Random Lasers as Social Processes Simulators
Abstract
1. Introduction
2. Materials and Methods
2.1. Network Architectures
2.2. What Lasers Do We Need for the Solaser Simulator?
2.2.1. Random Lasers
2.2.2. Superradiant Lasers
3. Results
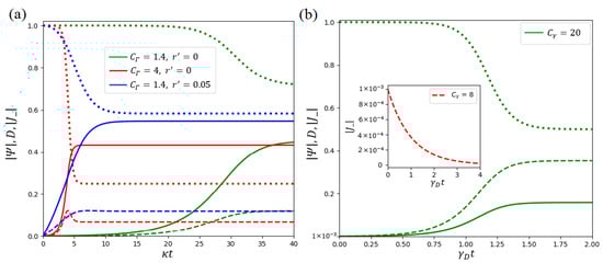
3.1. Mean-Field Equations for Solaser Simulators
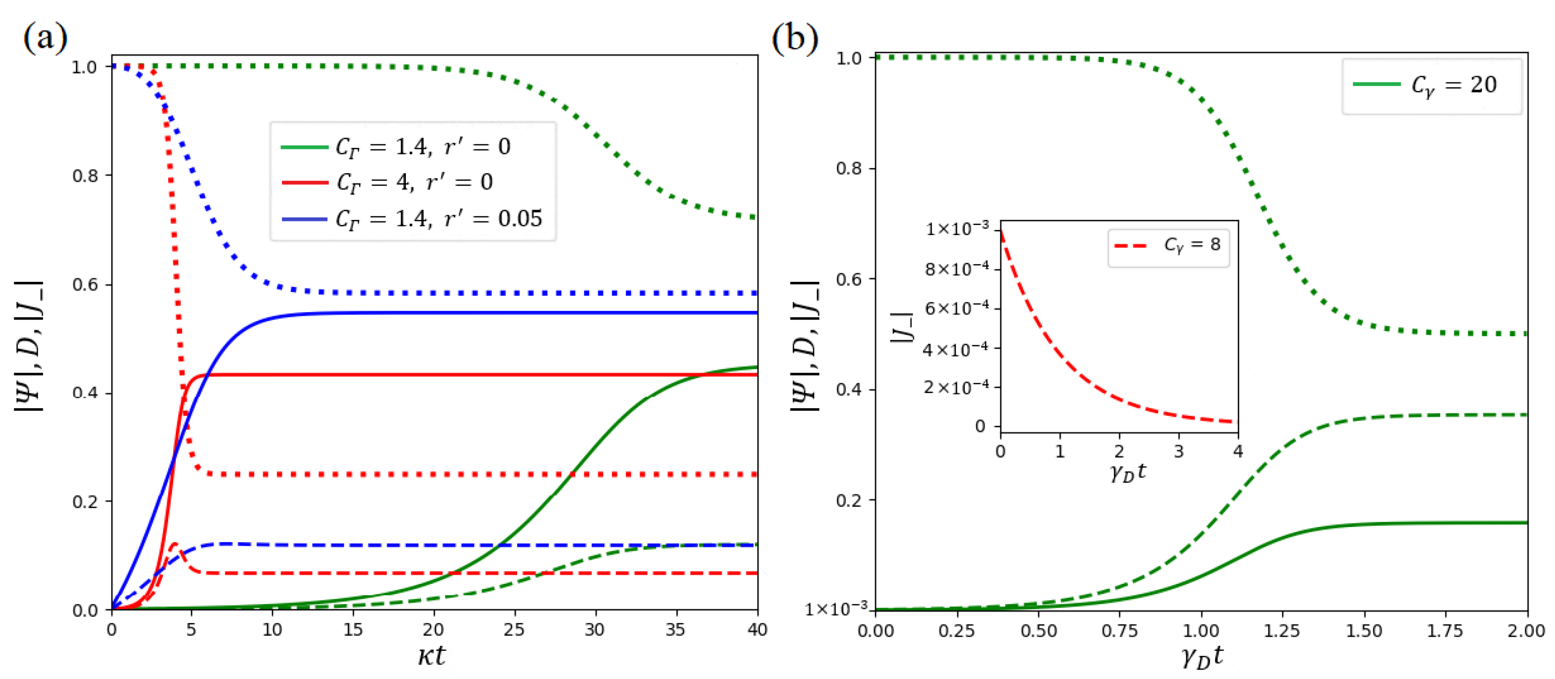
3.2. A-Class Laser Simulator
3.3. D-Class Superradiant Laser Simulator
4. Discussion
Author Contributions
Funding
Data Availability Statement
Conflicts of Interest
Abbreviations
| AIA | Artificial intelligence agent |
| DM | Decision making |
| GKSL | Gorini–Kossakowski–Sudarshan–Lindblad |
| NEC | Network enforced cooperativity |
| NIA | Natural intelligence agent |
| PLDD | Power-law degree distribution |
| Solaser | Social laser |
| TLS | Two-level system |
References
- Mohseni, N.; McMahon, P.; Byrnes, T. Ising machines as hardware solvers of combinatorial optimization problems. Nat. Rev. Phys. 2022, 4, 363–379. [Google Scholar] [CrossRef]
- Karp, R.M. Reducibility among Combinatorial Problems; Springer: New York, NY, USA, 1972; pp. 85–103. [Google Scholar]
- Tanahashi, K.; Takayanagi, S.; Motohashi, T.; Tanaka, S. Application of Ising Machines and a Software Development for Ising Machines. J. Phys. Soc. Jpn. 2019, 88, 061010. [Google Scholar] [CrossRef]
- Lucas, A. Ising formulations of many NP problems. Front. Phys. 2014, 2, 5. [Google Scholar] [CrossRef]
- Böhm, F.; Alonso-Urquijo, D.; Verschaffelt, G.; Van der Sande, G. Noise-injected analog Ising machines enable ultrafast statistical sampling and machine learning. Nat. Commun. 2022, 13, 2847. [Google Scholar] [CrossRef] [PubMed]
- Zhang, Y.; Deng, Y.; Lin, Y.; Jiang, Y.; Dong, Y.; Chen, X.; Wang, G.; Shang, D.; Wang, Q.; Yu, H.; et al. Oscillator-Network-Based Ising Machine. Micromachines 2022, 13, 1016. [Google Scholar] [CrossRef] [PubMed]
- Tatsumura, K.; Yamasaki, M.; Goto, H. Scaling out Ising machines using a multi-chip architecture for simulated bifurcation. Nat. Electron. 2021, 4, 208–217. [Google Scholar] [CrossRef]
- Honjo, T.; Sonobe, T.; Inaba, K.; Inagaki, T.; Ikuta, T.; Yamada, Y.; Kazama, T.; Enbutsu, K.; Umeki, T.; Kasahara, R.; et al. 100,000-spin coherent Ising machine. Sci. Adv. 2021, 7, eabh0952. [Google Scholar] [CrossRef] [PubMed]
- Takemoto, T.; Hayashi, M.; Yoshimura, C.; Yamaoka, M. A 2 × 30k-Spin Multi-Chip Scalable CMOS Annealing Processor Based on a Processing-in-Memory Approach for Solving Large-Scale Combinatorial Optimization Problems. IEEE J.-Solid-State Circuits 2020, 55, 145–156. [Google Scholar] [CrossRef]
- Guleva, V.; Shikov, E.; Bochenina, K.; Kovalchuk, S.; Alodjants, A.; Boukhanovsky, A. Emerging complexity in distributed intelligent systems. Entropy 2020, 22, 1437. [Google Scholar] [CrossRef]
- Lin Tom, C. A Behavioral Framework for Securities Risk. Seattle UL Rev. 2010, 34, 325. [Google Scholar]
- Bagarello, F.; Haven, E. The role of information in a two-traders market. Phys. Stat. Mech. Its Appl. 2014, 404, 224. [Google Scholar] [CrossRef][Green Version]
- Fama, E.F. Efficient Capital Markets: A Review of Theory and Empirical Work. J. Financ. 1970, 25, 383. [Google Scholar] [CrossRef]
- Weidlich, W. Mean field solution of the Ising model on a Barabási–Albert network. Phys. Lett. A 2002, 303, 166–168. [Google Scholar]
- Lee, S.H.; Ha, M.; Jeong, H.; Noh, J.D.; Park, H. Critical behavior of the Ising model in annealed scale-free networks. Phys. Rev. E 2009, 80, 051127. [Google Scholar] [CrossRef] [PubMed]
- Dorogovtsev, S.N.; Goltsev, A.V.; Mendes, J.F. Critical phenomena in complex networks. Rev. Mod. Phys. 2008, 80, 1275. [Google Scholar] [CrossRef]
- Stauffer, D. Social applications of two-dimensional Ising models. Am. J. Phys. 2008, 76, 470–473. [Google Scholar] [CrossRef]
- Holovatch, Y. Order, Disorder And Criticality-Advanced Problems of Phase Transition Theory; World Scientific: Singapore, 2017; Volume 5. [Google Scholar]
- Kohring, G.A. Ising models of social impact: The role of cumulative advantage. J. Phys. I 1996, 6, 301–308. [Google Scholar] [CrossRef]
- Holyst, J.A.; Kacperski, K.; Schweitzer, F. Phase transitions in social impact models of opinion formation. Phys. Stat. Mech. Its Appl. 2000, 285, 199–210. [Google Scholar] [CrossRef]
- Pastor-Satorras, R.; Castellano, C.; Van Mieghem, P.; Vespignani, A. Epidemic processes in complex networks. Rev. Mod. Phys. 2015, 87, 925. [Google Scholar] [CrossRef]
- Ostilli, M.; Yoneki, E.; Leung, I.X.; Mendes, J.F.; Lio, P.; Crowcroft, J. Statistical mechanics of rumour spreading in network communities. Procedia Comput. Sci. 2010, 1, 2331–2339. [Google Scholar] [CrossRef]
- Mello, I.F.; Squillante, L.; Gomes, G.O.; Seridonio, A.C.; de Souza, M. Epidemics, the Ising-model and percolation theory: A comprehensive review focused on COVID-19. Phys. Stat. Mech. Its Appl. 2021, 573, 125963. [Google Scholar] [CrossRef] [PubMed]
- Mastroeni, L.; Vellucci, P.; Naldi, M. Agent-based models for opinion formation: A bibliographic survey. IEEE Access 2019, 7, 58836–58848. [Google Scholar] [CrossRef]
- Kiesling, E.; Günther, M.; Stummer, C.; Wakolbinger, L.M. Agent-based simulation of innovation diffusion: A review. Cent. Eur. J. Oper. Res. 2012, 20, 183–230. [Google Scholar] [CrossRef]
- Hamill, L.; Gilbert, N. Agent-Based Modelling in Economics; John Wiley Sons, Ltd.: Hoboken, NJ, USA, 2016. [Google Scholar]
- Tsarev, D.; Trofimova, A.; Alodjants, A.; Khrennikov, A. Phase transitions, collective emotions and decision-making problem in heterogeneous social systems. Sci. Rep. 2019, 9, 18039. [Google Scholar] [CrossRef]
- Haken, H. Laser Light Dynamics; North-Holland: Amsterdam, The Netherlands, 1985; Volume 2, p. 354. [Google Scholar]
- Weidlich, W. Fokker–Planck equation treatment of interacting social groups. In Synergetics; Vieweg+Teubner Verlag: Wiesbaden, Germany, 1973; pp. 269–279. [Google Scholar]
- Haken, H. Synergetics: An Introduction: Nonequilibrium Phase Transitions and Self-Organization in Physics, Chemistry, and Biology; Springer: Berlin/Heidelberg, Germany, 1978. [Google Scholar]
- Khrennikov, A. Towards information lasers. Entropy 2015, 17, 6969–6994. [Google Scholar] [CrossRef]
- Khrennikov, A. Social laser: Action amplification by stimulated emission of social energy. Phil. Trans. Royal. Soc. 2016, 374, 20150094. [Google Scholar] [CrossRef] [PubMed]
- Khrennikov, A.; Toffano, Z.; Dubois, F. Concept of information laser: From quantum theory to behavioural dynamics. Eur. Phys. J. Spec. Top. 2019, 227, 2133–2153. [Google Scholar] [CrossRef]
- Khrennikov, A. Social Laser; Jenny Stanford Publication: Singapore, 2020. [Google Scholar]
- Asano, M.; Khrennikov, A.; Ohya, M.; Tanaka, Y.; Yamato, I. Quantum Adaptivity in Biology: From Genetics to Cognition; Springer: Heidelberg/Berlin, Germany; New York, NY, USA, 2015. [Google Scholar]
- Bagarello, F. Quantum Concepts in the Social, Ecological and Biological Sciences; Cambridge University Press: Cambridge, UK, 2019. [Google Scholar]
- Busemeyer, J.R.; Bruza, P.D. Quantum Models of Cognition and Decision; Cambridge University Press: Cambridge, UK, 2012; Volume 4. [Google Scholar]
- Alodjants, A.P.; Bazhenov, A.Y.; Khrennikov, A.Y.; Bukhanovsky, A.V. Mean-field theory of social laser. Sci. Rep. 2022, 12, 8566. [Google Scholar] [CrossRef]
- Galam, S. Sociophysics: A Physicist’s Modeling of Psycho-political Phenomena; Springer New York: New York, USA, 2012. [Google Scholar]
- Busemeyer, J.R.; Wang, Z. What is quantum cognition, and how is it applied to psychology? Curr. Dir. Psychol. Sci. 2015, 24, 163–169. [Google Scholar] [CrossRef]
- Watts, D.J. A simple model of global cascades on random networks. Proc. Natl. Acad. Sci. USA 2002, 99, 5766–5771. [Google Scholar] [CrossRef]
- Miller, R.; Northup, T.E.; Birnbaum, K.M.; Boca, A.; Boozer, A.D.; Kimble, H.J. Trapped atoms in cavity QED: Coupling quantized light and matter. J. Phys. B At. Mol. Opt. Phys. 2005, 38, S551–S565. [Google Scholar] [CrossRef]
- Peres, R.; Muller, E.; Mahajan, V. Innovation diffusion and new product growth models: A critical review and research directions. Int. J. Res. Mark. 2010, 27, 91–106. [Google Scholar] [CrossRef]
- Zhoua, B.; Meng, X.; Stanley, E. Power-law distribution of degree–degree distance: A better representation of the scale-free property of complex networks. Proc. Natl. Acad. Sci. USA 2020, 117, 14812. [Google Scholar] [CrossRef] [PubMed]
- Barabási, A.L. Network science. Philos. Trans. R. Soc. Math. Phys. Eng. Sci. 2013, 371, 20120375. [Google Scholar] [CrossRef] [PubMed]
- Jamieson, K.H.; Cappella, J.N. Echo Chamber: Rush Limbaugh and the Conservative Media Establishment; Oxford University Press: Oxford, UK, 2008. [Google Scholar]
- Cota, W.; Ferreira, S.; Pastor-Satorra, R.; Starnini, M. Quantifying echo chamber effects in information spreading over political communication networks. EPJ Data Sci. 2019, 8, 35. [Google Scholar] [CrossRef]
- Vahala, K.J. Optical microcavities. Nature 2003, 424, 839–846. [Google Scholar] [CrossRef] [PubMed]
- Cao, H. Lasing in random media. Waves Random Media 2003, 13, R1–R39. [Google Scholar] [CrossRef]
- Sapienza, R. Determining random lasing action. Nat. Rev. Phys. 2019, 1, 690–695. [Google Scholar] [CrossRef]
- Wetter, N.; Jimenez-Villar, E. Random laser materials: From ultrahigh efficiency to very low threshold (Anderson localization). J. Mater. Sci. Mater. Electron. 2019, 30, 16761–16773. [Google Scholar] [CrossRef]
- Bazhenov, A.Y.; Nikitina, M.M.; Tsarev, D.V.; Alodjants, A.P. Random Laser Based on Materials in the Form of Complex Network Structures. JETP Lett. 2023, 117, 814–820. [Google Scholar] [CrossRef]
- Dicke, R.H. Coherence in Spontaneous Radiation Processes. Phys. Rev. 1954, 93, 99–110. [Google Scholar] [CrossRef]
- Andreev, A.V.; Emel’yanov, V.I.; Il’inskii, Y.A. Collective spontaneous emission (Dicke superradiance). Phys. Usp. 1980, 23, 493–514. [Google Scholar] [CrossRef]
- Gross, M.; Haroche, S. Superradiance: An essay on the theory of collective spontaneous emission. Phys. Rep. 1982, 93, 301–396. [Google Scholar] [CrossRef]
- Benedict, M.G.; Ermolaev, A.M.; Malyshev, V.A.; Sokolov, I.; Trifonov, E. Super-Radiance. Multiatomic Coherent Emission; IOP Publishing Ltd.: Bristol, UK, 1996. [Google Scholar]
- Goban, A.; Hung, C.L.; Hood, J.D.; Yu, S.P.; Muniz, J.A.; Painter, O.; Kimble, H.J. Superradiance for atoms trapped along a photonic crystal waveguide. Phys. Rev. Lett. 2015, 115, 063601. [Google Scholar] [CrossRef] [PubMed]
- Kessler, E.M.; Yelin, S.; Lukin, M.D.; Cirac, J.I.; Giedke, G. Optical superradiance from nuclear spin environment of single-photon emitters. Phys. Rev. Lett. 2010, 104, 143601. [Google Scholar] [CrossRef] [PubMed]
- Scheibner, M.; Schmidt, T.; Worschech, L.; Forchel, A.; Bacher, G.; Passow, T.; Hommel, D. Superradiance of quantum dots. Nat. Phys. 2007, 3, 106–110. [Google Scholar] [CrossRef]
- Kirton, P.; Roses, M.M.; Keeling, J.; Dalla Torre, E. Introduction to the Dicke Model: From Equilibrium to Nonequilibrium, and Vice Versa. Adv. Quantum Technol. 2019, 2, 1800043. [Google Scholar] [CrossRef]
- Bazhenov, A.Y.; Nikitina, M.; Alodjants, A.P. High temperature superradiant phase transition in quantum structures with a complex network interface. Opt. Lett. 2022, 47, 3119–3122. [Google Scholar] [CrossRef] [PubMed]
- Bohnet, J.; Chen, Z.; Weiner, J.; Meiser, D.; Holland, M.; Thompson, J. A steady-state superradiant laser with less than one intracavity photon. Nature 2012, 484, 78–81. [Google Scholar] [CrossRef]
- Meiser, D.; Holland, M.J. Steady-state superradiance with alkaline-earth-metal atoms. Phys. Rev. A 2010, 81, 033847. [Google Scholar] [CrossRef]
- Kocharovsky, V.V.; Belyanin, A.A.; Kocharovskaya, E.R.; Kocharovsky, V.V. Superradiant Lasing and Collective Dynamics of Active Centers with Polarization Lifetime Exceeding Photon Lifetime; Springer: Dordrecht, South Africa, 2015; pp. 49–69. [Google Scholar]
- Hu, M.S.; Hsu, G.M.; Chen, K.H.; Yu, C.J.; Hsu, H.C.; Chen, L.C.; Huang, J.S.; Hong, L.S.; Chen, Y.F. Infrared lasing in InN nanobelts. Appl. Phys. Lett. 2007, 90, 123109. [Google Scholar] [CrossRef]
- Yu, I.; Chestnov, A.P.A.; Arakelian, S.M. Lasing and high-temperature phase transitions in atomic systems with dressed-state polaritons. Phys. Rev. A 2013, 88, 063834. [Google Scholar]
- Yu, S.P.; Muniz, J.A.; Hung, C.L.; Kimble, H.J. Two-dimensional photonic crystals for engineering atom–light interactions. Proc. Natl. Acad. Sci. USA 2019, 116, 12743–12751. [Google Scholar] [CrossRef]
- Sapienza, L.; Thyrrestrup, H.; Stobbe, S.; Garcia, P.D.; Smolka, S.; Lodahl, P. Cavity Quantum Electrodynamics with Anderson-Localized Modes. Science 2010, 327, 1352–1355. [Google Scholar] [CrossRef] [PubMed]
- Peinke, E.; Sattler, T.; Torelly, G.M.; Souza, P.L.; Perret, S.; Bleuse, J.; Claudon, J.; Vos, W.L.; Gerard, J.M. Tailoring the properties of quantum dot-micropillars by ultrafast optical injection of free charge carriers. Light Sci. Appl. 2021, 10, 215. [Google Scholar] [CrossRef] [PubMed]
- Manzano, D. A short introduction to the Lindblad master equation. AIP Adv. 2020, 10, 025106. [Google Scholar] [CrossRef]
- Cross, M.; Hohenberg, P.C. Pattern formation outside of equilibrium. Rev. Mod. Phys. 1993, 65, 851–1112. [Google Scholar] [CrossRef]
- Bass, F.M. The Relationship Between Diffusion Rates, Experience Curves, and Demand Elasticities for Consumer Durable Technological Innovations. J. Bus. 1980, 53, S51–S67. [Google Scholar] [CrossRef]
- Choi, H.; Kim, S.H.; Lee, J. Role of network structure and network effects in diffusion of innovations. Ind. Mark. Manag. 2010, 39, 170–177. [Google Scholar] [CrossRef]
- de Faria, P.; Lima, F.; Santos, R. Cooperation in innovation activities: The importance of partners. Res. Policy 2010, 39, 1082–1092. [Google Scholar] [CrossRef]
- Hazy, J.K. Innovation Reordering: Five Principles for Leading Continuous Renewal. 2009. Available online: https://www.researchgate.net/publication/261879514_Innovation_Reordering_Five_Principles_for_Leading_Continuous_Renewal (accessed on 1 June 2023).





Disclaimer/Publisher’s Note: The statements, opinions and data contained in all publications are solely those of the individual author(s) and contributor(s) and not of MDPI and/or the editor(s). MDPI and/or the editor(s) disclaim responsibility for any injury to people or property resulting from any ideas, methods, instructions or products referred to in the content. |
© 2023 by the authors. Licensee MDPI, Basel, Switzerland. This article is an open access article distributed under the terms and conditions of the Creative Commons Attribution (CC BY) license (https://creativecommons.org/licenses/by/4.0/).
Share and Cite
Alodjants, A.; Zacharenko, P.; Tsarev, D.; Avdyushina, A.; Nikitina, M.; Khrennikov, A.; Boukhanovsky, A. Random Lasers as Social Processes Simulators. Entropy 2023, 25, 1601. https://doi.org/10.3390/e25121601
Alodjants A, Zacharenko P, Tsarev D, Avdyushina A, Nikitina M, Khrennikov A, Boukhanovsky A. Random Lasers as Social Processes Simulators. Entropy. 2023; 25(12):1601. https://doi.org/10.3390/e25121601
Chicago/Turabian StyleAlodjants, Alexander, Peter Zacharenko, Dmitry Tsarev, Anna Avdyushina, Mariya Nikitina, Andrey Khrennikov, and Alexander Boukhanovsky. 2023. "Random Lasers as Social Processes Simulators" Entropy 25, no. 12: 1601. https://doi.org/10.3390/e25121601
APA StyleAlodjants, A., Zacharenko, P., Tsarev, D., Avdyushina, A., Nikitina, M., Khrennikov, A., & Boukhanovsky, A. (2023). Random Lasers as Social Processes Simulators. Entropy, 25(12), 1601. https://doi.org/10.3390/e25121601

