On the Different Abilities of Cross-Sample Entropy and K-Nearest-Neighbor Cross-Unpredictability in Assessing Dynamic Cardiorespiratory and Cerebrovascular Interactions
Abstract
1. Introduction
2. Methods
2.1. Generalities for the Computation of CSampEn and KNNCUP
2.2. CSampEn
2.3. KNNCUP
3. Simulations
3.1. Graded Unidirectional and Bidirectional Causal Couplings
3.2. Graded Lag-Zero Noncausal Coupling
3.3. Unidirectionally-Coupled Identical Logistic Maps
4. Experimental Protocol and Data Analysis
4.1. Ethical Statement
4.2. CB Protocol
4.3. HUT Protocol
4.4. Time Domain Analysis
4.5. Computation of a Linear Marker of Association between Time Series
4.6. Computation of CSampEn and KNNCUP
4.7. Statistical Analysis
5. Results
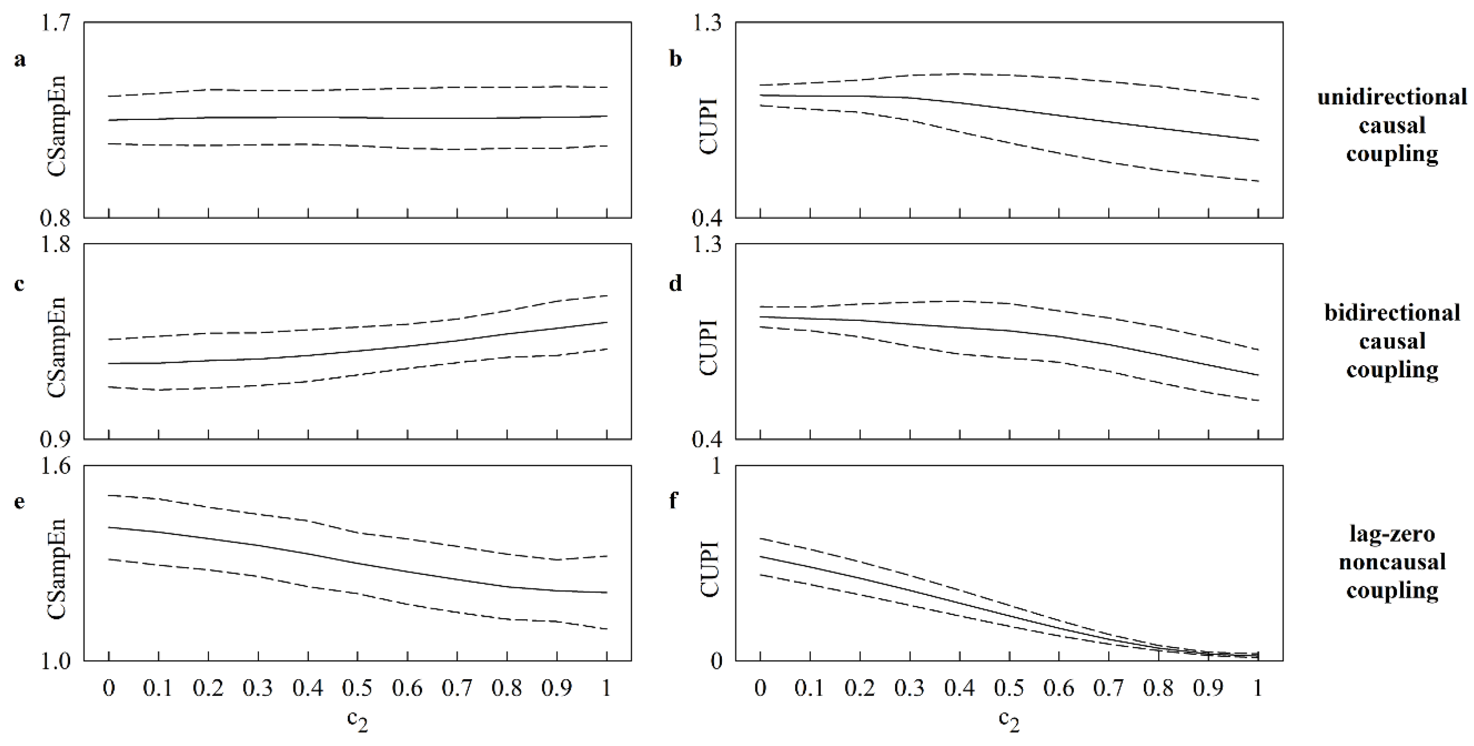
5.1. Results on Simulations
5.2. Results on CB and HUT Protocols
6. Discussion
6.1. Assessing the Coupling Strength between Dynamic Systems via CSampEn and KNNCUP
6.2. Superior Ability of CUPI Compared to CSampEn in Evaluating Cardiorespiratory Coupling Strength
6.3. Superior Ability of CUPI Compared to CSampEn in Evaluating Cerebrovascular Coupling Strength
7. Conclusions
Author Contributions
Funding
Institutional Review Board Statement
Data Availability Statement
Conflicts of Interest
References
- Elstad, M.; O’Callaghan, E.L.; Smith, A.J.; Ben-Tal, A.; Ramchandra, R. Cardiorespiratory interactions in humans and animals: Rhythms for life. Am. J. Physiol. 2018, 315, H6–H17. [Google Scholar] [CrossRef] [PubMed]
- Penzel, T.; Kantelhardt, J.W.; Bartsch, R.P.; Riedl, M.; Kramer, J.; Wessel, N.; Garcia, C.; Glos, M.; Fietze, I.; Schöbel, C. Modulations of heart rate, ECG, and cardio-respiratory coupling observed in polysomnography. Front. Physiol. 2016, 7, 460. [Google Scholar] [CrossRef] [PubMed]
- Yana, K.; Saul, J.P.; Berger, R.D.; Perrott, M.H.; Cohen, R.J. A time domain approach for the fluctuation analysis of heart rate related to instantaneous lung volume. IEEE Trans. Biomed. Eng. 1993, 40, 74–81. [Google Scholar] [CrossRef] [PubMed]
- Saul, J.P.; Berger, R.D.; Chen, M.H.; Cohen, R.J. Transfer function analysis of autonomic regulation II. Respiratory sinus arrhythmia. Am. J. Physiol. 1989, 256, H153–H161. [Google Scholar] [CrossRef]
- Triedman, J.K.; Perrott, M.H.; Cohen, R.J.; Saul, J.P. Respiratory sinus arrhythmia: Time domain characterization using autoregressive moving average analysis. Am. J. Physiol. 1995, 268, H2232–H2238. [Google Scholar] [CrossRef]
- Porta, A.; Bassani, T.; Bari, V.; Tobaldini, E.; Takahashi, A.C.M.; Catai, A.M.; Montano, N. Model-based assessment of baroreflex and cardiopulmonary couplings during graded head-up tilt. Comput. Biol. Med. 2012, 42, 298–305. [Google Scholar] [CrossRef]
- Porta, A.; Maestri, R.; Bari, V.; De Maria, B.; Cairo, B.; Vaini, E.; La Rovere, M.T.; Pinna, G.D. Paced breathing increases the redundancy of cardiorespiratory control in healthy individuals and chronic heart failure patients. Entropy 2018, 20, 949. [Google Scholar] [CrossRef]
- Claassen, J.A.; Meel-van den Abeelen, A.S.; Simpson, D.M.; Panerai, R.B. and the international Cerebral Autoregulation Research Network (CARNet). Transfer function analysis of dynamic cerebral autoregulation: A white paper from the International Cerebral Autoregulation Research Network. J. Cereb. Blood Flow Metab. 2016, 36, 665–680. [Google Scholar] [CrossRef]
- Giller, C.A. The frequency-dependent behavior of cerebral autoregulation. Neurosurgery 1990, 27, 362–368. [Google Scholar] [CrossRef]
- Zhang, R.; Zuckerman, J.H.; Iwasaki, K.; Wilson, T.E.; Crandall, C.G.; Levine, B.D. Autonomic neural control of dynamic cerebral autoregulation in humans. Circulation 2002, 106, 1814–1820. [Google Scholar] [CrossRef]
- Tzeng, Y.C.; Ainslie, P.N.; Cooke, W.H.; Peebles, K.C.; Willie, C.K.; Macrae, B.A.; Smirl, J.D.; Horsman, H.M.; Rickards, C.A. Assessment of cerebral autoregulation: The quandary of quantification. Am. J. Physiol. 2012, 303, H658–H671. [Google Scholar] [CrossRef]
- Vaini, E.; Bari, V.; Fantinato, A.; Pistuddi, V.; Cairo, B.; De Maria, B.; Ranucci, M.; Porta, A. Causality analysis reveals the link between cerebrovascular control and acute kidney dysfunction after coronary artery bypass grafting. Physiol. Meas. 2019, 40, 064006. [Google Scholar] [CrossRef] [PubMed]
- Hori, D.; Nomura, Y.; Ono, M.; Joshi, B.; Mandal, K.; Cameron, D.; Kocherginsky, M.; Hogue, C.W. Optimal blood pressure during cardiopulmonary bypass defined by cerebral autoregulation monitoring. J. Thorac. Cardiovasc. Surg. 2017, 154, 1590–1598. [Google Scholar] [CrossRef] [PubMed]
- Porta, A.; Gelpi, F.; Bari, V.; Cairo, B.; De Maria, B.; Panzetti, C.M.; Cornara, N.; Bertoldo, E.G.; Fiolo, V.; Callus, E.; et al. Monitoring the evolution of asynchrony between mean arterial pressure and mean cerebral blood flow via cross-entropy methods. Entropy 2022, 24, 80. [Google Scholar] [CrossRef] [PubMed]
- Eckberg, D.L.; Kifle, Y.T.; Roberts, V.L. Phase relationship between normal human respiration and baroreflex responsiveness. J. Physiol. 1980, 304, 489–502. [Google Scholar] [CrossRef]
- Taha, B.H.; Simon, P.M.; Dempsey, J.A.; Skatrud, J.B.; Iber, C. Respiratory sinus arrhythmia in humans: An obligatory role for vagal feedback from the lungs. J. Appl. Physiol. 1995, 78, 638–645. [Google Scholar] [CrossRef]
- Crystal, G.J.; Salem, M.R. The Bainbridge and the “reverse” Bainbridge reflexes: History, physiology, and clinical relevance. Anesth. Analg. 2012, 114, 520–532. [Google Scholar] [CrossRef]
- Levy, M.N. Sympathetic-parasympathetic interactions in the heart. Circ. Res. 1971, 29, 437–445. [Google Scholar] [CrossRef]
- Kawada, T.; Sugimachi, M.; Shishido, T.; Miyano, H.; Sato, T.; Yoshimura, R.; Miyashita, H.; Nakahara, T.; Alexander, J.; Sunagawa, K. Simultaneous identification of static and dynamic vagosympathetic interactions in regulating heart rate. Am. J. Physiol. 1999, 276, R782–R789. [Google Scholar] [CrossRef]
- Taylor, J.A.; Myers, C.W.; Halliwill, J.R.; Seidel, H.; Eckberg, D.L. Sympathetic restraint of respiratory sinus arrhythmia: Implications for vagal-cardiac tone assessment in humans. Am. J. Physiol. 2001, 280, H2804–H2814. [Google Scholar] [CrossRef]
- Angelone, A.; Coulter, N.A. Respiratory sinus arrhythmia: A frequency dependent phenomenon. J. Appl. Physiol. 1964, 19, 479–482. [Google Scholar] [CrossRef] [PubMed]
- Hirsch, J.A.; Bishop, B. Respiratory sinus arrhythmia in humans: How breathing pattern modulates heart rate. Am. J. Physiol. 1981, 241, H620–H629. [Google Scholar] [CrossRef] [PubMed]
- Eckberg, D.L. Human sinus arrhythmia as an index of vagal cardiac outflow. J. Appl. Physiol. 1983, 54, 961–966. [Google Scholar] [CrossRef] [PubMed]
- Schäfer, G.; Rosenblum, M.G.; Kurths, J.; Abel, H.H. Heartbeat synchronized with ventilation. Nature 1998, 392, 239–240. [Google Scholar] [CrossRef]
- Cairo, B.; Martins de Abreu, R.; Bari, V.; Gelpi, F.; De Maria, B.; Rehder-Santos, P.; Sakaguchi, C.A.; Donisete da Silva, C.; De Favari Signini, E.; Catai, A.M.; et al. Optimizing phase variability threshold for automated synchrogram analysis of cardiorespiratory interactions in amateur cyclists. Philos. Trans. R. Soc. A 2021, 379, 20200251. [Google Scholar] [CrossRef]
- Tzeng, Y.C.; Larsen, P.D.; Galletly, D.C. Cardioventilatory coupling in resting human subjects. Exp. Physiol. 2003, 88, 775–782. [Google Scholar] [CrossRef]
- Spyer, K.M. Central nervous mechanisms responsible for cardio-respiratory homeostasis. Adv. Exp. Med. Biol. 1995, 381, 73–79. [Google Scholar]
- Gilbey, M.P.; Jordan, D.; Richter, D.W.; Spyer, K.M. Synaptic mechanisms involved in the inspiratory modulation of vagal cardio-inhibitory neurones in the cat. J. Physiol. 1984, 356, 65–78. [Google Scholar] [CrossRef]
- Seals, D.R.; Suwarno, N.O.; Dempsey, J.A. Influence of lung volume on sympathetic nerve discharge in normal subjects. Circ. Res. 1990, 67, 130–141. [Google Scholar] [CrossRef]
- Eckberg, D.L.; Nerhed, C.; Wallin, B.G. Respiratory modulation of muscle sympathetic and vagal cardiac outflow in man. J. Physiol. 1985, 365, 181–196. [Google Scholar] [CrossRef]
- Lassen, N.A. Cerebral blood flow and oxygen consumption in man. Physiol. Rev. 1959, 39, 183–238. [Google Scholar] [CrossRef] [PubMed]
- Aaslid, R.; Blaha, M.; Sviri, G.; Douville, C.M.; Newell, D.W. Asymmetric dynamic cerebral autoregulatory response to cyclic stimuli. Stroke 2007, 38, 1465–1469. [Google Scholar] [CrossRef] [PubMed]
- Schmidt, B.; Klingelhofer, J.; Perkes, I.; Czosnyka, M. Cerebral autoregulatory response depends on the direction of change in perfusion pressure. J. Neurotrauma 2009, 26, 651–656. [Google Scholar] [CrossRef]
- Bari, V.; Marchi, A.; De Maria, B.; Rossato, G.; Nollo, G.; Faes, L.; Porta, A. Nonlinear effects of respiration on the crosstalk between cardiovascular and cerebrovascular control systems. Philos. Trans. R. Soc. A 2016, 374, 20150179. [Google Scholar] [CrossRef]
- Panerai, R.B. The critical closing pressure of the cerebral circulation. Med. Eng. Phys. 2003, 25, 621–632. [Google Scholar] [CrossRef]
- Hamner, J.W.; Tan, C.O.; Lee, K.; Cohen, M.A.; Taylor, J.A. Sympathetic control of the cerebral vasculature in humans. Stroke 2010, 41, 102–109. [Google Scholar] [CrossRef] [PubMed]
- Gebber, G.L.; Barman, S.M. Brain stem vasomotor circuits involved in the genesis and entrainment of sympathetic nervous rhythms. Progr. Brain Res. 1977, 47, 61–75. [Google Scholar]
- Marchi, A.; Bari, V.; De Maria, B.; Esler, M.; Lambert, E.; Baumert, M.; Porta, A. Simultaneous characterization of sympathetic and cardiac arms of the baroreflex through sequence techniques during incremental head-up tilt. Front. Physiol. 2016, 7, 438. [Google Scholar] [CrossRef]
- Bartsch, R.P.; Kantelhardt, J.W.; Penzel, T.; Havlin, S. Experimental evidence for phase synchronization transitions in the human cardiorespiratory system. Phys. Rev. Lett. 2007, 98, 054102. [Google Scholar] [CrossRef]
- Richman, J.S.; Moorman, J.R. Physiological time-series analysis using approximate entropy and sample entropy. Am. J. Physiol. 2000, 278, H2039–H2049. [Google Scholar] [CrossRef]
- Porta, A.; Faes, L.; Bari, V.; Marchi, A.; Bassani, T.; Nollo, G.; Perseguini, N.M.; Milan, J.; Minatel, V.; Borghi-Silva, A.; et al. Effect of age on complexity and causality of the cardiovascular control: Comparison between model-based and model-free approaches. PLoS ONE 2014, 9, e89463. [Google Scholar] [CrossRef] [PubMed]
- Porta, A.; Guzzetti, S.; Montano, N.; Pagani, M.; Somers, V.; Malliani, A.; Baselli, G.; Cerutti, S. Information domain analysis of cardiovascular variability signals: Evaluation of regularity, synchronisation and co-ordination. Med. Biol. Eng. Comput. 2000, 38, 180–188. [Google Scholar] [CrossRef] [PubMed]
- Porta, A.; Baselli, G.; Guzzetti, S.; Pagani, M.; Malliani, A.; Cerutti, S. Prediction of short cardiovascular variability signals based on conditional distribution. IEEE Trans. Biomed. Eng. 2000, 47, 555–1564. [Google Scholar]
- Faes, L.; Porta, A.; Rossato, G.; Adami, A.; Tonon, D.; Corica, A.; Nollo, G. Investigating the mechanisms of cardiovascular and cerebrovascular regulation in orthostatic syncope through an information decomposition strategy. Auton. Neurosci. Basic Clin. 2013, 178, 76–82. [Google Scholar] [CrossRef]
- Bari, V.; De Maria, B.; Mazzucco, C.E.; Rossato, G.; Tonon, D.; Nollo, G.; Faes, L.; Porta, A. Cerebrovascular and cardiovascular variability interactions investigated through conditional joint transfer entropy in subjects prone to postural syncope. Physiol. Meas. 2017, 38, 976–991. [Google Scholar] [CrossRef] [PubMed]
- Porta, A.; Bari, V.; Gelpi, F.; Cairo, B.; De Maria, B.; Tonon, D.; Rossato, G.; Faes, L. Comparing cross-sample entropy and k-nearest-neighbor cross-predictability approaches for the evaluation of cardiorespiratory and cerebrovascular dynamic interactions. In Proceedings of the 44th Annual International Conference of the IEEE EMBS, Glasgow, Scotland, 11–15 July 2022; IEEE Press: Piscataway, NJ, USA, 2022; pp. 127–130. [Google Scholar]
- Schiff, S.J.; So, P.; Chang, T.; Burke, R.; Sauer, T. Detecting dynamical interdependence and generalized synchrony through mutual prediction in a neural ensemble. Phys. Rev. E 1996, 54, 6708–6724. [Google Scholar] [CrossRef]
- Abarbanel, H.D.I.; Carroll, T.L.; Pecora, L.M.; Sidorowich, J.J.; Tsimring, L.S. Predicting physical variables in time-delay embedding. Phys. Rev. E 1994, 49, 1840–1853. [Google Scholar] [CrossRef]
- Porta, A.; Castiglioni, P.; Bari, V.; Bassani, T.; Marchi, A.; Cividjian, A.; Quintin, L.; Di Rienzo, M. K-nearest-neighbor conditional entropy approach for the assessment of short-term complexity of cardiovascular control. Physiol. Meas. 2013, 34, 17–33. [Google Scholar] [CrossRef]
- Lloyd, A.L. The coupled logistic map: A simple model for the effects of spatial heterogeneity on population dynamics. J. Theor. Biol. 1995, 173, 217–230. [Google Scholar] [CrossRef]
- Aaslid, R.; Markwalder, T.M.; Nornes, H. Noninvasive transcranial Doppler ultrasound recording of flow velocity in basal cerebral arteries. J. Neurosurg. 1982, 57, 769–774. [Google Scholar] [CrossRef]
- Task Force of the European Society of Cardiology and the North American Society of Pacing and Electrophysiology. Heart rate variability: Standards of measurement, physiological interpretation and clinical use. Circulation 1996, 93, 1043–1065. [Google Scholar] [CrossRef]
- Porta, A.; Castiglioni, P.; Di Rienzo, M.; Bassani, T.; Bari, V.; Faes, L.; Nollo, G.; Cividjan, A.; Quintin, L. Cardiovascular control and time domain Granger causality: Insights from selective autonomic blockade. Philos. Trans. R. Soc. A 2013, 371, 20120161. [Google Scholar] [CrossRef] [PubMed]
- Bari, V.; Fantinato, A.; Vaini, E.; Gelpi, F.; Cairo, B.; De Maria, B.; Pistuddi, V.; Ranucci, M.; Porta, A. Impact of propofol general anesthesia on cardiovascular and cerebrovascular closed loop variability interactions. Biomed. Signal Process. Control 2021, 68, 102735. [Google Scholar] [CrossRef]
- Porta, A.; Gelpi, F.; Bari, V.; Cairo, B.; De Maria, B.; Tonon, D.; Rossato, G.; Ranucci, M.; Faes, L. Categorizing the role of respiration in cardiovascular and cerebrovascular variability interactions. IEEE Trans. Biomed. Eng. 2022, 69, 2065–2076. [Google Scholar] [CrossRef] [PubMed]
- Porta, A.; Bari, V.; De Maria, B.; Cairo, B.; Vaini, E.; Perseguini, N.M.; Milan-Mattos, J.; Rehder-Santos, P.; Minatel, V.; Takahashi, A.C.M.; et al. Comparison between probabilistic and Wiener-Granger causality in assessing modifications of the cardiac baroreflex control with age. Physiol. Meas. 2018, 39, 104004. [Google Scholar] [CrossRef]
- Faes, L.; Porta, A.; Nollo, G. Information decomposition in bivariate systems: Theory and application to cardiorespiratory dynamics. Entropy 2015, 17, 277–303. [Google Scholar] [CrossRef]
- Porta, A.; Guzzetti, S.; Furlan, R.; Gnecchi-Ruscone, T.; Montano, N.; Malliani, A. Complexity and nonlinearity in short-term heart period variability: Comparison of methods based on local nonlinear prediction. IEEE Trans. Biomed. Eng. 2007, 54, 94–106. [Google Scholar] [CrossRef]
- Chess, G.F.; Calaresu, F.R. Frequency response model of vagal control of heart rate in the cat. Am. J. Physiol. 1971, 220, 554–557. [Google Scholar] [CrossRef]
- Berger, R.D.; Saul, J.P.; Cohen, R.J. Transfer function analysis of autonomic regulation I. Canine atrial rate response. Am. J. Physiol. 1989, 256, H142–H152. [Google Scholar] [CrossRef]
- Chen, X.; Mukkamala, R. Selective quantification of the cardiac sympathetic and parasympathetic nervous systems by multisignal analysis of cardiorespiratory variability. Am. J. Physiol. 2008, 294, H362–H371. [Google Scholar] [CrossRef]
- Baselli, G.; Cerutti, S.; Badilini, F.; Biancardi, L.; Porta, A.; Pagani, M.; Lombardi, F.; Rimoldi, O.; Furlan, R.; Malliani, A. Model for the assessment of heart period and arterial pressure variability interactions and respiratory influences. Med. Biol. Eng. Comput. 1994, 32, 143–152. [Google Scholar] [CrossRef] [PubMed]
- Patton, D.J.; Triedman, J.K.; Perrott, M.H.; Vidian, A.A.; Saul, J.P. Baroreflex gain: Characterization using autoregressive moving average analysis. Am. J. Physiol. 1996, 270, H1240–H1249. [Google Scholar] [CrossRef] [PubMed]
- Cooke, W.H.; Hoag, J.B.; Crossman, A.A.; Kuusela, T.A.; Tahvanainen, K.U.; Eckberg, D.L. Human responses to upright tilt: A window on central autonomic integration. J. Physiol. 1999, 517, 617–628. [Google Scholar] [CrossRef]
- Marchi, A.; Bari, V.; De Maria, B.; Esler, M.; Lambert, E.; Baumert, M.; Porta, A. Calibrated variability of muscle sympathetic nerve activity during graded head-up tilt in humans and its link with noradrenaline data and cardiovascular rhythms. Am. J. Physiol. 2016, 310, R1134–R1143. [Google Scholar] [CrossRef]
- Zhang, R.; Zuckerman, J.H.; Levine, B.D. Deterioration of cerebral autoregulation during orthostatic stress: Insights from the frequency domain. J. Appl. Physiol. 1998, 85, 1113–1122. [Google Scholar] [CrossRef] [PubMed]
- Katsogridakis, E.; Bush, G.; Fan, L.; Birch, A.A.; Simpson, D.M.; Allen, R.; Potter, J.F.; Panerai, R.B. Detection of impaired cerebral autoregulation improves by increasing arterial blood pressure variability. J. Cereb. Blood Flow Metab. 2013, 33, 519–523. [Google Scholar] [CrossRef]
- Ocon, A.J.; Kulesa, J.; Clarke, D.; Taneja, I.; Medow, M.S.; Stewart, J.M. Increased phase synchronization and decreased cerebral autoregulation during fainting in the young. Am. J. Physiol. 2009, 297, H2084–H2095. [Google Scholar] [CrossRef] [PubMed]
- Ocon, A.J.; Medow, M.S.; Taneja, I.; Clarke, D.; Stewart, J.M. Decreased upright cerebral blood flow and cerebral autoregulation in normocapnic postural tachycardia syndrome. Am. J. Physiol. 2009, 297, H664–H673. [Google Scholar] [CrossRef]
- Castro, P.; Serrador, J.; Sorond, F.; Azevedo, E.; Rocha, I. Sympathovagal imbalance in early ischemic stroke is linked to impaired cerebral autoregulation and increased infarct volumes. Auton. Neurosci. Basic Clin. 2022, 241, 102986. [Google Scholar] [CrossRef]
- Czosnyka, M.; Smielewski, P.; Kirkpatrick, P.; Menon, D.K.; Pickard, J.D. Monitoring of cerebral autoregulation in head-injured patients. Stroke 1996, 27, 1829–1834. [Google Scholar] [CrossRef]
- Carey, B.J.; Manktelow, B.N.; Panerai, R.B.; Potter, J.F. Cerebral autoregulatory responses to head-up tilt in normal subjects and patients with recurrent vasovagal syncope. Circulation 2001, 104, 898–902. [Google Scholar] [CrossRef] [PubMed]
- Gelpi, F.; Bari, V.; Cairo, B.; De Maria, B.; Tonon, D.; Rossato, G.; Faes, L.; Porta, A. Dynamic cerebrovascular autoregulation in patients prone to postural syncope: Comparison of techniques assessing the autoregulation index from spontaneous variability series. Auton. Neurosci. Basic Clin. 2022, 237, 102920. [Google Scholar] [CrossRef] [PubMed]
- Caldas, J.R.; Panerai, R.B.; Haunton, V.J.; Almeida, J.P.; Ferreira, G.S.R.; Camara, L.; Nogueira, R.C.; Bor-Seng-Shu, E.; Oliveira, M.L.; Groehs, R.R.V.; et al. Cerebral blood flow autoregulation in ischemic heart failure. Am. J. Physiol. 2017, 312, R108–R113. [Google Scholar] [CrossRef] [PubMed]
- Saleem, S.; Teal, P.D.; Howe, C.A.; Tymko, M.M.; Ainslie, P.N.; Tzeng, Y.-C. Is the Cushing mechanism a dynamic blood pressure-stabilizing system? Insights from Granger causality analysis of spontaneous blood pressure and cerebral blood flow. Am. J. Physiol. 2018, 315, R484–R495. [Google Scholar] [CrossRef]
- Tzeng, Y.C.; MacRae, B.A.; Ainslie, P.N.; Chan, G.S.H. Fundamental relationships between blood pressure and cerebral blood flow in humans. J. Appl. Physiol. 2014, 117, 1037–1048. [Google Scholar] [CrossRef] [PubMed]
- Cushing, H. Concerning a definitive regulatory mechanism of the vaso-motor centre which controls blood pressure during cerebral compression. Bull. Johns Hopkins Hosp. 1901, 12, 290–292. [Google Scholar]
- McBryde, F.D.; Malpas, S.C.; Paton, J.F.R. Intracranial mechanisms for preserving brain blood flow in health and disease. Acta Physiol. 2017, 219, 274–287. [Google Scholar] [CrossRef]
- Nakamura, K.; Osborn, J.W.; Cowley, A.W. Pressor response to small elevations of cerebroventricular pressure in conscious rats. Hypertension 1987, 10, 635–641. [Google Scholar] [CrossRef]
- Panerai, R.B.; Dawson, S.L.; Potter, J.F. Linear and nonlinear analysis of human dynamic cerebral autoregulation. Am. J. Physiol. 1999, 277, H1089–H1099. [Google Scholar] [CrossRef]






| Disclaimer/Publisher’s Note: The statements, opinions and data contained in all publications are solely those of the individual author(s) and contributor(s) and not of MDPI and/or the editor(s). MDPI and/or the editor(s) disclaim responsibility for any injury to people or property resulting from any ideas, methods, instructions or products referred to in the content. | 
© 2023 by the authors. Licensee MDPI, Basel, Switzerland. This article is an open access article distributed under the terms and conditions of the Creative Commons Attribution (CC BY) license (https://creativecommons.org/licenses/by/4.0/).
Share and Cite
Porta, A.; Bari, V.; Gelpi, F.; Cairo, B.; De Maria, B.; Tonon, D.; Rossato, G.; Faes, L. On the Different Abilities of Cross-Sample Entropy and K-Nearest-Neighbor Cross-Unpredictability in Assessing Dynamic Cardiorespiratory and Cerebrovascular Interactions. Entropy 2023, 25, 599. https://doi.org/10.3390/e25040599
Porta A, Bari V, Gelpi F, Cairo B, De Maria B, Tonon D, Rossato G, Faes L. On the Different Abilities of Cross-Sample Entropy and K-Nearest-Neighbor Cross-Unpredictability in Assessing Dynamic Cardiorespiratory and Cerebrovascular Interactions. Entropy. 2023; 25(4):599. https://doi.org/10.3390/e25040599
Chicago/Turabian StylePorta, Alberto, Vlasta Bari, Francesca Gelpi, Beatrice Cairo, Beatrice De Maria, Davide Tonon, Gianluca Rossato, and Luca Faes. 2023. "On the Different Abilities of Cross-Sample Entropy and K-Nearest-Neighbor Cross-Unpredictability in Assessing Dynamic Cardiorespiratory and Cerebrovascular Interactions" Entropy 25, no. 4: 599. https://doi.org/10.3390/e25040599
APA StylePorta, A., Bari, V., Gelpi, F., Cairo, B., De Maria, B., Tonon, D., Rossato, G., & Faes, L. (2023). On the Different Abilities of Cross-Sample Entropy and K-Nearest-Neighbor Cross-Unpredictability in Assessing Dynamic Cardiorespiratory and Cerebrovascular Interactions. Entropy, 25(4), 599. https://doi.org/10.3390/e25040599
 
        







