Records and Occupation Time Statistics for Area-Preserving Maps †
Abstract
1. Introduction
2. The Basic Setting
3. Results
3.1. Diffusion
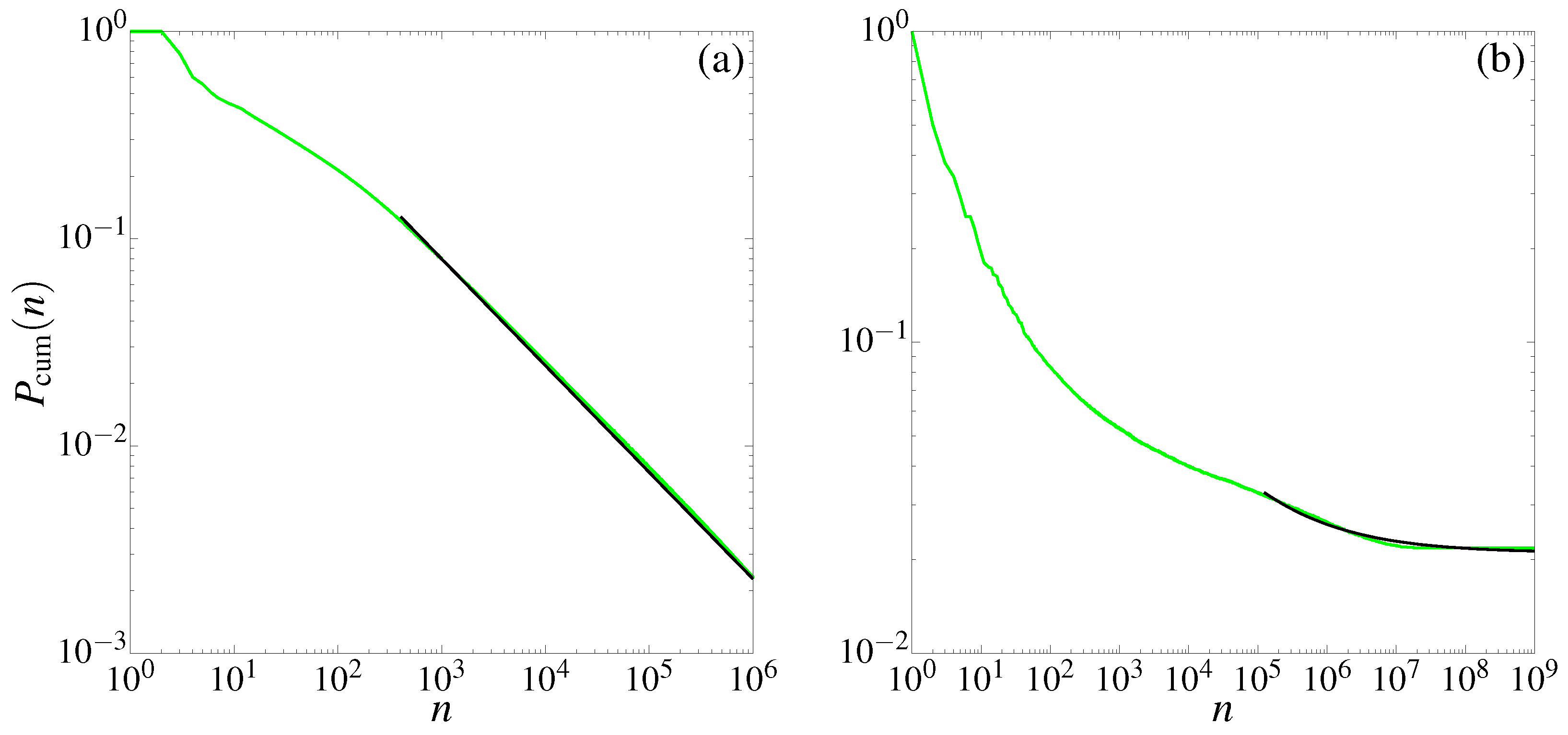
3.2. Average Number of Records
3.3. Occupation Time Statistics
4. Discussion
Author Contributions
Funding
Institutional Review Board Statement
Data Availability Statement
Acknowledgments
Conflicts of Interest
Abbreviations
| SM | Standard map |
| TM | Triangle map |
References
- Lichtenberg, A.J.; Lieberman, M.A. Regular and Chaotic Dynamics; Springer: Berlin, Germany, 1992. [Google Scholar]
- Ott, E. Chaos in Dynamical Systems; CUP: Cambridge, UK, 2002. [Google Scholar]
- Cvitanović, P.; Artuso, R.; Mainieri, R.; Tanner, G.; Vattay, G. Chaos: Classical and Quantum; ChaosBook.org; Niels Bohr Institute: Copenhagen, Denmark, 2020. [Google Scholar]
- Artuso, R.; Burioni, R. Anomalous diffusion: Deterministic and stochastic perspectives. In Large Deviations in Physics; Vulpiani, A., Cecconi, F., Cencini, M., Puglisi, A., Vergni, D., Eds.; Springer: Berlin/Heidelberg, Germany, 2014; pp. 263–293. [Google Scholar]
- Chirikov, B.V.; Shepelyansky, D.L. Chirikov standard map. Scholarpedia 2008, 3, 3550. [Google Scholar] [CrossRef]
- Casati, G.; Chirikov, B.V. (Eds.) Quantum Chaos; OUP: Oxford, UK, 1995. [Google Scholar]
- Bloor, K.; Luzzatto, S. Some remarks on the geometry of the standard map. Int. J. Bifurcat. Chaos 2009, 19, 2213–2232. [Google Scholar] [CrossRef]
- Chirikov, B.V. A universal instability of many dimensional oscillator systems. Phys. Rep. 1979, 52, 263–379. [Google Scholar] [CrossRef]
- MacKay, R.S.; Meiss, J.D.; Percival, I.C. Stochasticity and transport in hamiltonian systems. Phys. Rev. Lett. 1984, 52, 697–700. [Google Scholar] [CrossRef]
- Castiglione, P.; Mazzino, A.; Muratore-Ginanneschi, P.; Vulpiani, A. On strong anomalous diffusion. Phys. D 1999, 134, 75–93. [Google Scholar] [CrossRef]
- Venegeroles, R. Calculation of superdiffusion for the Chirikov-Taylor map. Phys. Rev. Lett. 2008, 101, 054102. [Google Scholar] [CrossRef]
- Manos, R.; Robnik, M. Survey on the role of accelerator modes for anomalous diffusion: The case of the standard map. Phys. Rev. E 2014, 89, 022905. [Google Scholar] [CrossRef]
- Harsoula, M.; Contopoulos, G. Global and local diffusion in the standard map. Phys. Rev. E 2018, 97, 022215. [Google Scholar] [CrossRef]
- Harsoula, M.; Karamanos, K.; Contopoulos, G. Characteristic times in the standard map. Phys. Rev. E 2019, 99, 032203. [Google Scholar] [CrossRef]
- Moges, H.T.; Manos, T.; Skokos, C. Anomalous diffusion in single and coupled standard maps with extensive chaotic phases. Phys. D 2022, 431, 133120. [Google Scholar] [CrossRef]
- Casati, G.; Prosen, T. Triangle map: A model of quantum chaos. Phys. Rev. Lett. 2000, 85, 4261–4264. [Google Scholar] [CrossRef]
- Horvat, M.; Degli Esposti, M.; Isola, S.; Prosen, T.; Bunimovich, L. On ergodic and mixing properties of the triangle map. Phys. D 2009, 238, 395–415. [Google Scholar] [CrossRef]
- Degli Esposti, M.; Galatolo, S. Recurrence near given sets and the complexity of the Casati-Prosen map. Chaos Solitons Fractals 2005, 23, 1275–1284. [Google Scholar] [CrossRef]
- Degli Esposti, M.; O’ Keefe, S.; Winn, B. A semi-classical study of the Casati-Prosen map. Nonlinearity 2005, 14, 1073–1094. [Google Scholar] [CrossRef]
- Wang, J.; Benenti, G.; Casati, G.; Wang, W.-G. Statistical and dynamical properties of the quantum triangle map. J. Phys. A 2022, 55, 234002. [Google Scholar] [CrossRef]
- Aaronson, J. An Introduction to Infinite Ergodic Theory; AMS: Providence, RI, USA, 1997. [Google Scholar]
- Zweimüller, R. Surrey Notes on Infinite Ergodic Theory. Available online: https://mat.univie.ac.at/%7Ezweimueller/PapersAndPreprints.html (accessed on 1 November 2022).
- Rechester, A.B.; White, R.B. Calculation of turbulent diffusion for the Chirikov-Taylor model. Phys. Rev. Lett. 1980, 44, 1586–1589. [Google Scholar] [CrossRef]
- Dana, I.; Murray, N.W.; Percival, I.C. Resonances and diffusion in periodic Hamiltonian maps. Phys. Rev. Lett. 1989, 62, 233–236. [Google Scholar] [CrossRef]
- Ishizaki, R.; Horita, T.; Kobayashi, T.; Mori, H. Anomalous diffusion due to accelerator modes in the standard map. Progr. Theor. Phys. 1991, 85, 1013–1022. [Google Scholar] [CrossRef]
- Benkadda, S.; Kassibrakis, S.; White, R.B.; Zaslavsky, G.M. Self-similarity and transport in the standard map. Phys. Rev. E 1997, 55, 4909–4917. [Google Scholar] [CrossRef]
- Zaslavsky, G.M.; Edelman, M.; Niyazov, B.A. Self-similarity, renormalization, and phase-space nonuniformity of Hamiltonian chaotic dynamics. Chaos 1997, 7, 159–181. [Google Scholar] [CrossRef]
- Kaplan, L.; Heller, E.J. Weak quantum ergodicity. Phys. D 1998, 121, 1–18. [Google Scholar] [CrossRef]
- Casati, G.; Prosen, T. Mixing properties of triangular billiards. Phys. Rev. Lett. 1999, 83, 4728–4732. [Google Scholar] [CrossRef]
- Artuso, R.; Casati, G.; Guarneri, I. Numerical study on ergodic properties of triangular billiards. Phys. Rev. E 1997, 55, 6384–6390. [Google Scholar] [CrossRef]
- Artuso, R. Correlations and spectra of triangular billiards. Phys. D 1997, 109, 1–10. [Google Scholar] [CrossRef]
- Prosen, T.; Žnidariĉ, M. Anomalous diffusion and dynamical localization in polygonal billiards. Phys. Rev. Lett. 2001, 87, 114101. [Google Scholar] [CrossRef]
- Gutkin, E. Billiards in polygons. Phys. D 1986, 19, 311–333. [Google Scholar] [CrossRef]
- Gutkin, E. Billiards in polygons: Survey of recent results. J. Stat. Phys. 1996, 83, 7–26. [Google Scholar] [CrossRef]
- Gutkin, E. Billiard dynamics: A survey with the emphasis on open problems. Regul. Chaotic Dyn. 2003, 8, 1–13. [Google Scholar] [CrossRef]
- Gutkin, E. Billiard dynamics: An updated survey with the emphasis on open problems. Chaos 2012, 22, 026116. [Google Scholar] [CrossRef]
- Alonso, D.; Ruiz, A.; De Vega, I. Transport in polygonal billiards. Phys. D 2004, 187, 184–199. [Google Scholar] [CrossRef]
- Jepps, O.G.; Bianca, C.; Rondoni, L. Onset of diffusive behavior in confined transport systems. Chaos 2008, 18, 013127. [Google Scholar] [CrossRef]
- Sanders, D.P.; Larralde, H. Occurrence of normal and anomalous diffusion in polygonal billiard channels. Phys. Rev. E 2006, 73, 026205. [Google Scholar] [CrossRef] [PubMed]
- Cecconi, F.; Del-Castillo-Negrete, D.; Falcioni, M.; Vulpiani, A. The origin of diffusion: The case of non-chaotic systems. Phys. D 2003, 180, 129–139. [Google Scholar] [CrossRef]
- Cecconi, F.; Cencini, M.; Falcioni, M.; Vulpiani, A. Brownian motion and diffusion: From stochastic processes to chaos and beyond. Chaos 2005, 15, 026102. [Google Scholar] [CrossRef]
- Artuso, R.; Guarneri, I.; Rebuzzini, L. Spectral properties and anomalous transport in a polygonal billiard. Chaos 2000, 10, 189–194. [Google Scholar] [CrossRef]
- Guarneri, I.; Casati, G.; Karle, V. Classical dynamical localization. Phys. Rev. Lett. 2014, 113, 174101. [Google Scholar] [CrossRef]
- Yoshida, K.; Casati, G.; Watanabe, S.; Shudo, A. Sublinear diffusion in the generalized triangle map. Phys. Rev. E 2022, 106, 014206. [Google Scholar] [CrossRef]
- Conze, J.-P.; Gutkin, E. On recurrence and ergodicity for geodesic flows on non-compact periodic polygonal surfaces. Ergod. Theory Dyn. Syst. 2012, 32, 491–515. [Google Scholar] [CrossRef]
- Majumdar, M.N. Universal first-passage properties of discrete-time random walks and Lévy flights on a line: Statistics of the global maximum and records. Phys. A 2010, 389, 4299–4316. [Google Scholar] [CrossRef]
- Godrèche, C.; Majumdar, S.N.; Schehr, G. Record statistics of a strongly correlated time series: Random walks and Lévy flights. J. Phys. A 2017, 50, 333001. [Google Scholar] [CrossRef]
- Feller, W. An Introduction to Probability Theory and Its Applications, Vol. 1; Wiley: New York, NY, USA, 1968. [Google Scholar]
- Feller, W. An Introduction to Probability Theory and Its Applications, Vol. 2; Wiley: New York, NY, USA, 1971. [Google Scholar]
- Rebuzzini, L.; Artuso, R. Higher order statistics in the annulus square billiard: Transport and polyspectra. J. Phys. A 2011, 44, 025101. [Google Scholar] [CrossRef]
- Srivastava, S.C.L.; Lakshminarayan, A.; Jain, S.R. Record statistics in random vectors and quantum chaos. Europhys. Lett. 2013, 101, 10003. [Google Scholar] [CrossRef]
- Srivastava, S.C.L.; Lakshminarayan, A. Records in the classical and quantum standard map. Chaos Solitons Fractals 2015, 74, 67–78. [Google Scholar] [CrossRef]
- Wergen, G. Records in stochastic processes: Theory and applications. J. Phys. A 2013, 46, 223001. [Google Scholar] [CrossRef]
- Nevzorov, V.B. Records: Mathematical Theory; AMS: Providence, RI, USA, 2004. [Google Scholar]
- Sparre Andersen, E. On the fluctuations of sums or random variables I. Math. Scand. 1953, 1, 263–285. [Google Scholar] [CrossRef]
- Sparre Andersen, E. On the fluctuations of sums or random variables II. Math. Scand. 1954, 2, 195–233. [Google Scholar]
- Artuso, R.; Cristadoro, G.; Degli Esposti, M.; Knight, G. Sparre-Andersen theorem with spatiotemporal correlations. Phys. Rev. E 2014, 89, 052111. [Google Scholar] [CrossRef]
- Comtet, A.; Majumdar, S.N. Precise asymptotics for a random walker’s maximum. J. Stat. Mech. 2005, 2005, P06013. [Google Scholar] [CrossRef]
- Mounaix, P.; Majumdar, S.N.; Schehr, G. Asymptotics for the expected maximum of ramndom walks and Lévy flights with a constant drift. J. Stat. Mech. 2018, 2018, 083201. [Google Scholar] [CrossRef]
- Gillis, J. Centrally biased discrete random walk. Q. J. Math. 1956, 7, 144–152. [Google Scholar]
- Serva, M. Scaling behavior for random walks with memory of the largest distance from the origin. Phys. Rev. E 2013, 88, 052141. [Google Scholar] [CrossRef]
- Radice, M.; Onofri, M.; Artuso, R.; Cristadoro, G. Transport properties and ageing for the averaged Lévy-Lorentz gas. J. Phys. A 2020, 53, 025701. [Google Scholar] [CrossRef]
- Singh, P. Extreme value statistics and arcsine laws for heterogeneous diffusion processes. Phys. Rev. E 2022, 105, 024113. [Google Scholar] [CrossRef] [PubMed]
- Artuso, R.; Onofri, M.; Pozzoli, G.; Radice, M. Extreme value statistics of positive recurrent centrally biased random walks. J. Stat. Mech. 2022, 2022, 103209. [Google Scholar] [CrossRef]
- Lamperti, J. An occupation time theorem for a class of stochastic processes. Trans. Am. Math. Soc 1958, 88, 380–387. [Google Scholar] [CrossRef]
- Radice, M.; Onofri, M.; Artuso, R.; Pozzoli, G. Statistics of occupation times and connection to local properties of nonhomogeneous random walks. Phys. Rev. E 2020, 101, 042103. [Google Scholar] [CrossRef]
- Bel, G.; Barkai, E. Weak ergodicity breaking with deterministic dynamics. Europhys. Lett. 2006, 74, 16–21. [Google Scholar] [CrossRef]
- Bray, A.J.; Majumdar, S.N.; Schehr, G. Persistence and first-passage properties in nonequilibrium systems. Adv. Phys. 2013, 62, 225–361. [Google Scholar] [CrossRef]
- Thaler, M. The Dynkin-Lamperti arc-sine laws for measure preserving transformations. Trans. Am. Math. Soc. 1998, 350, 4593–4607. [Google Scholar] [CrossRef]
- Zweimüller, R. Infinite measure preserving transformations with compact first regeneration. J. Anal. Math. 2007, 103, 93–131. [Google Scholar] [CrossRef]
- Huang, J.; Zhao, H. Ultraslow diffusion and weak ergodicity breaking in right triangular billiards. Phys. Rev. E 2017, 95, 032209. [Google Scholar] [CrossRef] [PubMed]
- Thaler, M. A limit theorem for sojourns near indifferent fixed points of one dimensional maps. Ergod. Theory Dyn. Syst. 2002, 22, 1289–1312. [Google Scholar] [CrossRef]
- Akimoto, T. Generalized arcsine law and stable law in an infinite measure dynamical system. J. Stat. Phys. 2008, 132, 171–186. [Google Scholar] [CrossRef]
- Singh, P.; Kundu, A. Generalized ‘arcsine’ laws for run-and-tumble particle in one dimension. J. Stat. Mech. 2019, 2019, 083205. [Google Scholar] [CrossRef]
- Hughes, B.D. Random Walks and Random Environments. Volume I: Random Walks; Clarendon Press: Oxford, UK, 1995. [Google Scholar]
- Barkai, E. Residence time statistics for normal and fractional diffusion in a force field. J. Stat. Phys. 2006, 123, 883–907. [Google Scholar] [CrossRef]
- Corbelli, S.; Giona, M. A continuous archetype of nonuniform chaos in area-preserving dynamical systems. J. Nonlinear Sci. 2005, 15, 387–421. [Google Scholar] [CrossRef]
- MacKay, R.S. Cerbelli and Giona’s map is pseudo-Anosov and nine consequences. J. Nonlinear Sci. 2006, 16, 415–434. [Google Scholar] [CrossRef]
- Artuso, R. Diffusive dynamics and periodic orbits of dynamical sustems. Phys. Lett. A 1991, 160, 528–530. [Google Scholar] [CrossRef]
- Cvitanović, P.; Gaspard, P.; Shreiber, T. Investigation of the Lorentz gas in terms of periodic orbits. Chaos 1992, 2, 85–90. [Google Scholar] [CrossRef]








Disclaimer/Publisher’s Note: The statements, opinions and data contained in all publications are solely those of the individual author(s) and contributor(s) and not of MDPI and/or the editor(s). MDPI and/or the editor(s) disclaim responsibility for any injury to people or property resulting from any ideas, methods, instructions or products referred to in the content. |
© 2023 by the authors. Licensee MDPI, Basel, Switzerland. This article is an open access article distributed under the terms and conditions of the Creative Commons Attribution (CC BY) license (https://creativecommons.org/licenses/by/4.0/).
Share and Cite
Artuso, R.; de Oliveira, T.M.; Manchein, C. Records and Occupation Time Statistics for Area-Preserving Maps. Entropy 2023, 25, 269. https://doi.org/10.3390/e25020269
Artuso R, de Oliveira TM, Manchein C. Records and Occupation Time Statistics for Area-Preserving Maps. Entropy. 2023; 25(2):269. https://doi.org/10.3390/e25020269
Chicago/Turabian StyleArtuso, Roberto, Tulio M. de Oliveira, and Cesar Manchein. 2023. "Records and Occupation Time Statistics for Area-Preserving Maps" Entropy 25, no. 2: 269. https://doi.org/10.3390/e25020269
APA StyleArtuso, R., de Oliveira, T. M., & Manchein, C. (2023). Records and Occupation Time Statistics for Area-Preserving Maps. Entropy, 25(2), 269. https://doi.org/10.3390/e25020269

