Analogies and Relations between Non-Additive Entropy Formulas and Gintropy
Abstract
1. Motivation
2. About Gintropy
3. Entropy from Gintropy
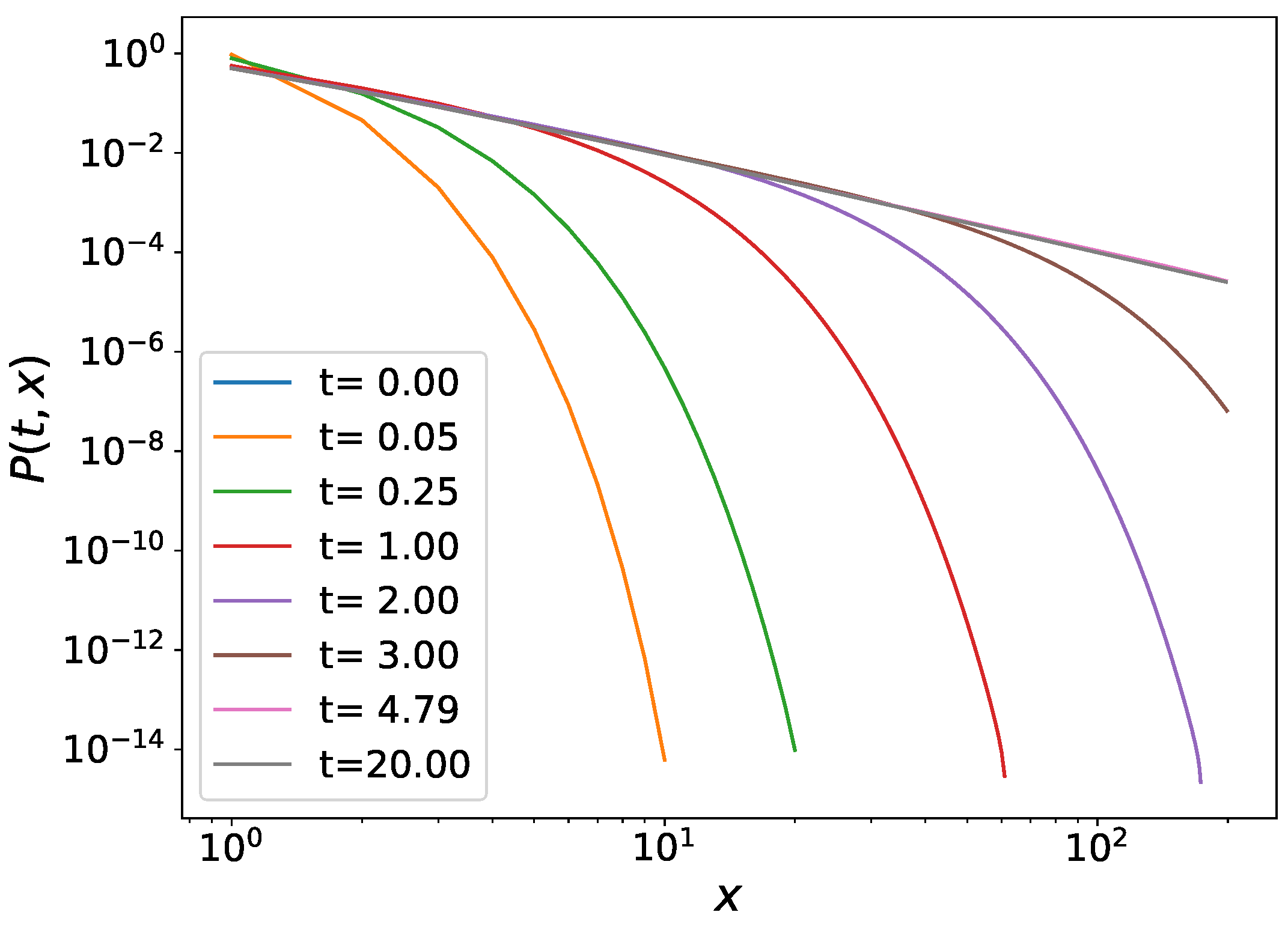
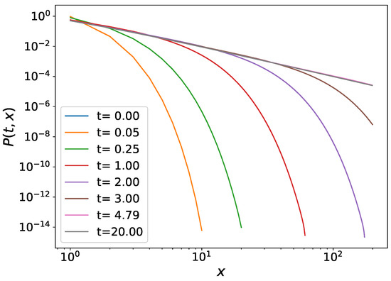
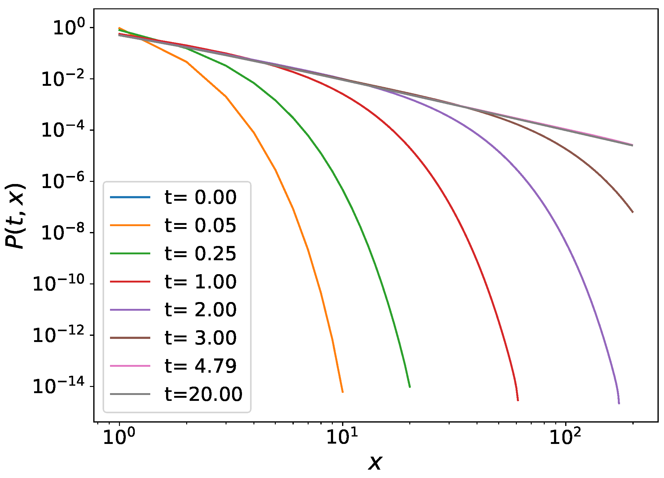
4. Dynamics of the Gini Index
5. Summary
Author Contributions
Funding
Institutional Review Board Statement
Data Availability Statement
Acknowledgments
Conflicts of Interest
References
- Tsallis, C. Possible generalization of Boltzmann–Gibbs statistics. J. Stat. Phys. 1988, 52, 479. [Google Scholar] [CrossRef]
- Tsallis, C. Introduction to Nonextensive Statistical Mechanics–Approaching a Complex World; Springer Science+Business Media, LLC.: New York, NY, USA, 2009. [Google Scholar]
- Tsallis, C. Nonadditive entropy: The concept and its use. EPJ A 2009, 40, 257. [Google Scholar] [CrossRef]
- Tsekouras, G.A.; Tsallis, C. Generalized entropy arising from a distribution of q indices. Phys. Rev. E 2005, 71, 046144. [Google Scholar] [CrossRef] [PubMed]
- Tsallis, C.; Gell-Mann, M.; Sato, Y. Asymptotically scale-invariant occupancy of phase space makes the entropy Sq extensive. Proc. Nat. Acad. Sci. USA 2005, 102, 15377. [Google Scholar] [CrossRef] [PubMed]
- Abe, S. Axioms and uniqueness theorem for Tsallis entropy. Phys. Lett. A 2000, 271, 74. [Google Scholar] [CrossRef]
- Abe, S.; Rajagopal, A.K. Revisiting Disorder and Tsallis Statistics. Science 2003, 300, 249. [Google Scholar] [CrossRef]
- Rényi, A. On the measures of information and entropy. In Proceedings of the Fourth Berkeley Symposium on Mathematical Statistics and Probability, Berkeley, CA, USA, 20 June–30 July 1961; pp. 547–561. [Google Scholar]
- Shannon, C.E. The Mathematical Theory of Communication; University of Illinois Press: Urbana, IL, USA, 1949. [Google Scholar]
- Zapirov, R.G. Novie Meri i Metodi v Teorii Informacii; Kazan State Technological University: Kazan, Russia, 2005. [Google Scholar]
- Havrda, J.; Charvát, F. Quantification method of classification processes. Concept of structural α-entropy. Kyberbetika 1967, 3, 30. [Google Scholar]
- Nielsen, F.; Nock, R. A closed-form expression for the Sharma–Mittal entropy of exponential families. J. Phys. A 2012, 45, 032003. [Google Scholar] [CrossRef]
- Biro, T.S.; Purcsel, G. Nonextensive Boltzmann Equation and Hadronization. Phys. Rev. Lett. 2005, 95, 162302. [Google Scholar] [CrossRef]
- Thurner, S.; Hanel, R.; Corominus-Murna, B. The three faces of entropy for complex sytems-information, thermodynamics and maxent principle. Phys. Rev. E 2017, 96, 032124. [Google Scholar] [CrossRef]
- Pham, T.M.; Kondor, I.; Hanel, R.; Thurner, S. The effect of social balance on social fragmentation. J. R. Soc. Interface 2020, 17, 20200752. [Google Scholar] [CrossRef]
- Beck, C.; Cohen, E.D.G. Superstatistics. Physica A 2003, 322, 267–275. [Google Scholar] [CrossRef]
- Wilk, G.; Wlodarczyk, Z. Power law tails in elementary and heavy ion collisions—A story of fluctuations and nonextensivity? EPJ A 2009, 40, 299–312. [Google Scholar] [CrossRef]
- Wilk, G.; Wlodarczyk, Z. Consequences of temperature fluctuations in observacbles measured in high-energy collisions. EPJ A 2012, 48, 161. [Google Scholar] [CrossRef]
- Deppman, A. Systematic analysis of pT-distributions in p+p collisions. EPJ A 2013, 49, 17. [Google Scholar]
- Deppman, A.; Megias, E.; Menezes, D.P. Fractal Structures of Yang-Mills Fields and Non-Extensive Statistics: Applications to High Energy Physics. Physics 2020, 2, 455–480. [Google Scholar] [CrossRef]
- Tawfik, A.N. Axiomatic nonextensive statistics at NICA energeies. EPJ A 2016, 52, 253. [Google Scholar] [CrossRef]
- Pareto, V. Manual of Political Economy: A Critical and Variorum Edition; Number 9780199607952; Montesano, A., Zanni, A., Bruni, L., Chipman, J.S., McLure, M., Eds.; Oxford University Press: Oxford, UK, 2014; 664p, Available online: https://ideas.repec.org/b/oxp/obooks/9780199607952.html (accessed on 1 January 2024).
- Lomax, K.S. Business failures. Another example of the analysis of failure data. J. Am. Stat. Assoc. 1954, 49, 847. [Google Scholar] [CrossRef]
- Newman, M.E.J. Power laws, Pareto distributions and Zipf’s law. Contemp. Phys. 2005, 46, 323. [Google Scholar] [CrossRef]
- Rootzén, H.; Tajvidi, N. Multivariate generalized Pareto distributions. Bernoulli 2006, 12, 917. [Google Scholar] [CrossRef]
- Gini, C. Variabilita et Mutuabilita. Contributo allo Studio delle Distribuzioni e delle Relazioni Statistiche; C. Cuppini: Bologna, Italy, 1912. [Google Scholar]
- Gini, C. On the Measure of Concentration with Special Reference to Income and Statistics; General Series No 208; Colorado College Publication: Denver, CO, USA, 1936; Volume 37. [Google Scholar]
- Dorfman, R. A Formula for the Gini Coefficient. Rev. Econ. Stat. 1979, 61, 146. [Google Scholar] [CrossRef]
- Biró, T.S.; Néda, Z. Gintropy: A Gini Index Based Generalization of Entropy. Entropy 2020, 22, 879. [Google Scholar] [CrossRef] [PubMed]
- Biró, T.S.; Telcs, A.; Józsa, M.; Néda, Z. Gintropic scaling of scientometric indexes. Physica A 2023, 618, 128717. [Google Scholar] [CrossRef]
- Lorenz, M.O. Methods of measuring the concentration of wealth. Publ. Am. Stat. Assoc. 1905, 9, 209. [Google Scholar]
- Biró, T.S.; Néda, Z.; Telcs, A. Entropic Divergence and Entropy Related to Nonlinear Master Equations. Entropy 2019, 21, 993. [Google Scholar] [CrossRef]
- Biró, T.S.; Néda, Z. Unidirectional random growth with resetting. Physica A 2018, 449, 335. [Google Scholar] [CrossRef]
- Biró, T.S.; Néda, Z. Thermodynamical Aspects of the LGGR Approach for Hadron Energy Spectra. Symmetry 2022, 14, 1807. [Google Scholar] [CrossRef]
- Irwin, J.O. The Generalized Waring Distribution Applied to Accident Theory. J. R. Stat. Soc. A 1968, 131, 205–225. [Google Scholar] [CrossRef]
- Thurner, S.; Kyriakopoulos, F.; Tsallis, C. Unified model for network dynamics exhibiting nonextensive statistics. Phys. Rev. E 2007, 76, 036111. [Google Scholar] [CrossRef]
- Krapivsky, P.L.; Redner, S.; Leyvraz, F. Connectivity of Growing Random Networks. Phys. Rev. Lett. 2000, 85, 4629–4632. [Google Scholar] [CrossRef]
- Krapivsky, P.L.; Rodgers, G.J.; Redner, S. Degree Distributions of Growing Networks. Phys. Rev. Lett. 2001, 86, 5401–5404. [Google Scholar] [CrossRef]
- Biró, T.S.; Csillag, L.; Néda, Z. Transient dynamics in the random growth and reset model. Entropy 2021, 23, 306. [Google Scholar] [CrossRef]


Disclaimer/Publisher’s Note: The statements, opinions and data contained in all publications are solely those of the individual author(s) and contributor(s) and not of MDPI and/or the editor(s). MDPI and/or the editor(s) disclaim responsibility for any injury to people or property resulting from any ideas, methods, instructions or products referred to in the content. |
© 2024 by the authors. Licensee MDPI, Basel, Switzerland. This article is an open access article distributed under the terms and conditions of the Creative Commons Attribution (CC BY) license (https://creativecommons.org/licenses/by/4.0/).
Share and Cite
Biró, T.S.; Telcs, A.; Jakovác, A. Analogies and Relations between Non-Additive Entropy Formulas and Gintropy. Entropy 2024, 26, 185. https://doi.org/10.3390/e26030185
Biró TS, Telcs A, Jakovác A. Analogies and Relations between Non-Additive Entropy Formulas and Gintropy. Entropy. 2024; 26(3):185. https://doi.org/10.3390/e26030185
Chicago/Turabian StyleBiró, Tamás S., András Telcs, and Antal Jakovác. 2024. "Analogies and Relations between Non-Additive Entropy Formulas and Gintropy" Entropy 26, no. 3: 185. https://doi.org/10.3390/e26030185
APA StyleBiró, T. S., Telcs, A., & Jakovác, A. (2024). Analogies and Relations between Non-Additive Entropy Formulas and Gintropy. Entropy, 26(3), 185. https://doi.org/10.3390/e26030185

