Finite-Time Dynamics of an Entanglement Engine: Current, Fluctuations and Kinetic Uncertainty Relations
Abstract
1. Introduction
2. Model and Definitions for a Two-Qubit Entanglement Engine
2.1. Hamiltonian
- the two-qubit Hamiltonianwith the interaction Hamiltonian between the two qubits, the raising (lowering) operator for qubit j, the degenerate bare energy of both qubits and g the flip-flop interaction strength;
- the two baths Hamiltonianwith the creation (annihilation) operator of the mode k, with energy , of bath j;
- and a system-bath tunneling Hamiltonianthat describes the interaction between qubits and reservoirs, with the tunneling amplitude between the qubit j and the k-th mode of bath j.
2.2. Lindblad Master Equation
2.3. Lindblad Equation: Transient Solution
2.4. Average Current and Current Correlation Functions at Finite Times
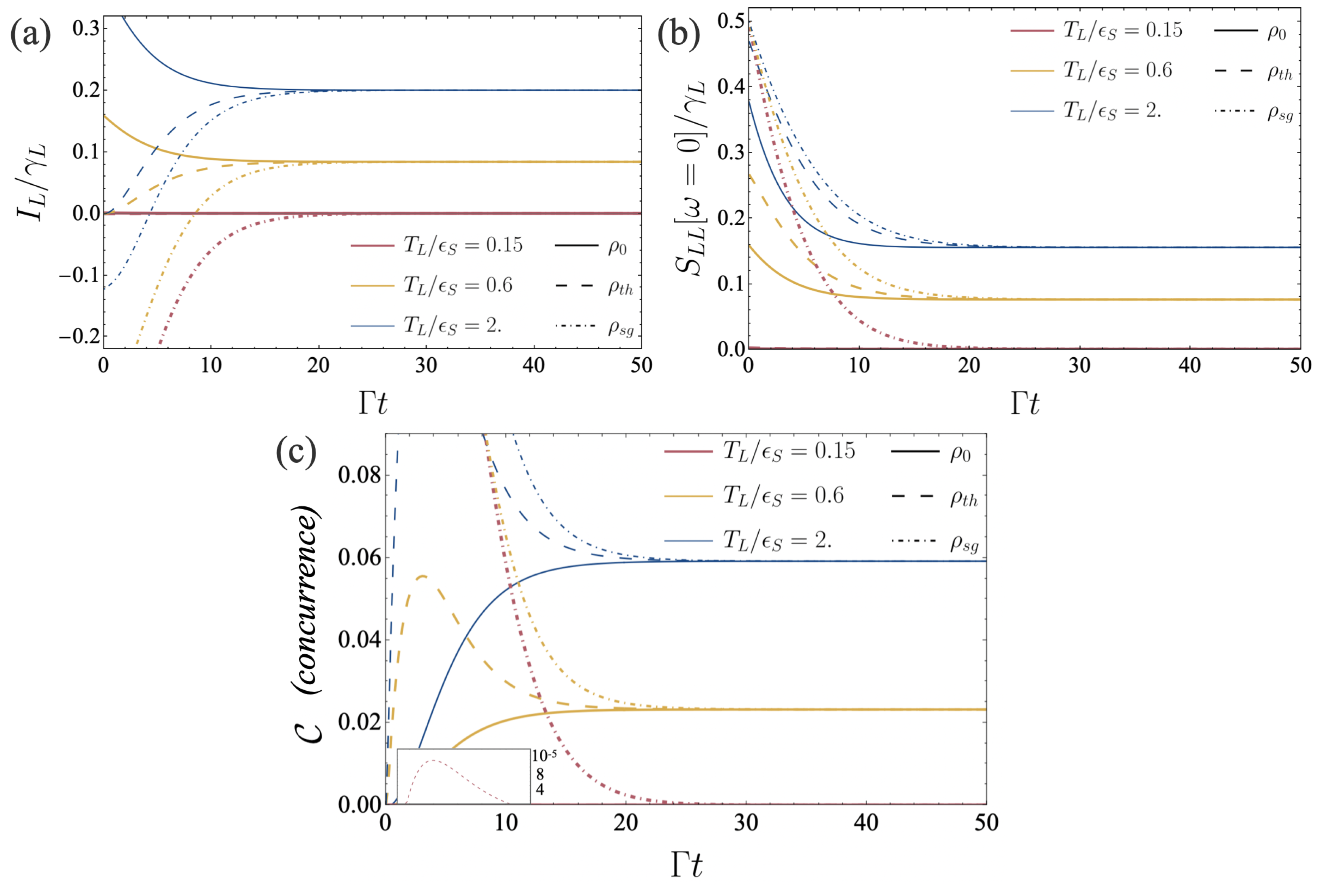
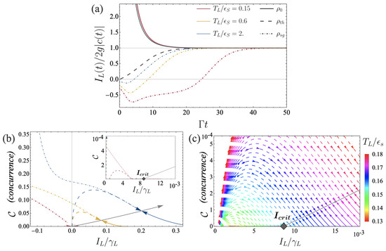
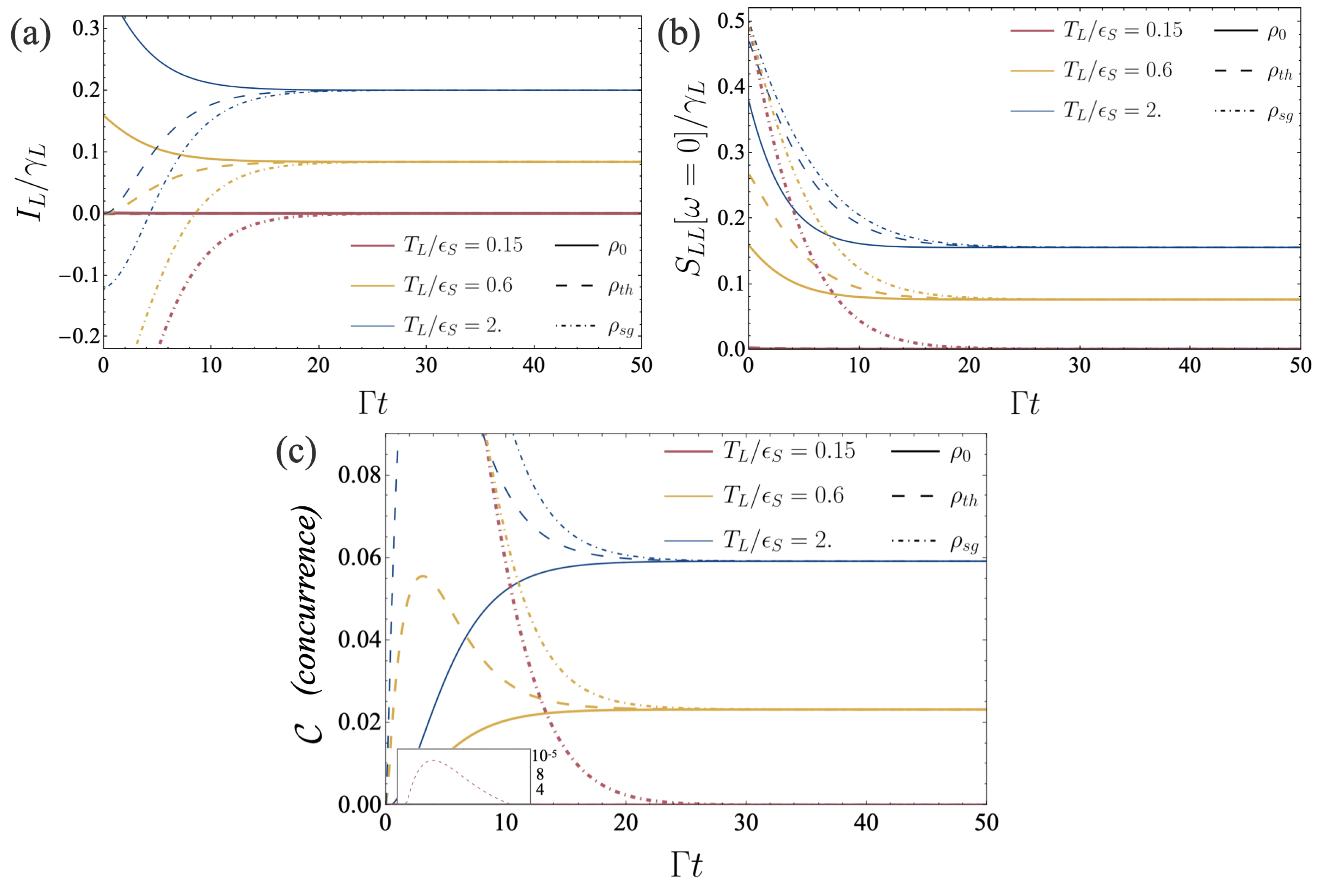
3. Transient Particle Current, Correlation Functions and Concurrence
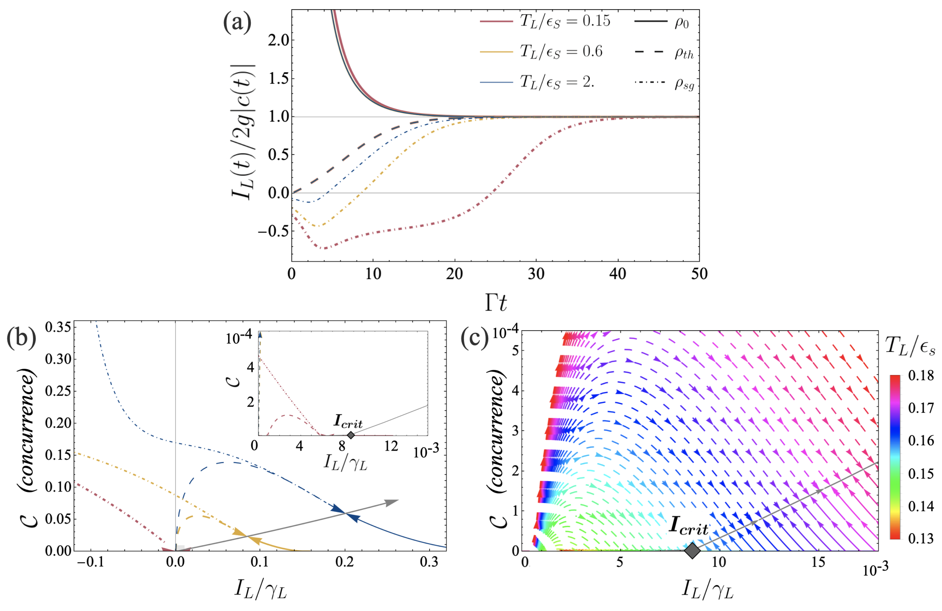
4. Average Current to Certify the Presence of Entanglement
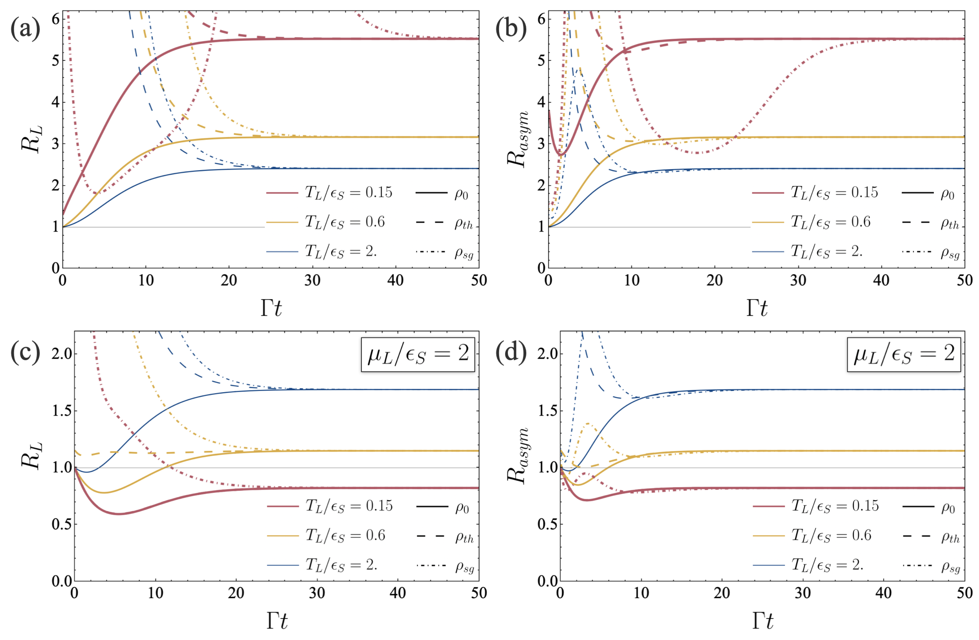
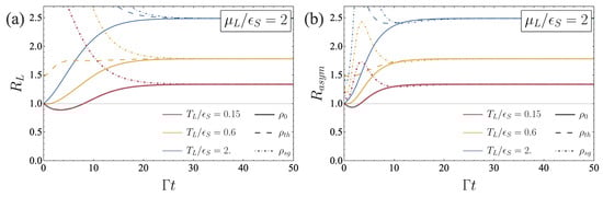
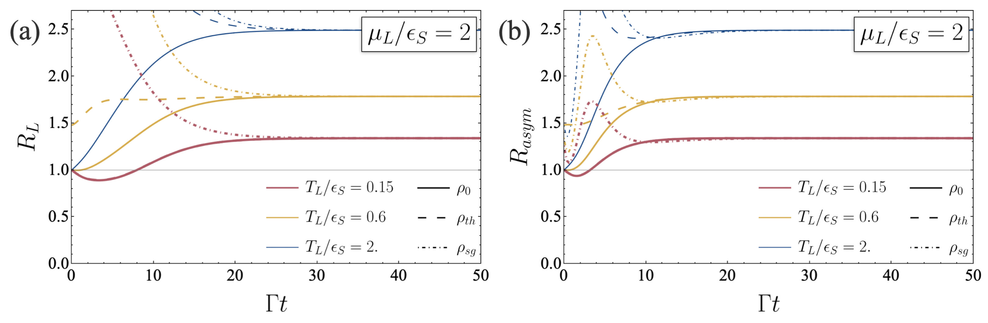
5. Kinetic Uncertainty Relations in a Two-Qubit Entanglement Engine
5.1. Definitions of KURs in the Transient Regime
5.2. Violation of KURs
6. Conclusions
Author Contributions
Funding
Data Availability Statement
Conflicts of Interest
Appendix A

References
- Kosloff, R.; Levy, A. Quantum Heat Engines and Refrigerators: Continuous Devices. Annu. Rev. Phys. Chem. 2014, 65, 365–393. [Google Scholar] [CrossRef]
- Vinjanampathy, S.; Anders, J. Quantum thermodynamics. Contemp. Phys. 2016, 57, 545–579. [Google Scholar] [CrossRef]
- Mitchison, M.T. Quantum thermal absorption machines: Refrigerators, engines and clocks. Contemp. Phys. 2019, 60, 164–187. [Google Scholar] [CrossRef]
- Bhattacharjee, S.; Dutta, A. Quantum thermal machines and batteries. Eur. Phys. J. B 2021, 94, 239. [Google Scholar] [CrossRef]
- Myers, N.M.; Abah, O.; Deffner, S. Quantum thermodynamic devices: From theoretical proposals to experimental reality. AVS Quantum Sci. 2022, 4, 027101. [Google Scholar] [CrossRef]
- Eisler, V.; Zimborás, Z. Entanglement in the XX spin chain with an energy current. Phys. Rev. A 2005, 71, 042318. [Google Scholar] [CrossRef][Green Version]
- Hartmann, L.; Dür, W.; Briegel, H.J. Entanglement and its dynamics in open, dissipative systems. New J. Phys. 2007, 9, 230. [Google Scholar] [CrossRef]
- Quiroga, L.; Rodríguez, F.J.; Ramírez, M.E.; París, R. Nonequilibrium thermal entanglement. Phys. Rev. A 2007, 75, 032308. [Google Scholar] [CrossRef]
- Bellomo, B.; Antezza, M. Creation and protection of entanglement in systems out of thermal equilibrium. New J. Phys. 2013, 15, 113052. [Google Scholar] [CrossRef]
- Brask, J.B.; Haack, G.; Brunner, N.; Huber, M. Autonomous quantum thermal machine for generating steady-state entanglement. New J. Phys. 2015, 17, 113029. [Google Scholar] [CrossRef]
- Hewgill, A.; Ferraro, A.; De Chiara, G. Quantum correlations and thermodynamic performances of two-qubit engines with local and common baths. Phys. Rev. A 2018, 98, 042102. [Google Scholar] [CrossRef]
- Man, Z.X.; Tavakoli, A.; Brask, J.B.; Xia, Y.J. Improving autonomous thermal entanglement generation using a common reservoir. Phys. Scr. 2019, 94, 075101. [Google Scholar] [CrossRef]
- Farina, D.; Benazout, B.; Centrone, F.; Acin, A. Thermodynamic precision in the nonequilibrium exchange scenario. arXiv 2023, arXiv:2307.13341. [Google Scholar] [CrossRef]
- Tavakoli, A.; Haack, G.; Huber, M.; Brunner, N.; Brask, J.B. Heralded generation of maximal entanglement in any dimension via incoherent coupling to thermal baths. Quantum 2018, 2, 73. [Google Scholar] [CrossRef]
- Tavakoli, A.; Haack, G.; Brunner, N.; Brask, J.B. Autonomous multipartite entanglement engines. Phys. Rev. A 2020, 101, 012315. [Google Scholar] [CrossRef]
- Khandelwal, S.; Annby-Andersson, B.; Diotallevi, G.F.; Wacker, A.; Tavakoli, A. Maximal steady-state entanglement in autonomous quantum thermal machines. arXiv 2024, arXiv:2401.01776. [Google Scholar] [CrossRef]
- Khandelwal, S.; Palazzo, N.; Brunner, N.; Haack, G. Critical heat current for operating an entanglement engine. New J. Phys. 2020, 22, 073039. [Google Scholar] [CrossRef]
- Bohr Brask, J.; Clivaz, F.; Haack, G.; Tavakoli, A. Operational nonclassicality in minimal autonomous thermal machines. Quantum 2022, 6, 672. [Google Scholar] [CrossRef]
- Prech, K.; Johansson, P.; Nyholm, E.; Landi, G.T.; Verdozzi, C.; Samuelsson, P.; Potts, P.P. Entanglement and thermokinetic uncertainty relations in coherent mesoscopic transport. Phys. Rev. Res. 2023, 5, 023155. [Google Scholar] [CrossRef]
- Das, A.; Khan, A.A.; Mishra, S.D.; Solanki, P.; De, B.; Muralidharan, B.; Vinjanampathy, S. Steady-state tunable entanglement thermal machine using quantum dots. Quantum Sci. Technol. 2022, 7, 045034. [Google Scholar] [CrossRef]
- Khandelwal, S.; Chen, W.; Murch, K.W.; Haack, G. Chiral Bell-state transfer via dissipative Liouvillian dynamics. arXiv 2023, arXiv:2310.11381. [Google Scholar] [CrossRef]
- Tacchino, F.; Auffèves, A.; Santos, M.; Gerace, D. Steady State Entanglement beyond Thermal Limits. Phys. Rev. Lett. 2018, 120, 063604. [Google Scholar] [CrossRef]
- Heineken, D.; Beyer, K.; Luoma, K.; Strunz, W.T. Quantum-memory-enhanced dissipative entanglement creation in nonequilibrium steady states. Phys. Rev. A 2021, 104, 052426. [Google Scholar] [CrossRef]
- Aguilar, M.; Freitas, N.; Paz, J.P. Entanglement generation in quantum thermal machines. Phys. Rev. A 2020, 102, 062422. [Google Scholar] [CrossRef]
- Diotallevi, G.F.; Annby-Andersson, B.; Samuelsson, P.; Tavakoli, A.; Bakhshinezhad, P. Steady-state entanglement production in a quantum thermal machine with continuous feedback control. arXiv 2023, arXiv:2309.07696. [Google Scholar] [CrossRef]
- Blasi, G.; Khandelwal, S.; Haack, G. Exact finite-time correlation functions for multi-terminal setups: Connecting theoretical frameworks for quantum transport and thermodynamics. arXiv 2023, arXiv:2312.15065. [Google Scholar] [CrossRef]
- Garrahan, J.P. Simple bounds on fluctuations and uncertainty relations for first-passage times of counting observables. Phys. Rev. E 2017, 95, 032134. [Google Scholar] [CrossRef]
- Terlizzi, I.D.; Baiesi, M. Kinetic uncertainty relation. J. Phys. A Math. Theor. 2018, 52, 02LT03. [Google Scholar] [CrossRef]
- Hiura, K.; Sasa, S.i. Kinetic uncertainty relation on first-passage time for accumulated current. Phys. Rev. E 2021, 103, L050103. [Google Scholar] [CrossRef]
- Potts, P.P.; Kalaee, A.A.S.; Wacker, A. A thermodynamically consistent Markovian master equation beyond the secular approximation. New J. Phys. 2021, 23, 123013. [Google Scholar] [CrossRef]
- Breuer, H.P.; Petruccione, F. The Theory of Open Quantum Systems; Oxford University Press: Oxford, UK, 2007; Volume 1. [Google Scholar] [CrossRef]
- Schaller, G. Dynamics of Open Quantum Systems. In Open Quantum Systems Far from Equilibrium; Springer International Publishing: Cham, Switzerland, 2014; pp. 1–26. [Google Scholar] [CrossRef]
- Hofer, P.P.; Perarnau-Llobet, M.; Miranda, L.D.M.; Haack, G.; Silva, R.; Brask, J.B.; Brunner, N. Markovian master equations for quantum thermal machines: Local versus global approach. New J. Phys. 2017, 19, 123037. [Google Scholar] [CrossRef]
- Bâldea, I. Invariance of molecular charge transport upon changes of extended molecule size and several related issues. Beilstein J. Nanotechnol. 2016, 7, 418–431. [Google Scholar] [CrossRef]
- Covito, F.; Eich, F.; Tuovinen, R.; Sentef, M.; Rubio, A. Transient charge and energy flow in the wide-band limit. J. Chem. Theory Comput. 2018, 14, 2495–2504. [Google Scholar] [CrossRef]
- Landi, G.T.; Kewming, M.J.; Mitchison, M.T.; Potts, P.P. Current Fluctuations in Open Quantum Systems: Bridging the Gap Between Quantum Continuous Measurements and Full Counting Statistics. PRX Quantum 2024, 5, 020201. [Google Scholar] [CrossRef]
- Wiseman, H.M.; Milburn, G.J. Quantum Measurement and Control; Cambridge University Press: Cambridge, UK, 2009. [Google Scholar] [CrossRef]
- Khandelwal, S.; Brunner, N.; Haack, G. Signatures of Liouvillian Exceptional Points in a Quantum Thermal Machine. PRX Quantum 2021, 2, 040346. [Google Scholar] [CrossRef]
- Wootters, W.K. Entanglement of Formation of an Arbitrary State of Two Qubits. Phys. Rev. Lett. 1998, 80, 2245–2248. [Google Scholar] [CrossRef]
- Yu, T.; Eberly, J. Evolution from entanglement to decoherence of bipartite mixed “X” states. Quantum Inf. Comput. 2007, 7, 459–468. [Google Scholar] [CrossRef]
- Timpanaro, A.M.; Guarnieri, G.; Goold, J.; Landi, G.T. Thermodynamic Uncertainty Relations from Exchange Fluctuation Theorems. Phys. Rev. Lett. 2019, 123, 090604. [Google Scholar] [CrossRef]
- Kewming, M.J.; Kiely, A.; Campbell, S.; Landi, G.T. First Passage Times for Continuous Quantum Measurement Currents. arXiv 2023, arXiv:2308.07810. [Google Scholar] [CrossRef]
- Timpanaro, A.M.; Guarnieri, G.; Landi, G.T. Hyperaccurate thermoelectric currents. Phys. Rev. B 2023, 107, 115432. [Google Scholar] [CrossRef]
- Liu, J.; Segal, D. Coherences and the thermodynamic uncertainty relation: Insights from quantum absorption refrigerators. Phys. Rev. E 2021, 103, 032138. [Google Scholar] [CrossRef]
- Gerry, M.; Segal, D. Absence and recovery of cost-precision tradeoff relations in quantum transport. Phys. Rev. B 2022, 105, 155401. [Google Scholar] [CrossRef]
- Ferri-Cortés, M.; Almanza-Marrero, J.A.; López, R.; Zambrini, R.; Manzano, G. Entropy production and fluctuation theorems for monitored quantum systems under imperfect detection. arXiv 2023, arXiv:2308.08491. [Google Scholar] [CrossRef]
- Joho, K.; Maier, S.; Komnik, A. Transient noise spectra in resonant tunneling setups: Exactly solvable models. Phys. Rev. B 2012, 86, 155304. [Google Scholar] [CrossRef]
- Van Vu, T.; Saito, K. Thermodynamics of Precision in Markovian Open Quantum Dynamics. Phys. Rev. Lett. 2022, 128, 140602. [Google Scholar] [CrossRef]




Disclaimer/Publisher’s Note: The statements, opinions and data contained in all publications are solely those of the individual author(s) and contributor(s) and not of MDPI and/or the editor(s). MDPI and/or the editor(s) disclaim responsibility for any injury to people or property resulting from any ideas, methods, instructions or products referred to in the content. |
© 2024 by the authors. Licensee MDPI, Basel, Switzerland. This article is an open access article distributed under the terms and conditions of the Creative Commons Attribution (CC BY) license (https://creativecommons.org/licenses/by/4.0/).
Share and Cite
Bourgeois, J.; Blasi, G.; Khandelwal, S.; Haack, G. Finite-Time Dynamics of an Entanglement Engine: Current, Fluctuations and Kinetic Uncertainty Relations. Entropy 2024, 26, 497. https://doi.org/10.3390/e26060497
Bourgeois J, Blasi G, Khandelwal S, Haack G. Finite-Time Dynamics of an Entanglement Engine: Current, Fluctuations and Kinetic Uncertainty Relations. Entropy. 2024; 26(6):497. https://doi.org/10.3390/e26060497
Chicago/Turabian StyleBourgeois, Jeanne, Gianmichele Blasi, Shishir Khandelwal, and Géraldine Haack. 2024. "Finite-Time Dynamics of an Entanglement Engine: Current, Fluctuations and Kinetic Uncertainty Relations" Entropy 26, no. 6: 497. https://doi.org/10.3390/e26060497
APA StyleBourgeois, J., Blasi, G., Khandelwal, S., & Haack, G. (2024). Finite-Time Dynamics of an Entanglement Engine: Current, Fluctuations and Kinetic Uncertainty Relations. Entropy, 26(6), 497. https://doi.org/10.3390/e26060497

