Intra-Beam Interference Mitigation for the Downlink Transmission of the RIS-Assisted Hybrid Millimeter Wave System
Abstract
1. Introduction
- We introduce a novel three-step non-iterative interference mitigation algorithm for designing analog-only beamformer coefficients at both the BS and the RIS, assuming perfect channel state information (CSI) at the BS. The proposed algorithm achieves comparable sum-rate performance to more computationally intensive optimization-based methods with fully digital architectures, as demonstrated in [9] within the low-to-medium signal-to-noise ratio (SNR) range, e.g., dB.
- We analyze the achievable sum-rate performance of the downlink transmission within the proposed framework, deriving closed-form approximation expressions for the same. Additionally, we establish a tight upper bound on the achievable sum-rate in scenarios with a large number of RIS elements. The energy efficiency of the system is assessed across different numbers of activated RIS elements using six-bit A/Ds at the BS and six-bit pulse-amplitude modulation (PAM) signals, as suggested in [15,24].
- Numerical simulations validate the efficacy of our proposed algorithm in mitigating intra-beam interference and highlight its superior energy efficiency in downlink transmissions compared to various benchmark schemes even with a relatively limited number of RIS elements.
2. System and Channel Model
2.1. Channel Model
2.2. Transmission Procedure
3. RIS-Assisted Intra-Beam Interference Mitigation
| Algorithm 1 Analog Beamforming Design for Intra-beam Interference Mitigation |
|
Details of Intra-Beam Interference Mitigation Algorithm
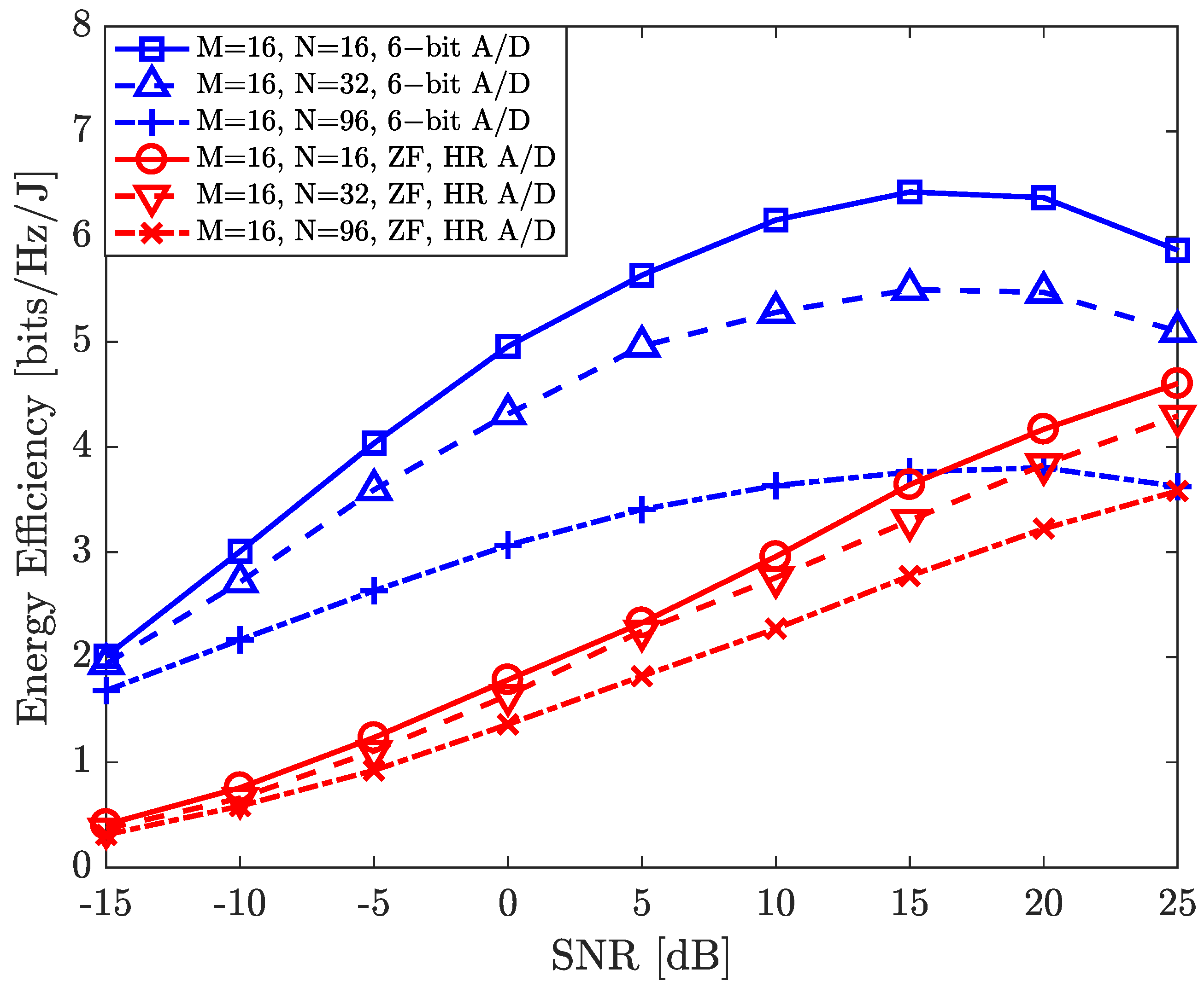
4. Energy Efficiency Performance Analysis
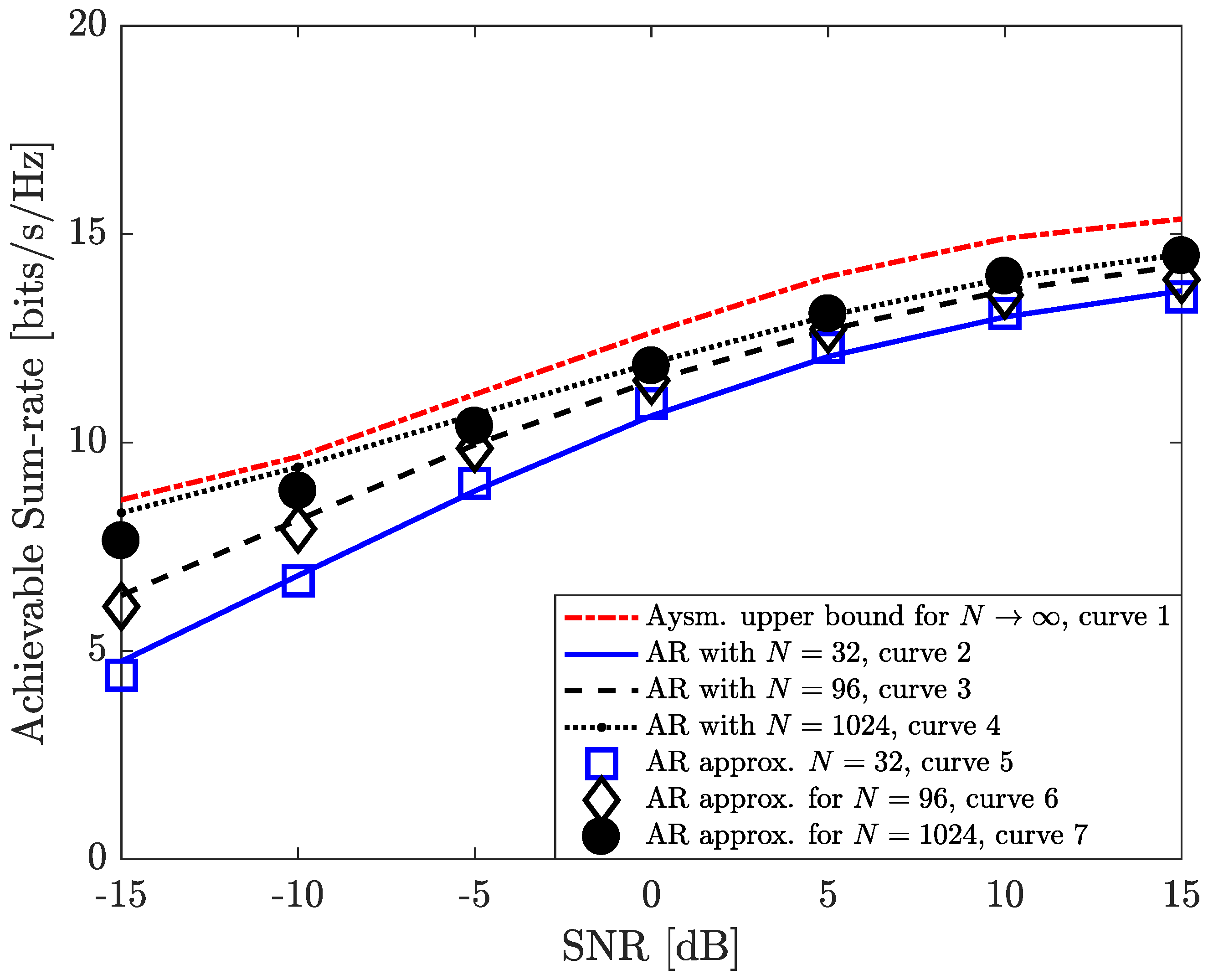
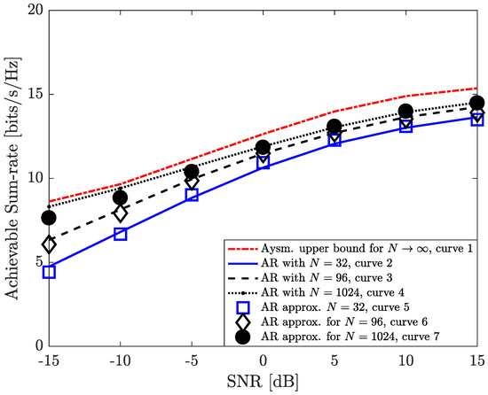
5. Simulation Results
6. Conclusions
Author Contributions
Funding
Institutional Review Board Statement
Data Availability Statement
Conflicts of Interest
Appendix A
References
- Wong, V.W.S.; Schober, R.; Ng, D.W.K.; Wang, L.C. Key Technologies for 5G Wireless Systems; Cambridge University Press: Cambridge, UK, 2017. [Google Scholar]
- Rappaport, T.S.; MacCartney, G.R.; Samimi, M.K.; Sun, S. Wideband millimeter-wave propagation measurements and channel models for future wireless communication system design. IEEE Trans. Commun. 2015, 63, 3029–3056. [Google Scholar] [CrossRef]
- Liu, C.; Li, M.; Hanly, S.V.; Whiting, P.; Collings, I.B. Millimeter-wave small cells: Base station discovery, beam alignment, and system design challenges. IEEE Wirel. Commun. 2018, 25, 40–46. [Google Scholar] [CrossRef]
- Andrews, J.; Buzzi, S.; Wan, C.; Hanly, S.; Soong, A.L.A.; Zhang, J. What will 5G be? IEEE J. Sel. Areas Commun. 2014, 32, 1065–1082. [Google Scholar] [CrossRef]
- Heath, R.W.; Prelcic, N.G.; Rangan, S.; Roh, W.; Sayeed, A.M. An overview of signal processing techniques for millimeter wave MIMO systems. IEEE J. Sel. Top. Signal Process. 2016, 10, 436–453. [Google Scholar] [CrossRef]
- Zhao, L.; Ng, D.W.K.; Yuan, J. Multi-user precoding and channel estimation for hybrid millimeter wave systems. IEEE J. Sel. Areas Commun. 2017, 35, 1576–1590. [Google Scholar] [CrossRef]
- Ouamri, M.A.; Oteşteanu, M.E.; Isar, A.; Azni, M. Coverage, handoff and cost optimization for 5G heterogeneous network. Phys. Commun. 2020, 39, 101037. [Google Scholar] [CrossRef]
- Wu, Q.; Zhang, R. Towards smart and reconfigurable environment: Intelligent reflecting surface aided wireless network. IEEE Commun. Mag. 2020, 58, 106–112. [Google Scholar] [CrossRef]
- Guo, H.; Liang, Y.C.; Chen, J.; Larsson, E.G. Weighted sum-rate maximization for reconfigurable intelligent surface aided wireless networks. IEEE Trans. Wirel. Commun. 2020, 19, 3064–3076. [Google Scholar] [CrossRef]
- Wu, Q.; Zhang, R. Intelligent reflecting surface enhanced wireless network via joint active and passive beamforming. IEEE Trans. Wirel. Commun. 2019, 18, 5394–5409. [Google Scholar] [CrossRef]
- Adam, A.B.M.; Ouamri, M.A.; Muthanna, M.S.A.; Li, X.; Elhassan, M.A.M.; Muthanna, A. Real-time and security-aware precoding in RIS-empowered multi-user wireless networks. arXiv 2023, arXiv:2401.00192. [Google Scholar]
- Ye, J.; Kammoun, A.; Alouini, M.S. Reconfigurable intelligent surface enabled interference nulling and signal power maximization in mmWave bands. IEEE Trans. Wirel. Commun. 2022, 21, 9096–9113. [Google Scholar] [CrossRef]
- Saeidi, M.A.; Emadi, M.J.; Masoumi, H.; Mili, M.R.; Ng, D.W.K.; Krikidis, I. Weighted sum-rate maximization for multi-IRS-assisted full-duplex systems with hardware impairments. IEEE Trans. Cogn. Commun. Netw. 2021, 7, 466–481. [Google Scholar] [CrossRef]
- Alkhateeb, A.; Leus, G.; Heath, R.W. Limited feedback hybrid precoding for multi-user millimeter wave systems. IEEE Trans. Wirel. Commun. 2015, 14, 6481–6494. [Google Scholar] [CrossRef]
- Zhao, L.; Li, M.; Liu, C.; Hanly, S.V.; Collings, I.B.; Whiting, P.A. Energy efficient hybrid beamforming for multi-user millimeter wave communication with low-resolution A/D at transceivers. IEEE J. Sel. Areas Commun. 2020, 38, 2142–2155. [Google Scholar] [CrossRef]
- Pradhan, C.; Li, A.; Song, L.; Vucetic, B.; Li, Y. Hybrid precoding design for reconfigurable intelligent surface aided mmWave communication systems. IEEE Wirel. Commun. Lett. 2020, 9, 1041–1045. [Google Scholar] [CrossRef]
- Zhang, W.; Xu, J.; Xu, W.; Ng, D.W.K.; Sun, H. Cascaded channel estimation for IRS-assisted mmWave multi-antenna with quantized beamforming. IEEE Commun. Lett. 2021, 25, 593–597. [Google Scholar] [CrossRef]
- Xiu, Y.; Zhao, J.; Basar, E.; Renzo, M.D.; Sun, W.; Gui, G.; Wei, N. Uplink achievable rate maximization for reconfigurable intelligent surface aided millimeter wave systems with resolution-adaptive ADCs. IEEE Wirel. Commun. Lett. 2021, 10, 1608–1612. [Google Scholar] [CrossRef]
- Dai, J.; Wang, Y.; Pan, C.; Zhi, K.; Ren, H.; Wang, K. Reconfigurable intelligent surface aided massive MIMO systems with low-resolution DACs. IEEE Commun. Lett. 2021, 25, 3124–3128. [Google Scholar] [CrossRef]
- Zhi, K.; Pan, C.; Ren, H.; Wang, K. Uplink achievable rate of intelligent reflecting surface-aided millimeter-wave communications with low-resolution ADC and phase noise. IEEE Wirel. Commun. Lett. 2020, 10, 654–658. [Google Scholar] [CrossRef]
- Zhou, S.; Xu, W.; Wang, K.; Renzo, M.D.; Alouini, M.S. Spectral and energy efficiency of IRS-assisted MISO communication with hardware impairments. IEEE Wirel. Commun. Lett. 2020, 9, 1366–1369. [Google Scholar] [CrossRef]
- Pan, C.; Zhou, G.; Zhi, K.; Hong, S.; Wu, T.; Pan, Y.; Ren, H.; Renzo, M.D.; Swindlehurst, A.L.; Zhang, R.; et al. An overview of signal processing techniques for RIS/IRS-aided wireless systems. IEEE J. Sel. Top. Signal Process. 2022, 16, 883–917. [Google Scholar] [CrossRef]
- Zhong, K.; Hu, J.; Pan, C.; An, D. RIS-Aided Multiple User Interference Mitigation via Fast Successive Upper-Bound Minimization Method. IEEE Commun. Lett. 2022, 26, 1853–1857. [Google Scholar] [CrossRef]
- Mo, J.; Alkhateeb, A.; Abu-Surra, S.; Heath, R.W. Hybrid architectures with few-bit ADC receivers: Achievable rates and energy-rate tradeoffs. IEEE Trans. Wirel. Commun. 2017, 16, 2274–2287. [Google Scholar] [CrossRef]
- Zhang, J.A.; Liu, F.; Masouros, C.; Heath, R.W.; Feng, Z.; Zheng, L.; Petropulu, A. An overview of signal processing techniques for joint communication and radar sensing. IEEE J. Sel. Top. Signal Process. 2021, 15, 1295–1315. [Google Scholar] [CrossRef]
- Mo, J.; Heath, R.W. Limited feedback in single and multi-user MIMO systems with finite-bit ADCs. IEEE Trans. Wirel. Commun. 2018, 17, 3284–3297. [Google Scholar] [CrossRef]
- Rial, R.M.; Rusu, C.; Prelcic, N.G.; Alkhateeb, A.; Heath, R.W. Hybrid MIMO architectures for millimeter wave communications: Phase shifters or switches? IEEE Access 2016, 4, 247–267. [Google Scholar] [CrossRef]
- Zhang, J.; Dai, L.; Sun, S.; Wang, Z. On the spectral efficiency of massive MIMO systems with low-resolution ADCs. IEEE Commun. Lett. 2016, 20, 842–845. [Google Scholar] [CrossRef]




| References | mmWave Frequency | Architecture | RIS-Assisted | Interference Mitigation/Rate Maximization | System Complexity | Low-Resolution A/Ds | Energy Efficiency |
|---|---|---|---|---|---|---|---|
| Work [9] | ✓ | ✓ | |||||
| Work [12] | ✓ | ✓ | ✓ | ||||
| Work [13] | and | ✓ | ✓ | ||||
| Work [16] | ✓ | ✓ | |||||
| Work [20] | ✓ | ✓ | ✓ | ||||
| Work [18] | ✓ | ✓ | ✓ | ✓ | |||
| Work [19] | ✓ | ✓ | ✓ | ||||
| Work [21] | ✓ | ||||||
| Work [23] | ✓ | ✓ | |||||
| Proposed algorithm | ✓ | ✓ | ✓ | ✓ |
Disclaimer/Publisher’s Note: The statements, opinions and data contained in all publications are solely those of the individual author(s) and contributor(s) and not of MDPI and/or the editor(s). MDPI and/or the editor(s) disclaim responsibility for any injury to people or property resulting from any ideas, methods, instructions or products referred to in the content. |
© 2024 by the authors. Licensee MDPI, Basel, Switzerland. This article is an open access article distributed under the terms and conditions of the Creative Commons Attribution (CC BY) license (https://creativecommons.org/licenses/by/4.0/).
Share and Cite
Zhao, L.; Zhang, Y.; Zhang, M.; Liu, C. Intra-Beam Interference Mitigation for the Downlink Transmission of the RIS-Assisted Hybrid Millimeter Wave System. Entropy 2024, 26, 253. https://doi.org/10.3390/e26030253
Zhao L, Zhang Y, Zhang M, Liu C. Intra-Beam Interference Mitigation for the Downlink Transmission of the RIS-Assisted Hybrid Millimeter Wave System. Entropy. 2024; 26(3):253. https://doi.org/10.3390/e26030253
Chicago/Turabian StyleZhao, Lou, Yuliang Zhang, Minjie Zhang, and Chunshan Liu. 2024. "Intra-Beam Interference Mitigation for the Downlink Transmission of the RIS-Assisted Hybrid Millimeter Wave System" Entropy 26, no. 3: 253. https://doi.org/10.3390/e26030253
APA StyleZhao, L., Zhang, Y., Zhang, M., & Liu, C. (2024). Intra-Beam Interference Mitigation for the Downlink Transmission of the RIS-Assisted Hybrid Millimeter Wave System. Entropy, 26(3), 253. https://doi.org/10.3390/e26030253

