Formation and Flocking Control Algorithms for Robot Networks with Double Integrator Dynamics and Time-Varying Formations
Abstract
1. Introduction
2. Preliminaries
2.1. Problem Statement
- Formation.
- The time-varying formation problem consists of steering all the robots of the team to a certain position to form a desired time-varying geometric shape or pattern while the velocity of each robot converges to the rate of change of the formation. The formation control objective can be defined aswhere is the error of position between the agent i and its neighbor denoted by j. describes the geometry of the formation and , are time-varying offset vectors that are at least twice differentiable.
- Flocking.
- In this collective behavior, all the robots follow a common reference velocity while maintaining a desired formation; thus, the flocking control objective is to achievewhere is the desired velocity for the team.
2.2. Graph Theory
3. Formation and Flocking Controllers
- (i)
- time-varying formation if ;
- (ii)
- flocking behavior in the sense of (3).
4. Time-Varying Formation and Flocking Controllers without Velocity Measurements
- (i)
- time-varying formation if ;
- (ii)
- flocking as defined in (3);
- (iii)
- as .
5. Flocking Control with Partial Information
6. Numerical Results
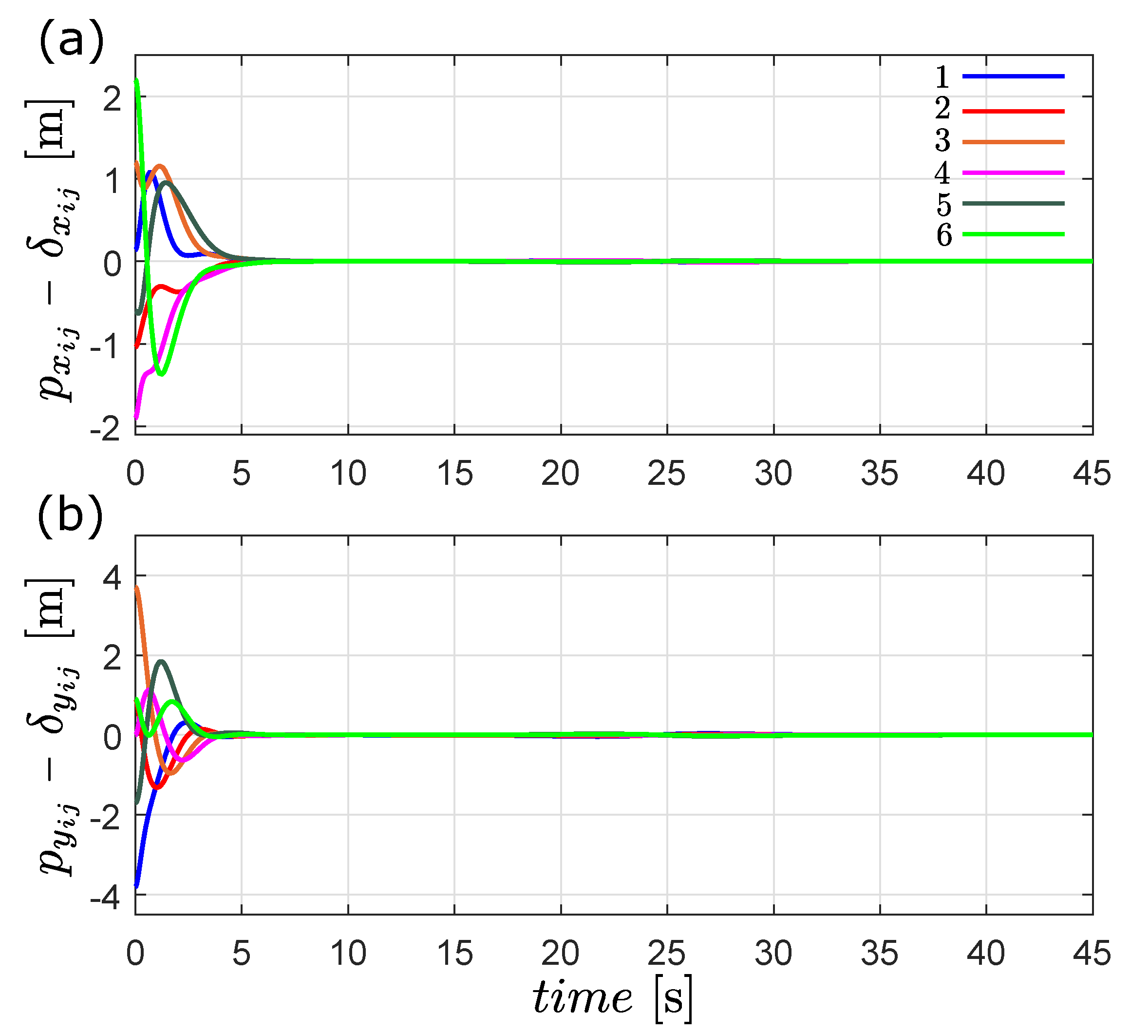
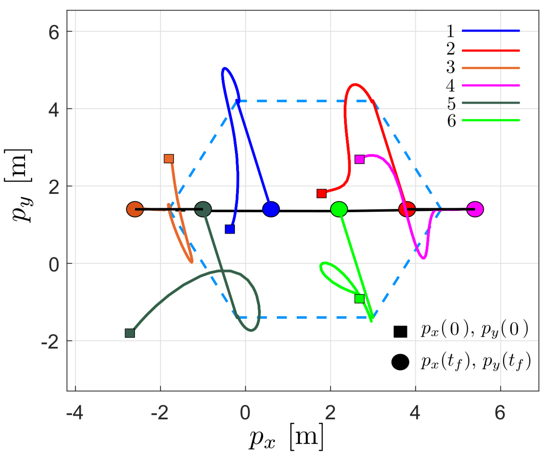
6.1. Time-Varying Formation Control
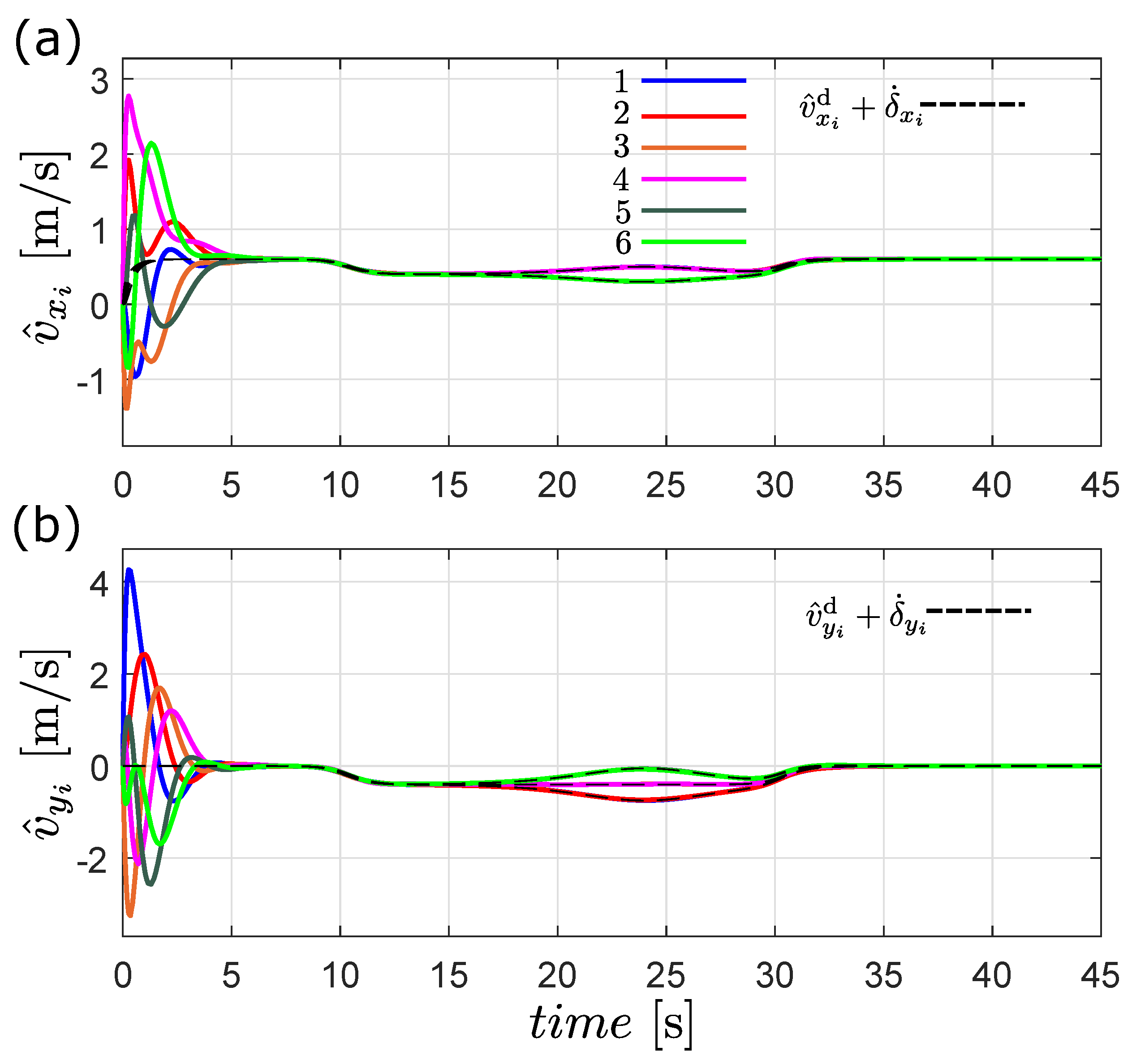
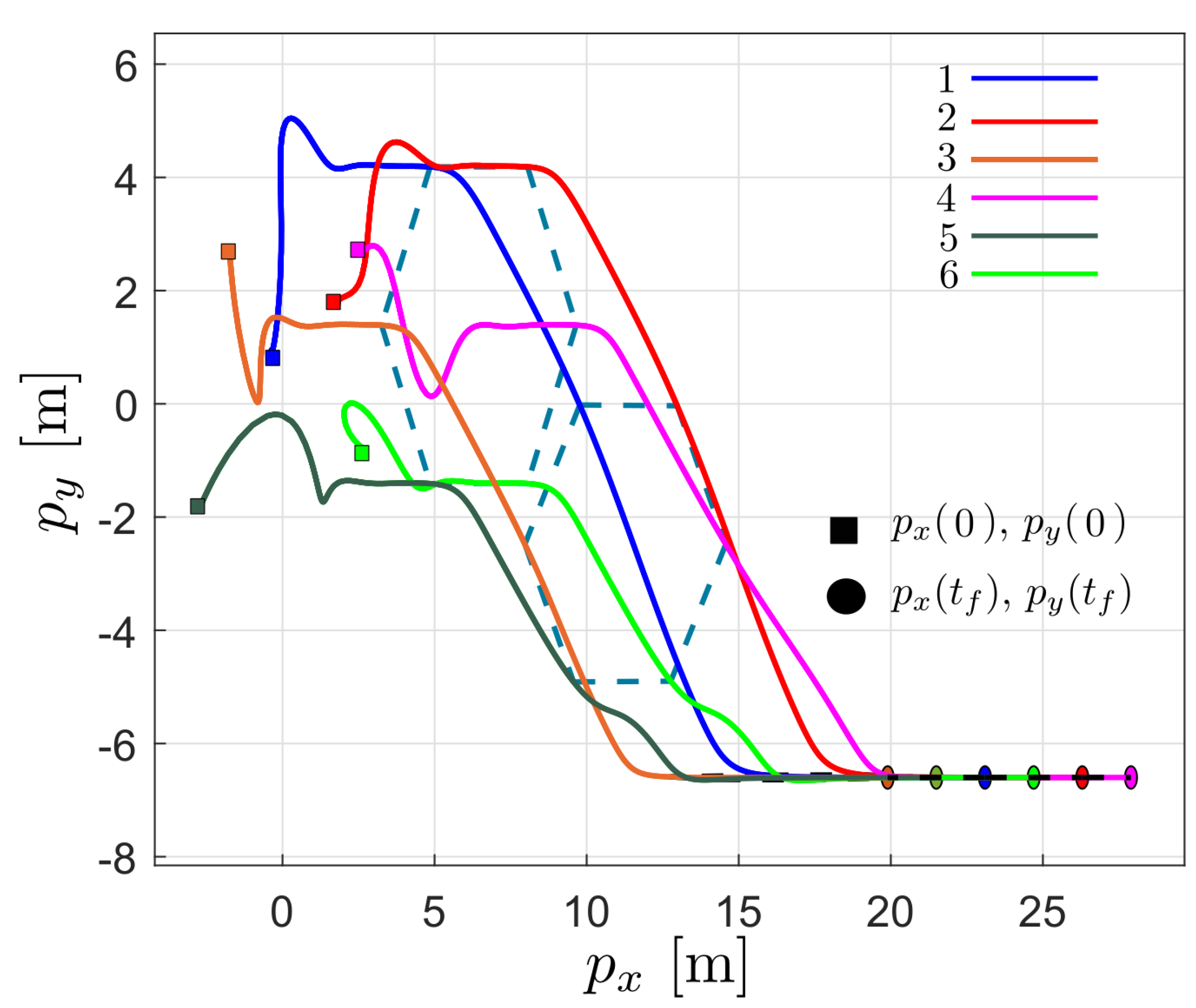
6.2. Flocking Control
7. Conclusions
Author Contributions
Funding
Acknowledgments
Conflicts of Interest
References
- Oha, K.K.; Park, M.C.; Ahn, H.S. A survey of multi-agent formation control. Automatica 2015, 53, 424–440. [Google Scholar] [CrossRef]
- Wu, Z.; Sun, J.; Wang, X. Distance-based formation tracking control of multi-agent systems with double-integrator dynamics. Chin. Phys. B 2018, 27, 060202. [Google Scholar] [CrossRef]
- Zhi, H.; Chen, L.; Li, C.; Guo, Y. Leader-follower affine formation control of second-order nonlinear uncertain multi-agent systems. IEEE Trans. Circuits Syst. II Express Briefs 2021, 68, 3547–3551. [Google Scholar] [CrossRef]
- Wang, M.; Zhang, T. Leader-following formation control of second-order nonlinear systems with time-varying communication delay. Int. J. Control. Autom. Syst. 2021, 19, 1729–1739. [Google Scholar] [CrossRef]
- Lippay, Z.S.; Hoagg, J.B. Formation control with time-varying formations, bounded controls, and local collision avoidance. IEEE Trans. Control. Syst. Technol. 2021, 30, 261–276. [Google Scholar] [CrossRef]
- Zhao, S.; Zelazo, D. Translational and scaling formation maneuver control via a bearing-based approach. IEEE Trans. Control. Netw. Syst. 2017, 4, 429–438. [Google Scholar] [CrossRef]
- Hu, J.; Bhowmick, P.; Lanzon, A. Distributed adaptive time-varying group formation tracking for multiagent systems with multiple leaders on directed graphs. IEEE Trans. Control. Netw. Syst. 2019, 7, 140–150. [Google Scholar] [CrossRef]
- Dong, X.; Li, Q.; Wang, R.; Ren, Z. Time-varying formation control for second-order swarm systems with switching directed topologies. Inf. Sci. 2016, 369, 1–13. [Google Scholar] [CrossRef]
- Hua, Y.; Dong, X.; Li, Q.; Ren, Z. Distributed fault-tolerant time-varying formation control for second-order multi-agent systems with actuator failures and directed topologies. IEEE Trans. Circuits Syst. II Express Briefs 2018, 65, 774–778. [Google Scholar] [CrossRef]
- Xu, Y.; Zhao, S.; Luo, D.; You, Y. Affine formation maneuver control of linear multi-agent systems with undirected interaction graphs with undirected interaction graphs. In Proceedings of the IEEE Conference on Decision and Control (CDC), Miami, FL, USA, 17–19 December 2018; pp. 502–507. [Google Scholar]
- Tanner, H.G. Flocking with obstacle avoidance in switching networks of interconnected vehicles. In Proceedings of the IEEE International Conference on Robotics and Automation, New Orleans, LA, USA, 26 April–1 May 2004. [Google Scholar]
- Olfati-Saber, R. Flocking for multi-agent dynamic systems: Algorithms and theory. IEEE Trans. Autom. Control 2006, 51, 401–420. [Google Scholar] [CrossRef]
- Liu, B.; Yu, H. Flocking in multi-agent systems with a bounded control input. In Proceedings of the International Workshop on Chaos-Fractals Theories and Applications, Shenyang, China, 6–8 November 2009. [Google Scholar]
- Su, H.; Wang, X.; Lin, Z. Flocking of multi-agents with a virtual leader. IEEE Trans. Autom. Control 2009, 54, 293–307. [Google Scholar] [CrossRef]
- Yazdani, S.; Su, H. A ully distributed protocol for flocking of time-varying linear systems with dynamic leader and external disturbance. IEEE Trans. Syst. Man Cybern. Syst. 2022, 52, 1234–1242. [Google Scholar] [CrossRef]
- Wu, S.; Pu, Z.; Yi, J.; Sun, J.; Xiong, T.; Qiu, T. Adaptive flocking of multi-agent systems with uncertain nonlinear dynamics and unknown disturbances using neural networks. In Proceedings of the 16th IEEE International Conference on Automation Science and Engineering (CASE), Hong Kong, China, 20–21 August 2020. [Google Scholar]
- Qing, Z.; Xiaohao, X.; Zhengquan, Y.; Zengqiang, C. Distance constrained flocking of multi-agents with time delay. In Proceedings of the 32nd Chinese Control Conference, Xi’an, China, 26–28 July 2013. [Google Scholar]
- Wang, J.; Xin, M. Flocking of multi-agent systems using a unified optimal control approach. J. Dyn. Syst. Meas. Control 2013, 135, 061005. [Google Scholar] [CrossRef]
- Dong, Y.; Chen, J.; Huang, J. Flocking with connectivity preservation of multiple double-integrator systems subject to external disturbances. In Proceedings of the IEEE Conference on Control Applications (CCA), Antibes, France, 8–10 October 2014. [Google Scholar]
- Wellman, B.J.; Hoagg, J.B. A discrete-time flocking algorithm for agents with sampled-data double-integrator dynamics. In Proceedings of the American Control Conference (ACC), Seattle, WA, USA, 24–26 May 2017. [Google Scholar]
- Luo, X.; Li, X.; Li, X.; Guan, X. Distributed velocity observer based formation control for multi-agent systems. In Proceedings of the 33rd Chinese Control Conference, Nanjing, China, 28–30 July 2014; pp. 1746–1750. [Google Scholar]
- Keer, Z. Observer-based formation control of heterogeneous multi-agent systems without velocity measurements. In Proceedings of the 32nd Youth Academic Annual Conference of Chinese Association of Automation (YAC), Hefei, China, 19–21 May 2017; pp. 669–674. [Google Scholar]
- Chai, X.; Liu, J.; Yu, Y.; Sun, C. Observer-based self-triggered control for time-varying formation of multi-agent systems. Sci. China Inf. Sci. 2021, 24, 132205. [Google Scholar] [CrossRef]
- Fax, J.A.; Murray, R.M. Information flow and cooperative control of vehicle formations. IEEE Trans. Autom. Control 2004, 49, 1465–1476. [Google Scholar] [CrossRef]
- Olfati-Saber, R.; Fax, J.A.; Murray, R.M. Consensus and cooperation in networked multi-agent systems. Proc. IEEE 2007, 95, 215–233. [Google Scholar] [CrossRef]
- Nuño, E.; Ortega, R.; Basañez, L.; Hill, D. Synchronization of Networks of Nonidentical Euler-Lagrange Systems With Uncertain Parameters and Communication Delays. IEEE Trans. Autom. Control 2011, 56, 935–941. [Google Scholar] [CrossRef]
- Ren, W.; Beard, R.W.; Atkins, E.M. Information consensus in multivehicle cooperative control. IEEE Control Syst. Mag. 2007, 27, 71–82. [Google Scholar]
- Scardovi, L.; Arcak, M.; Sontang, E. Synchronization of Interconnected Systems With Applications to Biochemical Networks: An Input-Output Approach. IEEE Trans. Autom. Control 2010, 55, 1367–1379. [Google Scholar] [CrossRef]
- Hong, Y.; Hu, J.; Gao, L. Tracking control for multi-agent consensus with an active leader and variable topology. Automatica 2006, 42, 1177–1182. [Google Scholar] [CrossRef]
- Hale, J.K. Ordinary Diferential Equations; Wiley: New York, NY, USA, 1969. [Google Scholar]










Disclaimer/Publisher’s Note: The statements, opinions and data contained in all publications are solely those of the individual author(s) and contributor(s) and not of MDPI and/or the editor(s). MDPI and/or the editor(s) disclaim responsibility for any injury to people or property resulting from any ideas, methods, instructions or products referred to in the content. |
© 2023 by the authors. Licensee MDPI, Basel, Switzerland. This article is an open access article distributed under the terms and conditions of the Creative Commons Attribution (CC BY) license (https://creativecommons.org/licenses/by/4.0/).
Share and Cite
Montañez-Molina, C.; Pliego-Jiménez, J.; Martínez-Clark, R. Formation and Flocking Control Algorithms for Robot Networks with Double Integrator Dynamics and Time-Varying Formations. Entropy 2023, 25, 834. https://doi.org/10.3390/e25060834
Montañez-Molina C, Pliego-Jiménez J, Martínez-Clark R. Formation and Flocking Control Algorithms for Robot Networks with Double Integrator Dynamics and Time-Varying Formations. Entropy. 2023; 25(6):834. https://doi.org/10.3390/e25060834
Chicago/Turabian StyleMontañez-Molina, Carlos, Javier Pliego-Jiménez, and Rigoberto Martínez-Clark. 2023. "Formation and Flocking Control Algorithms for Robot Networks with Double Integrator Dynamics and Time-Varying Formations" Entropy 25, no. 6: 834. https://doi.org/10.3390/e25060834
APA StyleMontañez-Molina, C., Pliego-Jiménez, J., & Martínez-Clark, R. (2023). Formation and Flocking Control Algorithms for Robot Networks with Double Integrator Dynamics and Time-Varying Formations. Entropy, 25(6), 834. https://doi.org/10.3390/e25060834

