Capacity, Collision Avoidance and Shopping Rate under a Social Distancing Regime
Abstract
:1. Introduction
2. The Model and Phase Change
2.1. The Model
2.2. The Equilibrium Phase
3. A Continuous Model
- (i)
- The parameter represents the total shopping time for a customer in an empty store, i.e., one with no other customers. So, should be less than , and considerably so, for the model to be interesting. And represents the number of customers who enter the store per unit of time. Thus,
- (ii)
- Because there will be a continual stream of customers entering the store, the shopping time for the first customer, , should be greater than , so
4. The Dynamics of Store Time
4.1. The Initial Trajectory
4.2. Approach to Equilibrium
5. Design of the Simulations
5.1. Overview
5.2. Simulation Details
- We designed a 30 m by 30 m store with a 10 m by 10 m display counter in the centre. The shopping points can occur along all four store walls and all four edges of the display counter.
- The number of items on the shopping list of each customer follows a normal distribution with a mean of 15 and a variance of 2. These items are spatially distributed uniformly and randomly along the walls and display case.
- To avoid freezing around the entrance, each shopper’s trajectory is initiated at one of her shopping points, chosen at random. Every customer will go to this shopping point first, then complete the original shopping list as described below. This is implemented primarily to avoid the repeated premature termination of simulations, but it may also be interpreted as the customer’s desire to avoid waiting for her first shopping point if there are too many customers.
- After each shopping point, including the first one, the customer chooses the nearest line-of-sight shopping point remaining on her unfinished shopping list, if there is one, to be the next shopping point. The customer will follow a straight line between her current location and next shopping point.
- Customers’ walking speed is set at 0.3 m per s. If the customer approaches a shopping point and the distance between her and the shopping point is smaller than 0.3 m, then her next step is set to be this shopping point. Customers spend 15 s at every shopping point.
- If none of the remaining items on her list are in the line of sight, as they may be obscured by the display table, the customer walks in a straight line to the next corner of the display table and then proceeds to the nearest visible shopping point.
- With the motivation for this work being the impact on store management under a social distancing regime during the COVID-19 pandemic, the maintenance of physical distance is of paramount importance. The simulation is designed so that customers cannot get within two meters of each other.
- To maintain the two-meter social distance, the customers follow a number of rules to avoid infringing on each other’s space. If a step were to move a customer to within two metres of another person, this step is not taken. Instead, the program consults the other person’s projected trajectory in relation to the current customer. According to which of four quadrants that movement is projected to be, the current customer chooses right (R), left (L), back (B) or wait (W) with the given probabilities, as in Figure 15. If an R, L or B move were to cross a wall or a display edge, it is replaced by W. If the customer chooses B, a number s of steps backward will be randomly taken with a probability of .
- At each point in time, the movement of the customers is calculated sequentially, in the order they entered the store.
5.3. Reducing the Quadratic Coefficient for Collision Detection
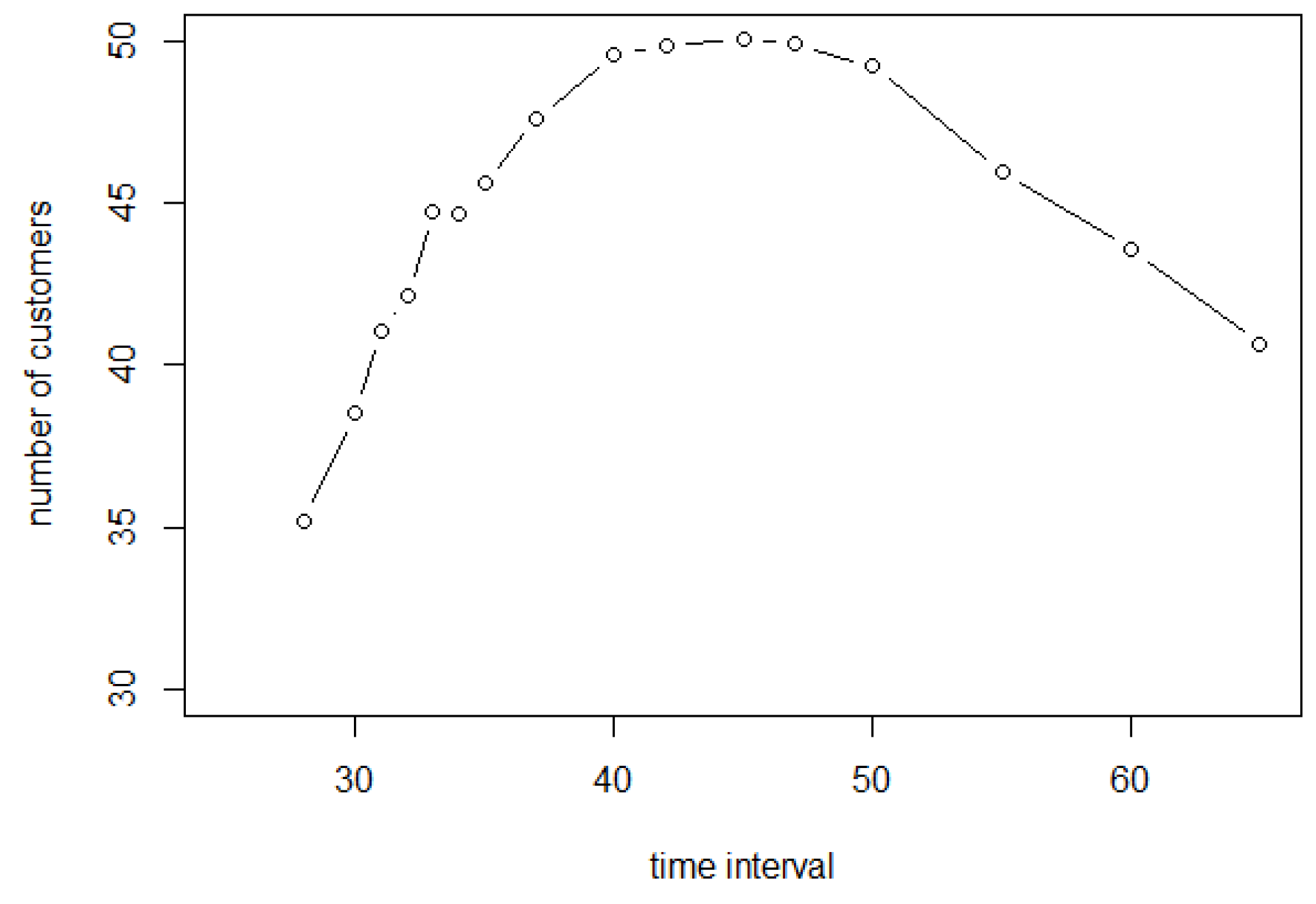
6. Results
Accessibility
7. Conclusions
Author Contributions
Funding
Data Availability Statement
Conflicts of Interest
References
- Chang, S.; Pierson, E.; Koh, P.; Gerardin, J.; Redbird, B.; Grusky, F.; Leskovec, J. Mobility network models of COVID-19 explain inequities and inform reopening. Nature 2020, 589, 82–87. [Google Scholar] [CrossRef]
- Ntounis, N.; Mumford, C.; Loroño-Leturiondo, M.; Parker, C.; Still, K. How safe is it to shop? Estimating the amount of space needed to safely social distance in various retail environments. Saf. Sci. 2020, 132, 104985. [Google Scholar] [CrossRef]
- Echeverría-Huarte, I.; Garcimartín, A.; Hidalgo, R.; Martín-Gómez, C.; Zuriguel, I. Estimating density limits for walking pedestrians keeping a safe interpersonal distancing. Sci. Rep. 2021, 11, 1534. [Google Scholar] [CrossRef] [PubMed]
- Harweg, T.; Bachmann, D.; Weichert, F. Agent-based simulation of pedestrian dynamics for exposure time estimation in epidemic risk assessment. J. Public Health 2021, 3, 1–8. [Google Scholar] [CrossRef] [PubMed]
- Mayr, C.M.; Köster, G. Social distancing with the optimal steps model. arXiv 2020, arXiv:2007.01634. [Google Scholar] [CrossRef]
- Little, J.D.C.; Graves, S.C. Little’s Law. In Building Intuition: Insights From Basic Operations Management Models and Principles; Springer US: Boston, MA, USA, 2008; pp. 81–100. [Google Scholar] [CrossRef]
- Wikipedia. Little’s Law. 2021. Available online: https://en.wikipedia.org/wiki/Little’s_law (accessed on 30 October 2023).
- Muramatsu, M.; Nagatani, T. Jamming transition in two-dimensional pedestrian traffic. Phys. A Stat. Mech. Its Appl. 2000, 275, 281–291. [Google Scholar] [CrossRef]
- Kouskoulisa, G.; Spyropouloua, J.; Antoniou, C. Pedestrian simulation: Theoretical models vs. data driven techniques. Int. J. Transp. Sci. Technol. 2018, 7, 241–253. [Google Scholar] [CrossRef]
- Nagatani, T.; Ichinose, G.; Tainaka, K. Traffic jams induce dynamical phase transition in spatialrock–paper–scissors game. Phys. A Stat. Mech. Its Appl. 2018, 492, 1081–1087. [Google Scholar] [CrossRef]
- Kleinmeier, V.; Zönnchen, B.; Gödel, M.; Köster, G. Vadere: An open-source simulation framework to promote interdisciplinary understanding. arXiv 2019, arXiv:1907.09520. [Google Scholar] [CrossRef]
- Lopez, P.A.; Behrisch, M.; Bieker-Walz, L.; Erdmann, J.; Flötteröd, Y.P.; Hilbrich, R.; Lücken, L.; Rummel, J.; Wagner, P.; Wiessner, E. Microscopic Traffic Simulation using SUMO. In Proceedings of the 2018 21st International Conference on Intelligent Transportation Systems (ITSC), Maui, HI, USA, 4–7 November 2018; pp. 2575–2582. [Google Scholar] [CrossRef]




















Disclaimer/Publisher’s Note: The statements, opinions and data contained in all publications are solely those of the individual author(s) and contributor(s) and not of MDPI and/or the editor(s). MDPI and/or the editor(s) disclaim responsibility for any injury to people or property resulting from any ideas, methods, instructions or products referred to in the content. |
© 2023 by the authors. Licensee MDPI, Basel, Switzerland. This article is an open access article distributed under the terms and conditions of the Creative Commons Attribution (CC BY) license (https://creativecommons.org/licenses/by/4.0/).
Share and Cite
Zhong, H.; Sankoff, D. Capacity, Collision Avoidance and Shopping Rate under a Social Distancing Regime. Entropy 2023, 25, 1668. https://doi.org/10.3390/e25121668
Zhong H, Sankoff D. Capacity, Collision Avoidance and Shopping Rate under a Social Distancing Regime. Entropy. 2023; 25(12):1668. https://doi.org/10.3390/e25121668
Chicago/Turabian StyleZhong, Haitian, and David Sankoff. 2023. "Capacity, Collision Avoidance and Shopping Rate under a Social Distancing Regime" Entropy 25, no. 12: 1668. https://doi.org/10.3390/e25121668
APA StyleZhong, H., & Sankoff, D. (2023). Capacity, Collision Avoidance and Shopping Rate under a Social Distancing Regime. Entropy, 25(12), 1668. https://doi.org/10.3390/e25121668

