Derivation of Bose’s Entropy Spectral Density from the Multiplicity of Energy Eigenvalues
Abstract
1. Introduction
2. Multiplicity of Energy Eigenvalues and Density of States
3. Energy Spectral Density and Entropy Spectral Density of the Photonic Thermal State
4. Comparison with Other Derivations
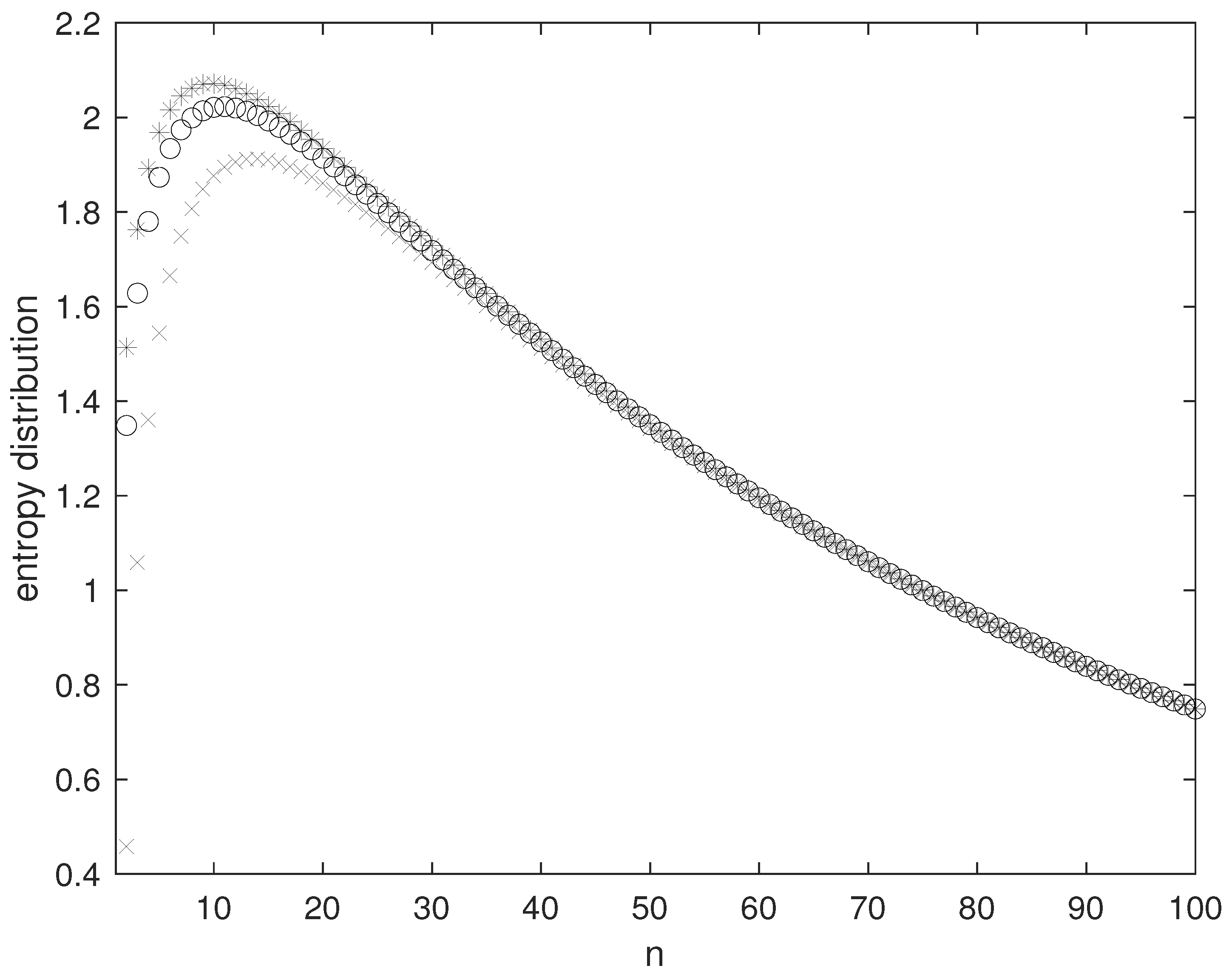
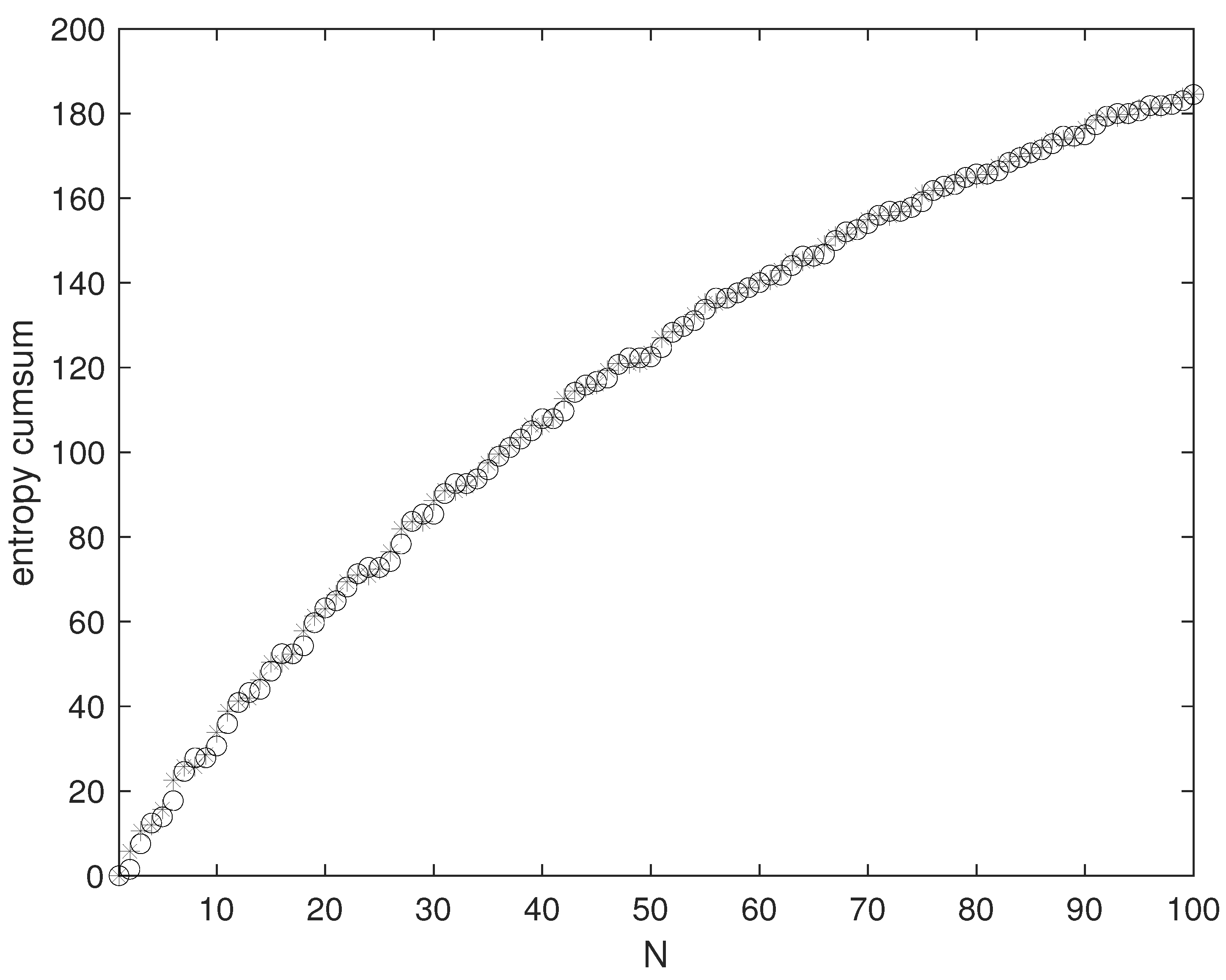
5. Comparison with the Poisson Distribution of the Occupancy Numbers
6. Conclusions
Funding
Data Availability Statement
Acknowledgments
Conflicts of Interest
References
- Planck, M. On the law of distribution of energy in the normal spectrum. Ann. Phys. 1901, 4, 553. [Google Scholar] [CrossRef]
- Theimer, O.; Ram, B. The beginning of quantum statistics: A translation of “Planck’s law and the light quantum hypothesis”. Am. J. Phys. 1976, 44, 1056–1057. [Google Scholar]
- Einstein, A. Quantentheorie des Einatomigen Idealen Gases, Sitzungsberichte Kgl; Sitzber Kgl Preuss Akad Wiss: Berlin, Germany, 1924; pp. 261–267. [Google Scholar]
- Mulhall, D.; Moelter, M.J. Calculating and visualizing the density of states for simple quantum mechanical systems. Am. J. Phys. 2014, 82, 665–673. [Google Scholar] [CrossRef]
- Pathria, R.K.; Beale, P.D. Statistical Mechanics, 3rd ed.; Elsevier: Amsterdam, The Netherlands, 2011. [Google Scholar]
- Kittel, C.; Kroemer, H. Thermal Physics; WH Freeman: New York, NY, USA, 1980. [Google Scholar]
- Huang, K. Statistical Mechanincs, 2nd ed.; Wiley: New York, NY, USA, 1987. [Google Scholar]
- Sekerka, R.F. Thermal Physics: Thermodynamics and Statistical Mechanics for Scientists and Engineers; Elsevier: Amsterdam, The Netherlands, 2015. [Google Scholar]
- Fitzpatrick, R. Thermodynamics and Statistical Mechanics; World Scientific: Singapore, 2020. [Google Scholar]
- Kardar, M. Statistical Physics of Particles; Cambridge University Press: Cambridge, UK, 2007. [Google Scholar]
- Landau, L.D. The Classical Theory of Fields; Elsevier: Amsterdam, The Netherlands, 2013; Volume 2. [Google Scholar]
- Feynman, R.P.; Leighton, R.B.; Sands, M. The Feynman Lectures on Physics, Vol. I: The New Millennium Edition: Mainly Mechanics, Radiation, and Heat; Basic Books: New York, NY, USA, 2011; Volume 1. [Google Scholar]
- Spalvieri, A. Entropy of the Canonical Occupancy (Macro) State in the Quantum Measurement Theory. Entropy 2024, 26, 107. [Google Scholar] [CrossRef] [PubMed]
- Girondot, M.; Barry, J. Computation of the Distribution of the Sum of Independent Negative Binomial Random Variables. Math. Comput. Appl. 2023, 28, 63. [Google Scholar] [CrossRef]
- Schmitt, J.; Damm, T.; Dung, D.; Vewinger, F.; Klaers, J.; Weitz, M. Observation of grand-canonical number statistics in a photon Bose-Einstein condensate. Phys. Rev. Lett. 2014, 112, 030401. [Google Scholar] [CrossRef]


Disclaimer/Publisher’s Note: The statements, opinions and data contained in all publications are solely those of the individual author(s) and contributor(s) and not of MDPI and/or the editor(s). MDPI and/or the editor(s) disclaim responsibility for any injury to people or property resulting from any ideas, methods, instructions or products referred to in the content. |
© 2024 by the author. Licensee MDPI, Basel, Switzerland. This article is an open access article distributed under the terms and conditions of the Creative Commons Attribution (CC BY) license (https://creativecommons.org/licenses/by/4.0/).
Share and Cite
Spalvieri, A. Derivation of Bose’s Entropy Spectral Density from the Multiplicity of Energy Eigenvalues. Entropy 2024, 26, 504. https://doi.org/10.3390/e26060504
Spalvieri A. Derivation of Bose’s Entropy Spectral Density from the Multiplicity of Energy Eigenvalues. Entropy. 2024; 26(6):504. https://doi.org/10.3390/e26060504
Chicago/Turabian StyleSpalvieri, Arnaldo. 2024. "Derivation of Bose’s Entropy Spectral Density from the Multiplicity of Energy Eigenvalues" Entropy 26, no. 6: 504. https://doi.org/10.3390/e26060504
APA StyleSpalvieri, A. (2024). Derivation of Bose’s Entropy Spectral Density from the Multiplicity of Energy Eigenvalues. Entropy, 26(6), 504. https://doi.org/10.3390/e26060504

