Image Encryption Using Quantum 3D Mobius Scrambling and 3D Hyper-Chaotic Henon Map
Abstract
:1. Introduction
- 1.
- A quantum image-scrambling algorithm is created based on the 3D Mobius transform, which has a pixel-level scrambling effect and performs better than the quantum Arnold/Fibonacci transform.
- 2.
- A quantum image encryption scheme is suggested by combining quantum 3D Mobius scrambling with XOR diffusion. The quantum circuits for encryption operation are designed.
- 3.
- To obtain the desired encryption effect, the scrambling and diffusion operations are controlled by sequences generated by the 3D hyper-chaotic Henon map. The security of our encryption scheme is enhanced by the randomness and unpredictability of chaotic sequences.
- 4.
- Simulation results and comparative analysis demonstrate that our designed encryption scheme exhibits significant reliability and security.
2. Preliminaries
2.1. QRCI Image Representation Model
2.2. Quantum Modules
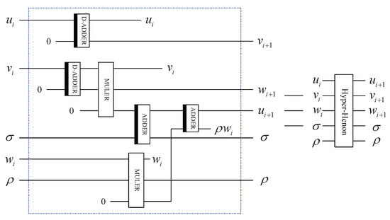
2.3. 3D Hyper-Chaotic Henon Map
3. Three-Dimensional (3D) Mobius Quantum Image-Scrambling Algorithm
3.1. Two-Dimensional (2D) Mobius Transform
3.2. Three-Dimensional (3D) Mobius Scrambling Algorithm
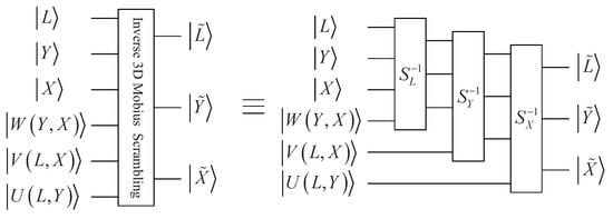
3.3. The Quantum Circuit of 3D Mobius Scrambling
3.4. Scrambling Result and Anti-Attack Ability Analysis
4. Encryption and Decryption Scheme
4.1. Encryption Scheme
4.2. Decryption Scheme
5. Numerical Simulation and Comparative Analysis
5.1. Visual Effects
5.2. Histogram Analysis
5.3. Encryption Quality Analysis
- (1)
- Uniform histogram deviation
- (2)
- Irregular deviation
- (3)
- Maximum deviation
5.4. Correlation Analysis
5.5. Information Entropy
5.6. Spectrum Analysis
5.7. Key Sensitivity and Key Space
5.8. Noise Attack and Cutting Attack
5.9. Computational Complexity
5.10. Performance Comparison
6. Conclusions
Author Contributions
Funding
Institutional Review Board Statement
Informed Consent Statement
Data Availability Statement
Conflicts of Interest
References
- Deutsch, D. Quantum theory, the Church–Turing principle and the universal quantum computer. Proc. R. Soc. London. Math. Phys. Sci. 1985, 400, 97–117. [Google Scholar]
- Gisin, N.; Ribordy, G.; Tittel, W.; Zbinden, H. Quantum cryptography. Rev. Mod. Phys. 2002, 74, 145. [Google Scholar] [CrossRef]
- Flamini, F.; Spagnolo, N.; Sciarrino, F. Photonic quantum information processing: A review. Rep. Prog. Phys. 2018, 82, 016001. [Google Scholar] [CrossRef] [PubMed]
- Wendin, G. Quantum information processing with superconducting circuits: A review. Rep. Prog. Phys. 2017, 80, 106001. [Google Scholar] [CrossRef]
- Zhou, N.R.; Tong, L.J.; Zou, W.P. Multi-image encryption scheme with quaternion discrete fractional Tchebyshev moment transform and cross-coupling operation. Signal Process. 2023, 211, 109107. [Google Scholar] [CrossRef]
- Gong, L.H.; Luo, H.X. Dual color images watermarking scheme with geometric correction based on quaternion FrOOFMMs and LS-SVR. Opt. Laser Technol. 2023, 167, 109665. [Google Scholar] [CrossRef]
- Ruan, Y.; Xue, X.; Shen, Y. Quantum image processing: Opportunities and challenges. Math. Probl. Eng. 2021, 2021, 1–8. [Google Scholar] [CrossRef]
- Yan, F.; Iliyasu, A.M.; Venegas-Andraca, S.E. A survey of quantum image representations. Quantum Inf. Process. 2016, 15, 1–35. [Google Scholar] [CrossRef]
- Venegas-Andraca, S.E.; Bose, S. Storing, processing, and retrieving an image using quantum mechanics. In Proceedings of the Quantum Information and Computation. SPIE, Orlando, FL, USA, 21–22 April 2003; Volume 5105, pp. 137–147. [Google Scholar]
- Latorre, J.I. Image compression and entanglement. arXiv 2005, arXiv:quant-ph/0510031. [Google Scholar]
- Le, P.Q.; Dong, F.; Hirota, K. A flexible representation of quantum images for polynomial preparation, image compression, and processing operations. Quantum Inf. Process. 2011, 10, 63–84. [Google Scholar] [CrossRef]
- Zhang, Y.; Lu, K.; Gao, Y.; Wang, M. NEQR: A novel enhanced quantum representation of digital images. Quantum Inf. Process. 2013, 12, 2833–2860. [Google Scholar] [CrossRef]
- Zhang, Y.; Lu, K.; Gao, Y.; Xu, K. A novel quantum representation for log-polar images. Quantum Inf. Process. 2013, 12, 3103–3126. [Google Scholar] [CrossRef]
- Li, H.S.; Zhu, Q.; Zhou, R.G.; Song, L.; Yang, X.j. Multi-dimensional color image storage and retrieval for a normal arbitrary quantum superposition state. Quantum Inf. Process. 2014, 13, 991–1011. [Google Scholar] [CrossRef]
- Sang, J.; Wang, S.; Li, Q. A novel quantum representation of color digital images. Quantum Inf. Process. 2017, 16, 42. [Google Scholar] [CrossRef]
- Li, H.S.; Fan, P.; Xia, H.Y.; Peng, H.; Song, S. Quantum implementation circuits of quantum signal representation and type conversion. IEEE Trans. Circuits Syst. Regul. Pap. 2018, 66, 341–354. [Google Scholar] [CrossRef]
- Grigoryan, A.M.; Agaian, S.S. New look on quantum representation of images: Fourier transform representation. Quantum Inf. Process. 2020, 19, 148. [Google Scholar] [CrossRef]
- Chen, G.L.; Song, X.H.; Venegas-Andraca, S.E.; Abd El-Latif, A.A. QIRHSI: Novel quantum image representation based on HSI color space model. Quantum Inf. Process. 2022, 21, 5. [Google Scholar] [CrossRef]
- Wang, L.; Ran, Q.; Ma, J.; Yu, S.; Tan, L. QRCI: A new quantum representation model of color digital images. Opt. Commun. 2019, 438, 147–158. [Google Scholar] [CrossRef]
- Zhou, R.G.; Wu, Q.; Zhang, M.Q.; Shen, C.Y. Quantum image encryption and decryption algorithms based on quantum image geometric transformations. Int. J. Theor. Phys. 2013, 52, 1802–1817. [Google Scholar] [CrossRef]
- Song, X.H.; Wang, S.; Abd El-Latif, A.A.; Niu, X.M. Quantum image encryption based on restricted geometric and color transformations. Quantum Inf. Process. 2014, 13, 1765–1787. [Google Scholar] [CrossRef]
- Zhou, N.R.; Hua, T.X.; Gong, L.H.; Pei, D.J.; Liao, Q.H. Quantum image encryption based on generalized Arnold transform and double random-phase encoding. Quantum Inf. Process. 2015, 14, 1193–1213. [Google Scholar] [CrossRef]
- Zhou, N.; Hu, Y.; Gong, L.; Li, G. Quantum image encryption scheme with iterative generalized Arnold transforms and quantum image cycle shift operations. Quantum Inf. Process. 2017, 16, 164. [Google Scholar] [CrossRef]
- Gong, L.H.; He, X.T.; Cheng, S.; Hua, T.X.; Zhou, N.R. Quantum image encryption algorithm based on quantum image XOR operations. Int. J. Theor. Phys. 2016, 55, 3234–3250. [Google Scholar] [CrossRef]
- Wang, H.; Wang, J.; Geng, Y.C.; Song, Y.; Liu, J.Q. Quantum image encryption based on iterative framework of frequency-spatial domain transforms. Int. J. Theor. Phys. 2017, 56, 3029–3049. [Google Scholar] [CrossRef]
- Li, H.S.; Li, C.; Chen, X.; Xia, H. Quantum image encryption based on phase-shift transform and quantum Haar wavelet packet transform. Mod. Phys. Lett. 2019, 34, 1950214. [Google Scholar] [CrossRef]
- Liu, X.; Xiao, D.; Liu, C. Quantum image encryption algorithm based on bit-plane permutation and sine logistic map. Quantum Inf. Process. 2020, 19, 239. [Google Scholar] [CrossRef]
- Zhang, J.; Huang, Z.; Li, X.; Wu, M.; Wang, X.; Dong, Y. Quantum image encryption based on quantum image decomposition. Int. J. Theor. Phys. 2021, 60, 2930–2942. [Google Scholar] [CrossRef]
- Song, X.; Chen, G.; Abd El-Latif, A.A. Quantum color image encryption scheme based on geometric transformation and intensity channel diffusion. Mathematics 2022, 10, 3038. [Google Scholar] [CrossRef]
- Liu, X.; Liu, C. Quantum image encryption scheme using independent bit-plane permutation and Baker map. Quantum Inf. Process. 2023, 22, 262. [Google Scholar] [CrossRef]
- Gao, J.; Wang, Y.; Song, Z.; Wang, S. Quantum Image Encryption Based on Quantum DNA Codec and Pixel-Level Scrambling. Entropy 2023, 25, 865. [Google Scholar] [CrossRef]
- Jiang, N.; Wu, W.Y.; Wang, L. The quantum realization of Arnold and Fibonacci image scrambling. Quantum Inf. Process. 2014, 13, 1223–1236. [Google Scholar] [CrossRef]
- Jiang, N.; Wang, L.; Wu, W.Y. Quantum Hilbert image scrambling. Int. J. Theor. Phys. 2014, 53, 2463–2484. [Google Scholar] [CrossRef]
- Hou, C.; Liu, X.; Feng, S. Quantum image scrambling algorithm based on discrete Baker map. Mod. Phys. Lett. A 2020, 35, 2050145. [Google Scholar] [CrossRef]
- Vedral, V.; Barenco, A.; Ekert, A. Quantum networks for elementary arithmetic operations. Phys. Rev. A 1996, 54, 147. [Google Scholar] [CrossRef]
- Lu, X.; Jiang, N.; Hu, H.; Ji, Z. Quantum adder for superposition states. Int. J. Theor. Phys. 2018, 57, 2575–2584. [Google Scholar] [CrossRef]
- Kotiyal, S.; Thapliyal, H.; Ranganathan, N. Circuit for reversible quantum multiplier based on binary tree optimizing ancilla and garbage bits. In Proceedings of the 2014 27th International Conference on VLSI Design and 2014 13th International Conference on Embedded Systems, Mumbai, India, 5–9 January 2014; pp. 545–550. [Google Scholar]
- Li, H.S.; Fan, P.; Xia, H.; Peng, H.; Long, G.L. Efficient quantum arithmetic operation circuits for quantum image processing. Sci. China Phys. Mech. Astron. 2020, 63, 280311. [Google Scholar] [CrossRef]
- Anandkumar, R.; Kalpana, R. Designing a fast image encryption scheme using fractal function and 3D Henon map. J. Inf. Secur. Appl. 2019, 49, 102390. [Google Scholar] [CrossRef]
- Wang, L.; Ran, Q.; Ding, J. Quantum Color Image Encryption Scheme Based on 3D Non-Equilateral Arnold Transform and 3D Logistic Chaotic Map. Int. J. Theor. Phys. 2023, 62, 36. [Google Scholar] [CrossRef]
- Wang, L.; Ran, Q.; Ma, J. Double quantum color images encryption scheme based on DQRCI. Multimed. Tools Appl. 2020, 79, 6661–6687. [Google Scholar] [CrossRef]
- Zhou, N.R.; Hu, L.L.; Huang, Z.W.; Wang, M.M.; Luo, G.S. Novel multiple color images encryption and decryption scheme based on a bit-level extension algorithm. Expert Syst. Appl. 2024, 238, 122052. [Google Scholar] [CrossRef]
- Ran, Q.; Wang, L.; Ma, J.; Tan, L.; Yu, S. A quantum color image encryption scheme based on coupled hyper-chaotic Lorenz system with three impulse injections. Quantum Inf. Process. 2018, 17, 1–30. [Google Scholar] [CrossRef]
- Wang, J.; Geng, Y.C.; Han, L.; Liu, J.Q. Quantum image encryption algorithm based on quantum key image. Int. J. Theor. Phys. 2019, 58, 308–322. [Google Scholar] [CrossRef]
- Wang, X.; Su, Y.; Luo, C.; Nian, F.; Teng, L. Color image encryption algorithm based on hyperchaotic system and improved quantum revolving gate. Multimed. Tools Appl. 2022, 81, 13845–13865. [Google Scholar] [CrossRef]
- Liu, X. Quantum image encryption based on Baker map and DNA circular shift operation. Phys. Scr. 2023, 98, 115112. [Google Scholar] [CrossRef]
























| Peppers | Original | Scrambled | ||||
|---|---|---|---|---|---|---|
| Horizontal | Vertical | Diagonal | Horizontal | Vertical | Diagonal | |
| R | 0.9704 | 0.9646 | 0.9400 | 0.0114 | 0.0103 | 0.0119 |
| G | 0.9740 | 0.9698 | 0.9470 | −0.0091 | 0.0062 | −0.0077 |
| B | 0.9645 | 0.9534 | 0.9261 | 0.0046 | 0.0065 | 0.0068 |
| Scrambled Peppers | Horizontal | Vertical | Diagonal |
|---|---|---|---|
| 1 time | 0.9704 | 0.8369 | 0.7654 |
| 3 times | 0.6275 | 0.2013 | 0.0708 |
| 16 times | 0.0724 | 0.0724 | 0.0176 |
| 96 times | 0.0285 | 0.0170 | 0.0129 |
| Image | Original | Encrypted | ||||
|---|---|---|---|---|---|---|
| R | G | B | R | G | B | |
| Lena | 238.2891 | 254.7422 | 261.3984 | |||
| Baboon | 278.2109 | 241.6875 | 265.4297 | |||
| Splash | 240.6875 | 266.0469 | 255.7109 | |||
| House | 236.0391 | 228.6563 | 279.2969 | |||
| Encrypted Image | R | G | B | |
|---|---|---|---|---|
| Lena | UHD | 0.0508 | 0.0391 | 0.0859 |
| ID | 19843 | 22798 | 32022 | |
| MD | 253 | 249 | 254 | |
| Baboon | UHD | 0.0156 | 0.0547 | 0.0469 |
| ID | 17562 | 11876 | 18396 | |
| MD | 250 | 233 | 249 | |
| Splash | UHD | 0.0391 | 0.0547 | 0.0352 |
| ID | 35399 | 40164 | 66062 | |
| MD | 240 | 255 | 240 | |
| House | UHD | 0.0820 | 0.0742 | 0.0313 |
| ID | 25663 | 27041 | 32412 | |
| MD | 233 | 243 | 246 |
| Image | Horizontal | Vertical | Diagonal | |||
|---|---|---|---|---|---|---|
| Original | Encrypted | Original | Encrypted | Original | Encrypted | |
| Lena (R) | 0.9718 | 0.0043 | 0.9668 | −0.0026 | 0.9343 | 0.0017 |
| Lena (G) | 0.9644 | 0.0041 | 0.9534 | 0.0055 | 0.9139 | 0.0041 |
| Lena (B) | 0.9538 | −0.0018 | 0.9490 | −0.0025 | 0.9113 | −0.0043 |
| Baboon (R) | 0.9270 | −0.0031 | 0.9462 | −0.0038 | 0.9117 | 0.0011 |
| Baboon (G) | 0.8450 | −0.0036 | 0.8689 | −0.0011 | 0.7952 | 0.0023 |
| Baboon (B) | 0.9113 | 0.0029 | 0.9207 | 0.0012 | 0.8709 | 0.0068 |
| Splash (R) | 0.9971 | −0.0021 | 0.9861 | 0.0019 | 0.9857 | −0.0051 |
| Splash (G) | 0.9805 | 0.0049 | 0.9690 | 0.0041 | 0.9516 | 0.0052 |
| Splash (B) | 0.9719 | −0.0056 | 0.9675 | −0.0036 | 0.9485 | 0.0012 |
| House (R) | 0.9354 | 0.0034 | 0.9369 | −0.0040 | 0.8811 | 0.0033 |
| House (G) | 0.9300 | 0.0013 | 0.9164 | −0.0019 | 0.8575 | 0.0018 |
| House (B) | 0.9586 | 0.0050 | 0.9608 | 0.0049 | 0.9138 | 0.0052 |
| Image | Original | Encrypted | ||||
|---|---|---|---|---|---|---|
| R | G | B | R | G | B | |
| Lena | 7.6353 | 7.2778 | 7.0656 | 7.9974 | 7.9972 | 7.9971 |
| Baboon | 7.6058 | 7.3581 | 7.6665 | 7.9970 | 7.9973 | 7.9971 |
| Splash | 6.9417 | 6.9045 | 6.0601 | 7.9974 | 7.9971 | 7.9972 |
| House | 7.4025 | 7.2317 | 7.4280 | 7.9974 | 7.9975 | 7.9969 |
| Image | Red | Green | Blue |
|---|---|---|---|
| Baboon () | |||
| Enc-Baboon | 931.3 | 907.2 | 1175.6 |
| Ref. [29] | 1333.1 | ||
| Ref. [45] | 1130.8 | ||
| Splash () | |||
| Enc-Splash | 1038.7 | 1048.6 | 1049.4 |
| Ref. [29] | 1164.3 | ||
| Peppers () | |||
| Enc-Peppers | 1142.2 | 1031.8 | 950.3 |
| Ref. [45] | 4155.3 | ||
| Lena () | |||
| Enc-Lena | 238.3 | 254.7 | 261.4 |
| Ref. [40] | 242.8 | 262.1 | 284.9 |
| Ref. [45] | 273.3 |
| Image | Horizontal | Vertical | Diagonal |
|---|---|---|---|
| Enc-Peppers (R) | 0.0044 | −0.0033 | 0.0026 |
| Enc-Peppers (G) | 0.0021 | −0.0002 | 0.0036 |
| Enc-Peppers (B) | 0.0048 | 0.0022 | −0.0019 |
| Ref. [29] | −0.0067 | −0.0038 | 0.0063 |
| Ref. [46] | −0.0036 | −0.0539 | 0.0455 |
| Enc-Lena (R) | 0.0043 | −0.0026 | 0.0017 |
| Enc-Lena (G) | 0.0041 | 0.0055 | 0.0041 |
| Enc-Lena (B) | −0.0018 | −0.0025 | −0.0043 |
| Ref. [40] (R) | 0.0029 | −0.0033 | 0.0019 |
| Ref. [40] (G) | −0.0025 | −0.0059 | 0.0013 |
| Ref. [40] (B) | −0.0063 | 0.0046 | −0.0036 |
| Ref. [45] (R) | −0.0006 | −0.0049 | 0.0070 |
| Ref. [45] (G) | 0.0025 | −0.0051 | 0.0020 |
| Ref. [45] (B) | 0.0046 | 0.0019 | 0.0047 |
Disclaimer/Publisher’s Note: The statements, opinions and data contained in all publications are solely those of the individual author(s) and contributor(s) and not of MDPI and/or the editor(s). MDPI and/or the editor(s) disclaim responsibility for any injury to people or property resulting from any ideas, methods, instructions or products referred to in the content. |
© 2023 by the authors. Licensee MDPI, Basel, Switzerland. This article is an open access article distributed under the terms and conditions of the Creative Commons Attribution (CC BY) license (https://creativecommons.org/licenses/by/4.0/).
Share and Cite
Wang, L.; Ran, Q.; Ding, J. Image Encryption Using Quantum 3D Mobius Scrambling and 3D Hyper-Chaotic Henon Map. Entropy 2023, 25, 1629. https://doi.org/10.3390/e25121629
Wang L, Ran Q, Ding J. Image Encryption Using Quantum 3D Mobius Scrambling and 3D Hyper-Chaotic Henon Map. Entropy. 2023; 25(12):1629. https://doi.org/10.3390/e25121629
Chicago/Turabian StyleWang, Ling, Qiwen Ran, and Junrong Ding. 2023. "Image Encryption Using Quantum 3D Mobius Scrambling and 3D Hyper-Chaotic Henon Map" Entropy 25, no. 12: 1629. https://doi.org/10.3390/e25121629
APA StyleWang, L., Ran, Q., & Ding, J. (2023). Image Encryption Using Quantum 3D Mobius Scrambling and 3D Hyper-Chaotic Henon Map. Entropy, 25(12), 1629. https://doi.org/10.3390/e25121629

