans. Cybern. 2019, 43, 379–388. [Google Scholar] [CrossRef]
- Lu, R.; Shi, P.; Su, H.; Wu, Z.G.; Lu, J. Synchronization of General Chaotic Neural Networks with Nonuniform Sampling and Packet Missing: A Switched System Approach. IEEE Trans. Neural Netw. Learn. Syst. 2018, 29, 523–533. [Google Scholar] [CrossRef] [PubMed]
- Zhou, Q.; Wang, W.; Liang, H.; Basin, M.V.; Wang, B. Observer-Based Event-Triggered Fuzzy Adaptive Bipartite Containment Control of Multiagent Systems with Input Quantization. IEEE Trans. Fuzzy Syst. 2021, 29, 372–384. [Google Scholar] [CrossRef]
- Guan, J.C.; Ren, H.W.; Tan, G.L. Distributed Dynamic Event-Triggered Control to Leader-Following Consensus of Nonlinear Multi-Agent Systems with Directed Graphs. Entropy 2024, 26, 113. [Google Scholar] [CrossRef] [PubMed]
- Ma, Y.; Gu, C.; Liu, Y.; Yu, L.; Tang, W. Event-Triggered Bounded Consensus Tracking for Second-Order Nonlinear Multi-Agent Systems with Uncertainties. Entropy 2023, 25, 1335. [Google Scholar] [CrossRef]
- Wang, Z.; Wang, H.; Wang, X.; Pang, N.; Shi, Q. Event-Triggered Adaptive Neural Control for Full State-Constrained Nonlinear Systems with Unknown Disturbances. Cogn. Comput. 2024, 16, 1866–9964. [Google Scholar] [CrossRef]
- Pang, N.; Wang, X.; Wang, Z. Observer-Based Event-Triggered Adaptive Control for Nonlinear Multiagent Systems with Unknown States and Disturbances. IEEE Trans. Neural Netw. Learn. Syst. 2023, 34, 6663–6669. [Google Scholar] [CrossRef] [PubMed]
- Ni, J.; Shi, P. Global Predefined Time and Accuracy Adaptive Neural Network Control for Uncertain Strict-Feedback Systems with Output Constraint and Dead Zone. IEEE Trans. Syst. Man Cybern. Syst. 2021, 51, 7903–7918. [Google Scholar] [CrossRef]
- Raza, A.; Malik, F.M.; Mazhar, N.; Ullah, H.; Khan, R. Finite-Time Trajectory Tracking Control of Output-Constrained Uncertain Quadrotor. IEEE Access 2020, 8, 215603–215612. [Google Scholar] [CrossRef]
- Liu, Y.J.; Li, J.; Tong, S.; Chen, C.L.P. Neural Network Control-Based Adaptive Learning Design for Nonlinear Systems with Full-State Constraints. IEEE Trans. Neural Netw. Learn. Syst. 2016, 27, 1562–1571. [Google Scholar] [CrossRef] [PubMed]
- Qu, F.; Tong, S.; Li, Y. Observer-based adaptive fuzzy output constrained control for uncertain nonlinear multi-agent systems. Inf. Sci. 2018, 467, 446–463. [Google Scholar] [CrossRef]
- Yao, D.; Dou, C.; Zhao, N.; Zhang, T. Practical fixed-time adaptive consensus control for a class of multi-agent systems with full state constraints and input delay. Neurocomputing 2021, 446, 156–164. [Google Scholar] [CrossRef]
- Yang, W.; Pan, Y.; Liang, H. Event-triggered adaptive fixed-time NN control for constrained nonstrict-feedback nonlinear systems with prescribed performance. Neurocomputing 2021, 422, 332–344. [Google Scholar] [CrossRef]
- Wang, J.; Wang, C.; Chen, C.L.P.; Liu, Z.; Zhang, C. Fast Finite-Time Event-Triggered Consensus Control for Uncertain Nonlinear Multiagent Systems with Full-State Constraints. IEEE Trans. Circuits Syst. Regul. Pap. 2023, 70, 1361–1370. [Google Scholar] [CrossRef]
- Liu, J.; Zhang, Y.; Yu, Y.; Sun, C. Fixed-Time Event-Triggered Consensus for Nonlinear Multiagent Systems without Continuous Communications. IEEE Trans. Syst. Man Cybern. Syst. 2019, 49, 2221–2229. [Google Scholar] [CrossRef]
- Wang, F.; Lai, G. Fixed-time control design for nonlinear uncertain systems via adaptive method. Syst. Control Lett. 2020, 140, 104704. [Google Scholar] [CrossRef]
- Wang, W.; Tong, S. Adaptive Fuzzy Bounded Control for Consensus of Multiple Strict-Feedback Nonlinear Systems. IEEE Trans. Cybern. 2018, 48, 522–531. [Google Scholar] [CrossRef] [PubMed]
- Zhou, Q.; Li, H.; Wang, L.; Lu, R. Prescribed Performance Observer-Based Adaptive Fuzzy Control for Nonstrict-Feedback Stochastic Nonlinear Systems. IEEE Trans. Syst. Man Cybern. Syst. 2018, 48, 1747–1758. [Google Scholar] [CrossRef]
- Chen, C.L.P.; Wen, G.X.; Liu, Y.J.; Liu, Z. Observer-Based Adaptive Backstepping Consensus Tracking Control for High-Order Nonlinear Semi-Strict-Feedback Multiagent Systems. IEEE Trans. Cybern. 2016, 46, 1591–1601. [Google Scholar] [CrossRef] [PubMed]
- Sun, K.; Mou, S.; Qiu, J.; Wang, T.; Gao, H. Adaptive Fuzzy Control for Nontriangular Structural Stochastic Switched Nonlinear Systems with Full State Constraints. IEEE Trans. Fuzzy Syst. 2019, 27, 1587–1601. [Google Scholar] [CrossRef]
- Zhang, C.; Chen, Z.; Wang, J.; Liu, Z.; Chen, C.L.P. Fuzzy Adaptive Two-Bit-Triggered Control for a Class of Uncertain Nonlinear Systems with Actuator Failures and Dead-Zone Constraint. IEEE Trans. Cybern. 2021, 51, 210–221. [Google Scholar] [CrossRef] [PubMed]
- Peng, Z.; Wang, D.; Wang, J. Predictor-Based Neural Dynamic Surface Control for Uncertain Nonlinear Systems in Strict-Feedback Form. IEEE Trans. Neural Netw. Learn. Syst. 2017, 28, 2156–2167. [Google Scholar] [CrossRef] [PubMed]








Disclaimer/Publisher’s Note: The statements, opinions and data contained in all publications are solely those of the individual author(s) and contributor(s) and not of MDPI and/or the editor(s). MDPI and/or the editor(s) disclaim responsibility for any injury to people or property resulting from any ideas, methods, instructions or products referred to in the content. |
© 2024 by the authors. Licensee MDPI, Basel, Switzerland. This article is an open access article distributed under the terms and conditions of the Creative Commons Attribution (CC BY) license (https://creativecommons.org/licenses/by/4.0/).
Share and Cite
Zhou, K.; Wang, X. Fast Finite-Time Observer-Based Event-Triggered Consensus Control for Uncertain Nonlinear Multiagent Systems with Full-State Constraints. Entropy 2024, 26, 559. https://doi.org/10.3390/e26070559
Zhou K, Wang X. Fast Finite-Time Observer-Based Event-Triggered Consensus Control for Uncertain Nonlinear Multiagent Systems with Full-State Constraints. Entropy. 2024; 26(7):559. https://doi.org/10.3390/e26070559
Chicago/Turabian StyleZhou, Kewei, and Xin Wang. 2024. "Fast Finite-Time Observer-Based Event-Triggered Consensus Control for Uncertain Nonlinear Multiagent Systems with Full-State Constraints" Entropy 26, no. 7: 559. https://doi.org/10.3390/e26070559
APA StyleZhou, K., & Wang, X. (2024). Fast Finite-Time Observer-Based Event-Triggered Consensus Control for Uncertain Nonlinear Multiagent Systems with Full-State Constraints. Entropy, 26(7), 559. https://doi.org/10.3390/e26070559

