Charged Particles Transverse Momentum and Pseudorapidity Distribution in Hadronic Collisions at LHC Energies
Abstract
1. Introduction
2. The Method and Formalism
3. Results and Discussions
3.1. Comparison of Models’ Prediction with Data
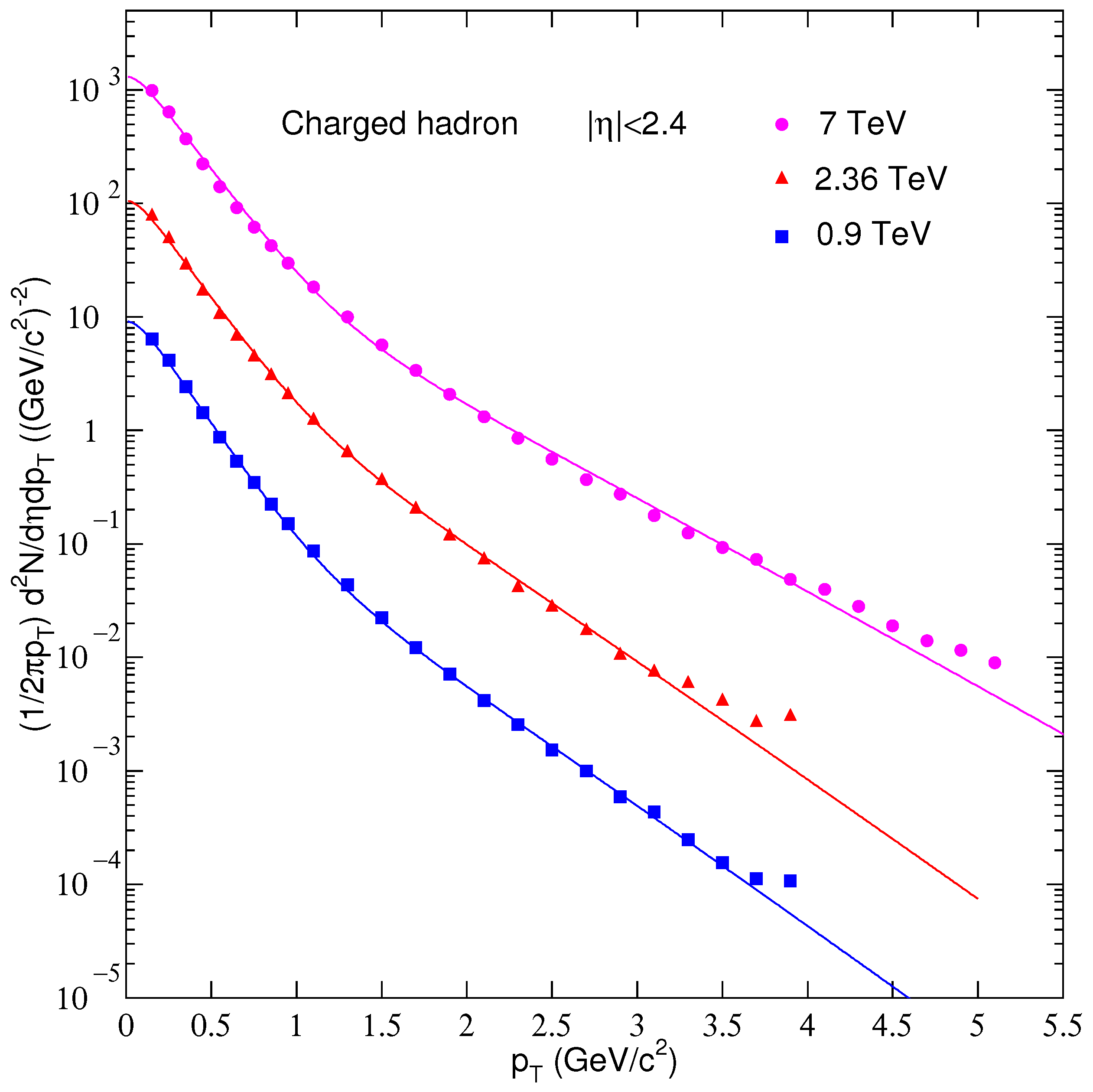
3.2. Fit Procedure by Standard Distribution
4. Summary and Conclusions
- The Simple parton showers explain the CMS data very well for GeV/c at 0.9 and 2.36 TeV within the experimental errors, while Dire overshoots and Vicia undershoots the data by 50% each;
- At 7 TeV, the Dire module has a good prediction, whereas the Simple and Vincia modules underestimate the data within 30% and 50%;
- The comparison of the Simple module of the Pythia model, along with the predictions of the CRMC models with the experimental data, show that at 0.9 TeV, EPOS-LHC has better results than the others;
- At 2.36 GeV, CRMC models have better prediction than the Simple module of Pythia at low , while QGSJETII-04 predicts well at high . Both QGSJETII-04 and EPOS-LHC have closer results than the Pythia-Simple and Sibyll2.3d at 7 TeV;
- In the case of the pseudorapidity distributions, only the Pythia-Simple reproduced the experimental measurements at all energies. The Dire module overestimates while Vincia underestimates in decreasing order of discrepancy (20%, 12%, 5%) with energy;
- All CRMC models underestimate over the entire range and for all three energies by 20%;
- Furthermore, A fit procedure using the standard distribution resulting in the for experimental data shows that the of the hadronic matter increases with an increase in the center of mass energy;
- The observed inconsistencies may be linked to the kinematics involved in the simulation of charged hadrons;
- In the case of parton showers, the angular ordering of partons could be the possible reason for the deviation;
- In contrast, the multi-parton interaction and parton fragmentation could be a possible reason in the case of CRMC models.
Author Contributions
Funding
Institutional Review Board Statement
Informed Consent Statement
Data Availability Statement
Acknowledgments
Conflicts of Interest
Sample Availability
References
- Ajaz, M.; Khubrani, A.M.; Waqas, M.; Yasin, Z.; Mughal, B.J.; Hassan, S.; Ali, S.; Suleymanov, M.K. Pseudorapidity distribution of energy density and distribution of charged particles in different categories of the final state in pp collisions at = 13 TeV. Mod. Phys. Lett. A 2022, 37, 2250098. [Google Scholar] [CrossRef]
- Waqas, M.; Peng, G.X.; Ajaz, M.; Ismail, A.H.; Dawi, E.A. Analyses of the collective properties of hadronic matter in Au-Au collisions at 54.4 GeV. Phys. Rev. D 2022, 106, 075009. [Google Scholar] [CrossRef]
- Waqas, M.; AbdelKader, A.; Ajaz, M.; Tawfik, A.N.; Wazir, Z.; Haj Ismail, A.A.K.; Luo, S.J.; Khan, H.Z. Dependence of Freeze-Out Parameters on Collision Energies and Cross-Sections. Universe 2023, 9, 44. [Google Scholar] [CrossRef]
- Khachatryan, V.; Sirunyan, A.M.; Tumasyan, A.; Adam, W.; Bergauer, T.; Dragicevic, M.; Erö, J.; Friedl, M.; Fruehwirth, R.; Ghete, V.M.; et al. Transverse-momentum and pseudorapidity distributions of charged hadrons in pp collisions at = 0.9 and 2.36 TeV. J. High Energy. Phys. 2010, 41, 41. [Google Scholar] [CrossRef]
- Khachatryan, V.; CMS Collaboration. Transverse-momentum and pseudorapidity distributions of charged hadrons in collisions at = 7 TeV. Phys. Rev. Lett. 2010, 105, 22002. [Google Scholar] [CrossRef] [PubMed]
- Kittel, W.; Wolf, E.A.D. Soft Multihadron Dynamics; World Scientific: Singapore, 2005. [Google Scholar]
- d’Enterria, D.; Engel, R.; Pierog, T.; Ostapchenko, S.; Werner, K. Constraints from the first LHC data on hadronic event generators for ultra-high energy cosmic-ray physics. Astropart. Phys. 2011, 35, 98–113. [Google Scholar] [CrossRef]
- Riggi, F. Particle production in ultra-relativistic proton-proton and heavy ion collisions at the LargeHadron Collider. J. Phys. Conf. Ser. 2013, 424, 12004. [Google Scholar] [CrossRef]
- Ajaz, M.; Waqas, M.; Li, L.L.; Tabassam, U.; Suleymanov, M. Bulk properties of the medium in comparison with models’ predictions in pp collisions at 13 TeV. Eur. Phys. J. Plus 2022, 137, 592. [Google Scholar] [CrossRef]
- Ullah, S.; Ajaz, M.; Wazir, Z.; Ali, Y.; Khan, K.H.; Younis, H. Hadron production models’ prediction for p T distribution of charged hadrons in pp interactions at 7 TeV. Sci. Rep. 2019, 9, 11811. [Google Scholar] [CrossRef]
- Tabassam, U.; Ali, Y.; Suleymanov, M.; Bhatti, A.S.; Ajaz, M. The production of π±, K±, p and in p–Pb collisions at = 5.02 TeV. Mod. Phys. Lett. A 2018, 33, 1850094. [Google Scholar] [CrossRef]
- Ajaz, M.; Khan, R.; Wazir, Z.; Khan, I.; Bibi, T. Model prediction of transverse momentum spectra of strange hadrons in pp collisions at = 200 GeV. Int. J. Theor. Phys. 2020, 59, 3338. [Google Scholar] [CrossRef]
- Tabassam, U.; Ali, Y.; Arslan, A.; ul Abidin, Z.; Arif, A.; Siddique, I.; Suleymanov, M. Strange Particles Production in pp and pPb collision at 7 TeV. Eur. Phys. J. Plus 2021, 136, 793. [Google Scholar] [CrossRef]
- Ajaz, M.; Ashraf, M.U.; Waqas, M.; Yasin, Z.; Khubrani, A.M.; Hassan, S.; Haj Ismail, A.; Li, L.L. Model studies of V0 production ratios in pp collisions at = 0.2, 0.9, and 7 TeV. Eur. Phys. J. Plus 2023, 138, 14. [Google Scholar] [CrossRef]
- Yang, P.P.; Ajaz, M.; Waqas, M.; Liu, F.H.; Suleymanov, M.K. Pseudorapidity dependence of the pT spectra of charged hadrons in pp collisions at = 0.9 and 2.36 TeV. J. Phys. G Nucl. Part. Phys. 2022, 49, 055110. [Google Scholar] [CrossRef]
- Ajaz, M.; Khubrani, A.M.; Waqas, M.; Dawi, E.A. Collective properties of hadrons in comparison of models prediction in pp collisions at 7 TeV. Results Phys. 2022, 36, 105433. [Google Scholar] [CrossRef]
- Ajaz, M.; Waqas, M.; Khan, R.; Adil Khan, M.; Li, L.L.; Alrebdi, H.I.; Abdel-Aty, A.H. Inclusive Charged-Particle Kinematic Distributions at LHC Energies: Data versus Theory. Symmetry 2022, 14, 2401. [Google Scholar] [CrossRef]
- Ajaz, M.; Waqas, M.; Peng, G.X.; Yasin, Z.; Younis, H.; Haj Ismail, A.A.K. Study of pT spectra of light particles using modified Hagedorn function and cosmic rays Monte Carlo event generators in proton-proton collisions at 900 GeV center of mass energy. Eur. Phys. J. Plus 2022, 137, 52. [Google Scholar] [CrossRef]
- Ajaz, M.; Haj Ismail, A.A.K.; Waqas, M.; Suleymanov, M.; AbdelKader, A.; Suleymanov, R. Pseudorapidity dependence of the bulk properties of hadronic medium in pp collisions at 7 TeV. Sci. Rep. 2022, 12, 8142. [Google Scholar] [CrossRef]
- Haj Ismail, A. Monte Carlo simulation of the cosmic muon charge ratio. Kuwait J. Sci. 2022, 49, 1–8. [Google Scholar] [CrossRef]
- Pi, H. An event generator for interactions between hadrons and nuclei—FRITIOF version 7.0. Comput. Phys. Commun. 1992, 71, 173–192. [Google Scholar] [CrossRef]
- Bierlich, C.; Chakraborty, S.; Desai, N.; Gellersen, L.; Helenius, I.; Ilten, P.; Lönnblad, L.; Mrenna, S.; Prestel, S.; Preuss, C.T.; et al. A comprehensive guide to the physics and usage of PYTHIA 8.3. LU-TP 22-16, MCNET-22-04. arXiv 2022, arXiv:2203.11601. [Google Scholar] [CrossRef]
- Sjostrand, T.; Ask, S.; Christiansen, J.R.; Corke, R.; Desai, N.; Ilten, P.; Mrenna, S.; Prestel, S.; Rasmussen, C.O.; Skands, P.Z. An Introduction to PYTHIA 8.2. Comput. Phys. Commun. 2015, 191, 159–177. [Google Scholar] [CrossRef]
- Kundu, S.K.; Sarkar, T.; Maity, M. Optimizing the parton shower model in PYTHIA with pp collision data at = 13 TeV. Int. J. Mod. Phys. 2019, 34, 1950219. [Google Scholar] [CrossRef]
- Buckley, A.; Butterworth, J.; Gieseke, S.; Grellscheid, D.; Höche, S.; Hoeth, H.; Krauss, F.; Lönnblad, L.; Nurse, E.; Richardson, P.; et al. General-purpose event generators for LHC physics. Phys. Rep. 2011, 504, 145–233. [Google Scholar] [CrossRef]
- Khan, R.; Ajaz, M. Model predictions of charge particle densities and multiplicities in the forward region at 7 TeV. Mod. Phys. Lett. 2020, 35, 2050190. [Google Scholar] [CrossRef]
- Gribov, V.N. A reggeon diagram technique. Sov. Phys. Jetp. 1968, 26, 414–423. [Google Scholar]
- Capella, A.; Sukhatme, U.; Tan, C.I.; Van, J.T.T. Dual parton model. Phys. Rep. 1994, 236, 225–329. [Google Scholar] [CrossRef]
- Cleymans, J.; Worku, D. Relativistic thermodynamics: Transverse momentum distributions in high-energy physics. Eur. Phys. J. 2012, 48, 160. [Google Scholar] [CrossRef]
- Adler, S.S.; Afanasiev, S.; Aidala, C.; Ajitan, N.N.; Akiba, Y.; Alexander, J.; Amirikas, R.; Aphecetche, L.; Aronson, S.H.; Averbeck, R.; et al. Identified charged particle spectra and yields in Au+Au collisions at = 200 GeV. Phys. Rev. 2004, 69, 034909. [Google Scholar]
- Koch, P.; Rafelski, J.; Greiner, W. Strange hadron in hot nuclear matter. Phys. Lett. 1983, 123, 151–154. [Google Scholar] [CrossRef]
- Braun-Munzinger, P.; Magestro, D.; Redlich, K.; Stachel, J. Hadron production in Au-Au collisions at RHIC. Phys. Lett. 2001, 518, 41–46. [Google Scholar] [CrossRef]
- Andronic, A.; Braun-Munzinger, P.; Stachel, J. Thermal hadron production in relativistic nuclear collisions. Acta Phys. Pol. 2009, 40, 1005–1012. [Google Scholar]
- Andronic, A.; Braun-Munzinger, P.; Stachel, J. The horn, the hadron mass spectrum and the QCD phase diagram: The statistical model of hadron production in central nucleus-nucleus collisions. Nucl. Phys. 2010, 834, 237c–240c. [Google Scholar] [CrossRef]
- Cleymans, J.; Oeschler, H.; Redlich, K.; Wheaton, S. Comparison of chemical freeze-out criteria in heavy-ion collisions. Phys. Rev. 2006, 73, 034905. [Google Scholar] [CrossRef]
- Andronic, A.; Braun-Munzinger, P.; Stachel, J. Hadron production in central nucleus-nucleus collisions at chemical freeze-out. Nucl. Phys. 2006, 772, 167–199. [Google Scholar] [CrossRef]
- Li-Li, L.; Ismail, A.H. Study of Bulk Properties of Strange Particles in Au+Au Collisions at = 54.4 GeV. Entropy 2022, 24, 1720. [Google Scholar] [CrossRef]
- Andronic, A.; Braun-Munzinger, P.; Redlich, K.; Stachel, J. Decoding the phase structure of QCD via particle production at high energy. Nature 2018, 561, 321–330. [Google Scholar] [CrossRef] [PubMed]
- Waqas, M.; Liu, F.H.; Wang, R.Q.; Siddique, I. Energy scan/dependence of kinetic freeze-out scenarios of multi-strange and other identified particles in central nucleus-nucleus collisions. Eur. Phys. J. A 2020, 56, 188. [Google Scholar] [CrossRef]
- Waqas, M.; Peng, G.X.; Ajaz, M.; Haj Ismail, A.; Wazir, Z.; Li, L.L. Extraction of different temperatures and kinetic freeze-out volume in high energy collisions. J. Phys. G Nucl. Part. Phys. 2022, 49, 095102. [Google Scholar] [CrossRef]
- Waqas, M.; Haj Ismail, A.; Ajaz, M.; AbdelKader, A. Excitation Function of Kinetic Freeze-Out Parameters at 6.3, 17.3, 31, 900 and 7000 GeV. Universe 2022, 8, 138. [Google Scholar] [CrossRef]
- Li, L.L.; Liu, F.H.; Waqas, M.; Ajaz, M. Analyzing Transverse Momentum Spectra by a New Method in High-Energy Collisions. Universe 2022, 8, 31. [Google Scholar] [CrossRef]
- Melo, I.; Tomasik, B. Snapshots of fireballs at freeze-out from heavy-ion collisions at different energies. In Proceedings of the 2019 European Physical Society Conference on High Energy Physics (EPS-HEP2019), Ghent, Belgium, 10–17 July 2019. [Google Scholar] [CrossRef]
- Patra, R.N.; Mohanty, B.; Nayak, T.K. Centrality, transverse momentum and collision energy dependence of the Tsallis parameters in relativistic heavy-ion collisions. Eur. Phys. J. Plus 2021, 136, 702. [Google Scholar] [CrossRef]



| Energy | (GeV) | (GeV) | (GeV) | (GeV) | z | (GeV) | N | /dof | |
|---|---|---|---|---|---|---|---|---|---|
| 0.9 TeV | 0.163 | 0.008 | 0.389 | 0.012 | 0.82 | 0.01 | 360 | 18 | 6.6382 |
| 2.36 TeV | 0.169 | 0.008 | 0.396 | 0.013 | 0.76 | 0.01 | 460 | 23 | 4.1403 |
| 7 TeV | 0.182 | 0.009 | 0.494 | 0.013 | 0.81 | 0.01 | 620 | 31 | 6.0463 |
Disclaimer/Publisher’s Note: The statements, opinions and data contained in all publications are solely those of the individual author(s) and contributor(s) and not of MDPI and/or the editor(s). MDPI and/or the editor(s) disclaim responsibility for any injury to people or property resulting from any ideas, methods, instructions or products referred to in the content. |
© 2023 by the authors. Licensee MDPI, Basel, Switzerland. This article is an open access article distributed under the terms and conditions of the Creative Commons Attribution (CC BY) license (https://creativecommons.org/licenses/by/4.0/).
Share and Cite
Ajaz, M.; Haj Ismail, A.A.K.; Ullah Mian, M.; Khan, R.; Shehzadi, R.; Adil Khan, M.; AbdelKader, A.; Waqas, M.; Dawi, E.A.; Tabassam, U. Charged Particles Transverse Momentum and Pseudorapidity Distribution in Hadronic Collisions at LHC Energies. Entropy 2023, 25, 452. https://doi.org/10.3390/e25030452
Ajaz M, Haj Ismail AAK, Ullah Mian M, Khan R, Shehzadi R, Adil Khan M, AbdelKader A, Waqas M, Dawi EA, Tabassam U. Charged Particles Transverse Momentum and Pseudorapidity Distribution in Hadronic Collisions at LHC Energies. Entropy. 2023; 25(3):452. https://doi.org/10.3390/e25030452
Chicago/Turabian StyleAjaz, Muhammad, Abd Al Karim Haj Ismail, Mateen Ullah Mian, Rashid Khan, Ramoona Shehzadi, Muhammad Adil Khan, Atef AbdelKader, Muhammad Waqas, Elmuez A. Dawi, and Uzma Tabassam. 2023. "Charged Particles Transverse Momentum and Pseudorapidity Distribution in Hadronic Collisions at LHC Energies" Entropy 25, no. 3: 452. https://doi.org/10.3390/e25030452
APA StyleAjaz, M., Haj Ismail, A. A. K., Ullah Mian, M., Khan, R., Shehzadi, R., Adil Khan, M., AbdelKader, A., Waqas, M., Dawi, E. A., & Tabassam, U. (2023). Charged Particles Transverse Momentum and Pseudorapidity Distribution in Hadronic Collisions at LHC Energies. Entropy, 25(3), 452. https://doi.org/10.3390/e25030452

