Anomalous Diffusion of Polyelectrolyte Segments on Supported Charged Lipid Bilayers
Abstract
1. Introduction
2. Simulation Model and Method
2.1. Lipid Model
2.2. Lipid Bilayers with Supports
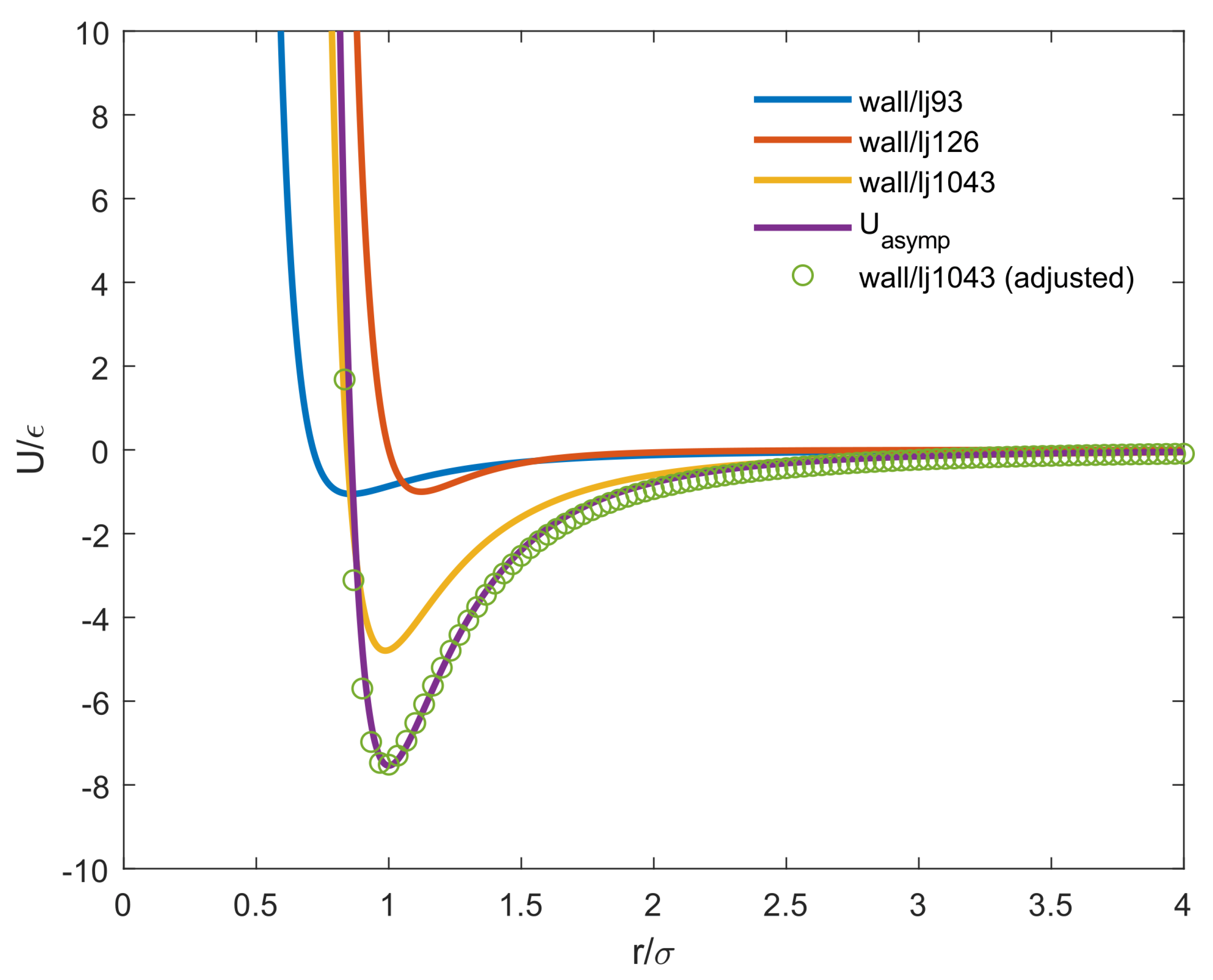
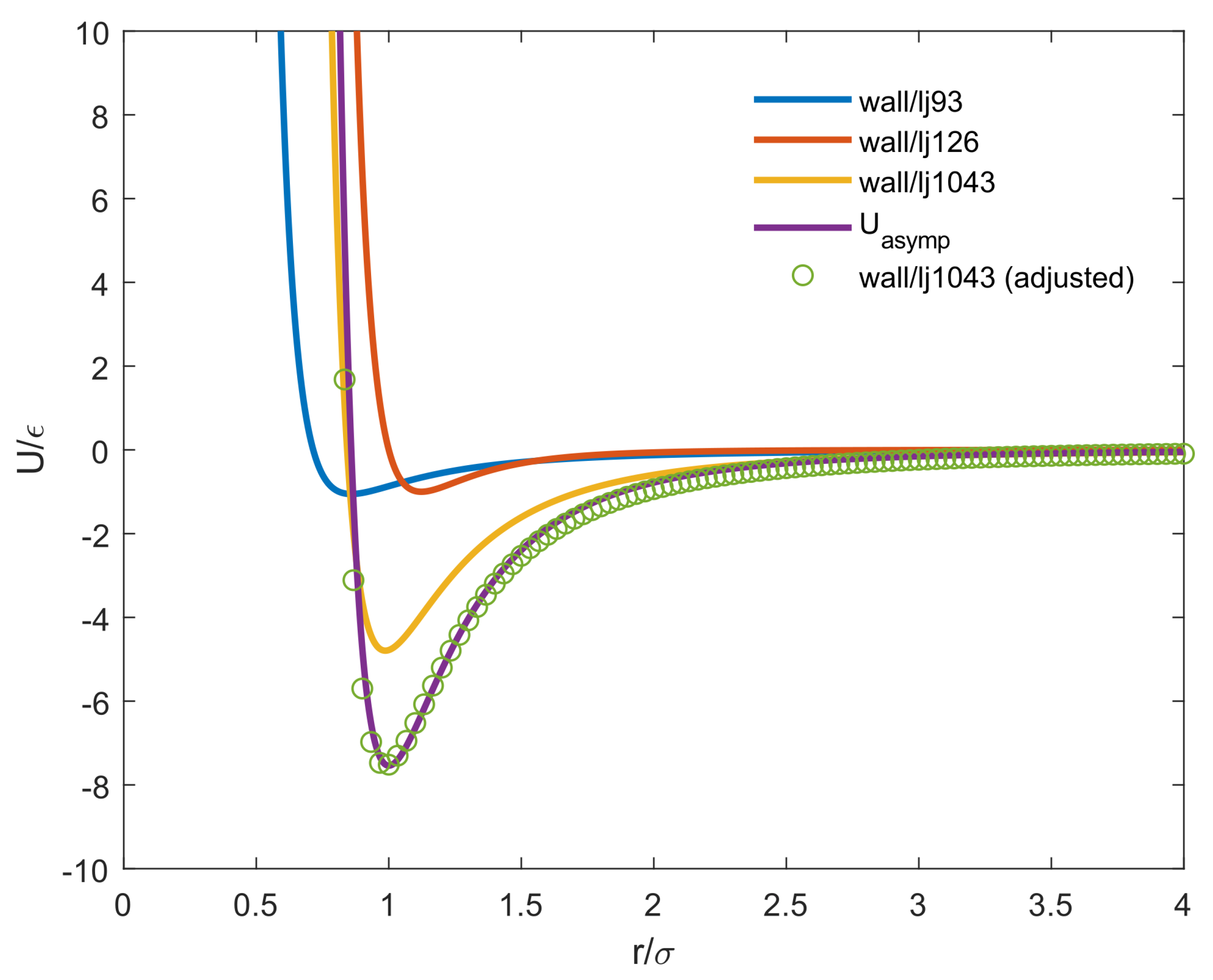
2.3. DNA Models
2.4. Simulation Method
3. Results and Discussion
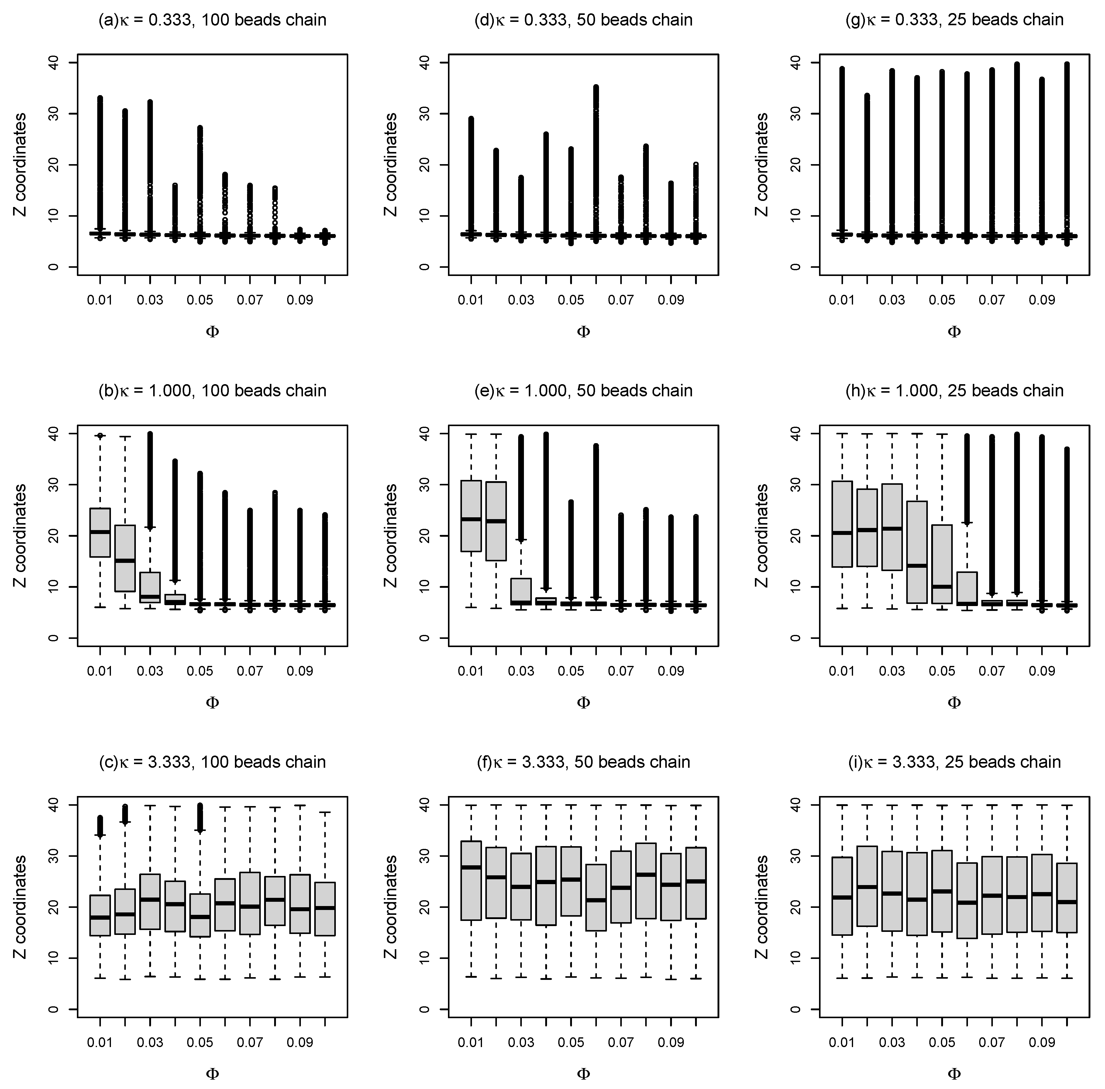
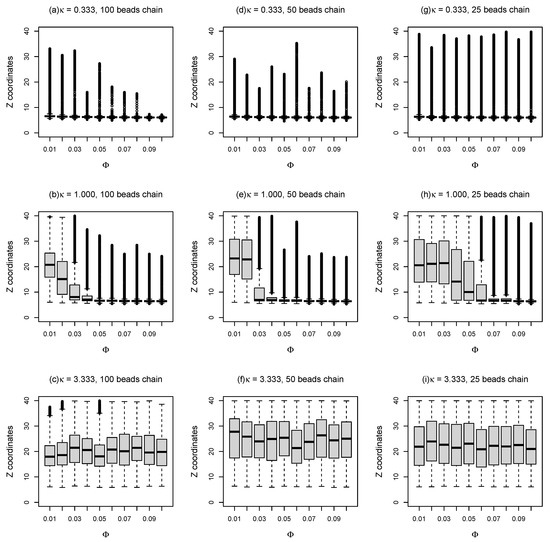
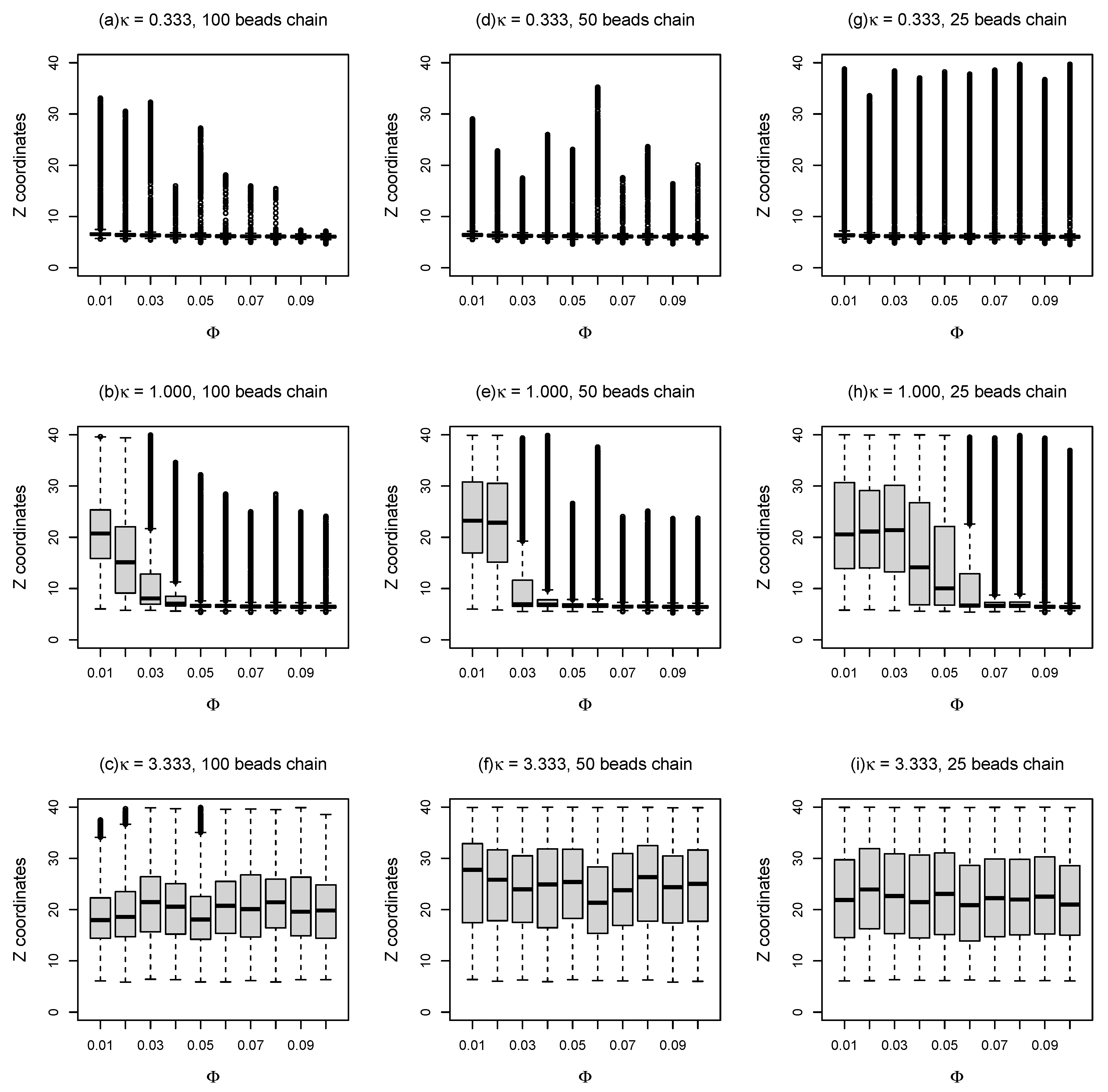
3.1. Simulations of Charged Lipid Bilayer Membranes
3.2. “Bead-Spring” Chain on Lipid Bilayer Membranes
3.3. oxDNA Model
4. Conclusions
Author Contributions
Funding
Institutional Review Board Statement
Informed Consent Statement
Data Availability Statement
Acknowledgments
Conflicts of Interest
References
- Simha, R.; Frisch, H.L.; Eirich, F.R. The adsorption of flexible macromolecules. J. Phys. Chem. 1953, 57, 584–589. [Google Scholar] [CrossRef]
- Dimarzio, E.A.; Rubin, R.J. Adsorption of a chain polymer between two plates. J. Chem. Phys. 1971, 55, 4318–4336. [Google Scholar] [CrossRef]
- Havlin, S.; Ben-Avraham, D. Diffusion in disordered media. Adv. Phys. 1987, 36, 695–798. [Google Scholar] [CrossRef]
- Huber, G.; Vilgis, T.A. Polymer adsorption on heterogeneous surfaces. Eur. Phys. J. B 1998, 3, 217–223. [Google Scholar] [CrossRef]
- Sumithra, K.; Baumgaertner, A. Polymer adsorption on planar random surfaces. J. Chem. Phys. 1998, 109, 1540–1544. [Google Scholar] [CrossRef]
- Chang, C.-M.; Lau, Y.-G.; Tsai, J.-C.; Juan, W.-T. Relaxation of DNA on a supported lipid membrane. EPL 2012, 99, 48008. [Google Scholar] [CrossRef]
- Klushin, L.I.; Polotsky, A.A.; Hsu, H.-P.; Markelov, D.A.; Binder, K.; Skvortsov, A.M. Adsorption of a single polymer chain on a surface: Effects of the potential range. Phys. Rev. E 2013, 87, 022604. [Google Scholar] [CrossRef] [PubMed]
- Odijk, T. Adsorption of a polymer to a randomly interacting surface. Macromolecules 1990, 23, 1875–1876. [Google Scholar] [CrossRef]
- Xie, A.F.; Granick, S. Phospholipid membranes as substrates for polymer adsorption. Nat. Mater. 2002, 1, 129–133. [Google Scholar] [CrossRef]
- Zhang, L.; Granick, S. Slaved diffusion in phospholipid bilayers. Proc. Natl. Acad. Sci. USA 2005, 102, 9118–9121. [Google Scholar] [CrossRef]
- Herold, C.; Schwille, P.; Petrov, E.P. DNA condensation at freestanding cationic lipid bilayers. Phys. Rev. Lett. 2010, 104, 148102. [Google Scholar] [CrossRef]
- Yang, Q.-H.; Luo, M.-B. Dynamics of adsorbed polymers on attractive homogeneous surfaces. Sci. Rep. 2016, 6, 37156. [Google Scholar] [CrossRef]
- Yang, Q.-H.; Qi, H.-K.; Yang, X.; Luo, M.-B. Simulation study on the critical adsorption and diffusion of polymer chains on heterogeneous surfaces with random adsorption sites. Soft Matter 2021, 17, 1000–1007. [Google Scholar] [CrossRef]
- Chang, C.-M.; Lau, Y.-G.; Ou, S.-C.; Lin, T.-Y.; Juan, W.-T. Anomalous diffusion of DNA on a supported cationic lipid membrane. EPL 2015, 109, 38002. [Google Scholar] [CrossRef]
- Hochrein, M.B.; Leierseder, J.A.; Golubović, L.; Rädler, J.O. DNA molecules on periodically microstructured lipid membranes: Localization and coil stretching. Phys. Rev. E 2007, 75, 021901. [Google Scholar] [CrossRef] [PubMed]
- Javer, A.; Long, Z.; Nugent, E.; Grisi, M.; Siriwatwetchakul, K.; Dorfman, K.D.; Cicuta, P.; Lagomarsino, M.C. Short-time movement of E. coli chromosomal loci depends on coordinate and subcellular localization. Nat. Commun. 2013, 4, 3003. [Google Scholar] [CrossRef]
- Javer, A.; Kuwada, N.J.; Long, Z.; Benza, V.G.; Dorfman, K.D.; Wiggins, P.A.; Cicuta, P.; Lagomarsino, M.C. Persistent super-diffusive motion of Escherichia coli chromosomal loci. Nat. Commun. 2014, 5, 3854. [Google Scholar] [CrossRef] [PubMed]
- Burov, S.; Barkai, E. Occupation time statistics in the quenched trap model. Phys. Rev. Lett. 2007, 98, 250601. [Google Scholar] [CrossRef]
- Qian, H.-J.; Chen, L.-J.; Lu, Z.-Y.; Li, Z.-S. Surface diffusion dynamics of a single polymer chain in dilute solution. Phys. Rev. Lett. 2007, 99, 068301. [Google Scholar] [CrossRef] [PubMed]
- Deutsch, J.M.; de la Cruz, M.O. Density fluctuations of polymers in disordered media. Phys. Rev. E 2011, 83, 031801. [Google Scholar] [CrossRef]
- Schöbl, S.; Zierenberg, J.; Janke, W. Influence of lattice disorder on the structure of persistent polymer chains. J. Phys. A Math. Theor. 2012, 45, 475002. [Google Scholar] [CrossRef]
- Enkavi, G.; Javanainen, M.; Kulig, W.; Roǵ, T.; Vattulainen, I. Multiscale simulations of biological membranes: The challenge to understand biological phenomena in a living substance. Chem. Rev. 2019, 119, 5607–5774. [Google Scholar] [CrossRef] [PubMed]
- Marrink, S.J.; Corradi, V.; Souza, P.C.T.; Ingólfsson, H.I.; Tieleman, D.P.; Sansom, M.S.P. Computational modeling of realistic cell membranes. Chem. Rev. 2019, 119, 6184–6226. [Google Scholar] [CrossRef] [PubMed]
- Shinoda, W.; DeVane, R.; Klein, M.L. Multi-property fitting and parameterization of a coarse grained model for aqueous surfactants. Mol. Simul. 2007, 33, 27–36. [Google Scholar] [CrossRef]
- Shinoda, W.; Discher, D.E.; Klein, M.L.; Loverde, S.M. Probing the structure of PEGylated-lipid assemblies by coarse-grained molecular dynamics. Soft Matter 2013, 9, 11549–11556. [Google Scholar] [CrossRef]
- Marrink, S.J.; Risselada, H.J.; Yefimov, S.; Tieleman, D.P.; De Vries, A.H. The MARTINI forcefield: Coarse grained model for biomolecular simulations. J. Phys. Chem. B 2007, 111, 7812–7824. [Google Scholar] [CrossRef]
- Orsi, M.; Essex, J.W. The ELBA force field for coarse-grain modeling of lipid membranes. PLoS ONE 2011, 6, e28637. [Google Scholar] [CrossRef]
- Cooke, I.R.; Desernoa, M. Solvent-free model for self-assembling fluid bilayer membranes: Stabilization of the fluid phase based on broad attractive tail potentials. J. Chem. Phys. 2005, 123, 224710. [Google Scholar] [CrossRef]
- Cooke, I.R.; Kremer, K.; Deserno, M. Tunable generic model for fluid bilayer membranes. Phys. Rev. E 2005, 72, 011506. [Google Scholar] [CrossRef]
- Hoopes, M.I.; Deserno, M.; Longo, M.L.; Faller, R. Coarse-grained modeling of interactions of lipid bilayers with supports. J. Chem. Phys. 2008, 129, 175102. [Google Scholar] [CrossRef]
- Sknepnek, R.; Vernizzi, G.; de la Cruz, M.O. Charge renormalization of bilayer elastic properties. J. Chem. Phys. 2012, 137, 104905. [Google Scholar] [CrossRef] [PubMed]
- Savelyev, A.; Papoian, G.A. Molecular renormalization group coarse-graining of polymer chains: Application to double-stranded DNA. Biophys. J 2009, 96, 4044–4052. [Google Scholar] [CrossRef] [PubMed]
- Savelyev, A.; Papoian, G.A. Chemically accurate coarse graining of double-stranded DNA. Proc. Natl. Acad. Sci. USA 2010, 107, 20340–20345. [Google Scholar] [CrossRef] [PubMed]
- Knotts, T.A.; Rathore, N.; Schwartz, D.C.; de Pablo, J.J. A coarse grain model for DNA. J. Chem. Phys. 2007, 126, 084901. [Google Scholar] [CrossRef] [PubMed]
- Sambriski, E.J.; Schwartz, D.C.; de Pablo, J.J. A mesoscale model of DNA and its renaturation. Biophys. J. 2009, 96, 1675–1690. [Google Scholar] [CrossRef]
- Hinckley, D.M.; Freeman, G.S.; Whitmer, J.K.; de Pablo, J.J. An experimentally-informed coarse-grained 3-site-per-nucleotide model of DNA: Structure, thermodynamics, and dynamics of hybridization. J. Chem. Phys. 2013, 139, 144903. [Google Scholar] [CrossRef]
- Svaneborg, C. LAMMPS framework for dynamic bonding and an application modeling DNA. Comput. Phys. Commun. 2012, 183, 1793–1802. [Google Scholar] [CrossRef]
- Uusitalo, J.J.; Ingólfsson, H.I.; Akhshi, P.; Tieleman, D.P.; Marrink, S.J. Martini coarse-grained force field: Extension to DNA. J. Chem. Theory Comput. 2015, 11, 3932–3945. [Google Scholar] [CrossRef]
- Ouldridge, T.E.; Louis, A.A.; Doye, J.P.K. Structural, mechanical, and thermodynamic properties of a coarse-grained DNA model. J. Chem. Phys. 2011, 134, 085101. [Google Scholar] [CrossRef]
- Šulc, P.; Romano, F.; Ouldridge, T.E.; Rovigatti, L.; Doye, J.P.K.; Louis, A.A. Sequence-dependent thermodynamics of a coarse-grained DNA model. J. Chem. Phys 2012, 137, 135101. [Google Scholar] [CrossRef]
- Henrich, O.; Fosado, Y.A.G.; Tine Curk, T.; Ouldridge, T.E. Coarse-grained simulation of DNA using LAMMPS. Eur. Phys. J. E 2018, 41, 57. [Google Scholar] [CrossRef] [PubMed]
- Sengar, A.; Ouldridge, T.E.; Henrich, O.; Rovigatti, L.; Šulc, P. A primer on the oxDNA model of DNA: When to use it, how to simulate it and how to interpret the results. Front. Mol. Biosci. 2021, 8, 693710. [Google Scholar] [CrossRef]
- Naskar, S.; Maiti, P.K. Mechanical properties of DNA and DNA nanostructures: Comparison of atomistic, Martini and oxDNA models. J. Mater. Chem. B 2021, 9, 5102–5113. [Google Scholar] [CrossRef] [PubMed]
- Farago, O.; Grønbech-Jensen, N. Computational and analytical modeling of cationic lipid-DNA complexes. Biophys. J. 2007, 92, 3228–3240. [Google Scholar] [CrossRef] [PubMed]
- Corsi, J.; Hawtin, R.W.; Ces, O.; Attard, G.S.; Khalid, S. DNA lipoplexes: Formation of the inverse hexagonal phase observed by coarse-grained molecular dynamics simulation. Langmuir 2010, 26, 12119–12125. [Google Scholar] [CrossRef] [PubMed]
- Plimpton, S. Fast parallel algorithms for short-range molecular dynamics. J. Comput. Phys. 1995, 117, 1–19. [Google Scholar] [CrossRef]
- Singh, A.; Singh, N. Effect of salt concentration on the stability of heterogeneous DNA. Physica A 2015, 419, 328–334. [Google Scholar] [CrossRef]
- Hong, F.; Schreck, J.S.; Šulc, P. Understanding DNA interactions in crowded environments with a coarse-grained model. Nucleic Acids Res. 2020, 48, 10726–10738. [Google Scholar] [CrossRef]
- Singh, A.; Maity, A.; Singh, N. Structure and dynamics of dsDNA in cell-like environments. Entropy 2022, 24, 1587. [Google Scholar] [CrossRef]
- Bigman, L.S.; Levy, Y. Protein diffusion along protein and DNA lattices: Role of electrostatics and disordered regions. Annu. Rev. Biophys. 2023, 52, 1. [Google Scholar] [CrossRef]
- Slyk, E.; Skóra, T.; Kondrat, S. How macromolecules softness affects diffusion under crowding. Soft Matter 2022, 18, 5366–5370. [Google Scholar] [CrossRef] [PubMed]
- Kremer, K.; Grest, G.S. Dynamics of entangled linear polymer melts: A molecular-dynamics simulation. J. Chem. Phys. 1990, 92, 5057. [Google Scholar] [CrossRef]
- Welch, P.; Muthukumar, M. Dendrimer-polyelectrolyte complexation: A model guest-host system. Macromolecules 2000, 33, 6159–6167. [Google Scholar] [CrossRef]
- Festa, R.; d’ Agliano, E.G. Diffusion coefficient for a Brownian particle in a periodic field of force. Physica A 1978, 90, 229–244. [Google Scholar] [CrossRef]
- Weber, S.C.; Spakowitz, A.J.; Theriot, J.A. Bacterial chromosomal loci move subdiffusively through a viscoelastic cytoplasm. Phys. Rev. Lett. 2010, 104, 238102. [Google Scholar] [CrossRef]
- Spakowitz, A.J. Transient anomalous diffusion in a heterogeneous environment. Front. Phys. 2019, 7, 119. [Google Scholar] [CrossRef]
- Luo, L.; Yi, M. Quenched trap model on the extreme landscape: The rise of subdiffusion and non-Gaussian diffusion. Phys. Rev. E 2019, 100, 042136. [Google Scholar] [CrossRef]
- Parry, B.R.; Surovtsev, I.V.; Cabeen, M.T.; O’Hern, C.S.; Dufresne, E.R.; Jacobs-Wagner, C. The bacterial cytoplasm has glass-like properties and is fluidized by metabolic activity. Cell 2014, 156, 183–194. [Google Scholar] [CrossRef]
- Jarin, Z.; Agolini, O.; Pastor, R.W. Finite-size effects in simulations of peptide/lipid assembly. J. Membr. Biol. 2022, 255, 437–449. [Google Scholar] [CrossRef]










Disclaimer/Publisher’s Note: The statements, opinions and data contained in all publications are solely those of the individual author(s) and contributor(s) and not of MDPI and/or the editor(s). MDPI and/or the editor(s) disclaim responsibility for any injury to people or property resulting from any ideas, methods, instructions or products referred to in the content. |
© 2023 by the authors. Licensee MDPI, Basel, Switzerland. This article is an open access article distributed under the terms and conditions of the Creative Commons Attribution (CC BY) license (https://creativecommons.org/licenses/by/4.0/).
Share and Cite
Yu, S.; Zhao, J.; Chu, R.; Li, X.; Wu, G.; Meng, X. Anomalous Diffusion of Polyelectrolyte Segments on Supported Charged Lipid Bilayers. Entropy 2023, 25, 796. https://doi.org/10.3390/e25050796
Yu S, Zhao J, Chu R, Li X, Wu G, Meng X. Anomalous Diffusion of Polyelectrolyte Segments on Supported Charged Lipid Bilayers. Entropy. 2023; 25(5):796. https://doi.org/10.3390/e25050796
Chicago/Turabian StyleYu, Shi, Jianqiao Zhao, Ruizhi Chu, Xiao Li, Guoguang Wu, and Xianliang Meng. 2023. "Anomalous Diffusion of Polyelectrolyte Segments on Supported Charged Lipid Bilayers" Entropy 25, no. 5: 796. https://doi.org/10.3390/e25050796
APA StyleYu, S., Zhao, J., Chu, R., Li, X., Wu, G., & Meng, X. (2023). Anomalous Diffusion of Polyelectrolyte Segments on Supported Charged Lipid Bilayers. Entropy, 25(5), 796. https://doi.org/10.3390/e25050796

