Stability Analysis of a Delayed Rumor Propagation Model with Nonlinear Incidence Incorporating Impulsive Vaccination
Abstract
:1. Introduction
2. Rumor Propagation Model
3. Existence of Rumor-Free Periodic Solutions
4. Global Attractivity of Rumor-Free Periodic Solution
5. Permanence
6. Numerical Simulation
6.1. Effect of the Impulsive Vaccination Rate on the System
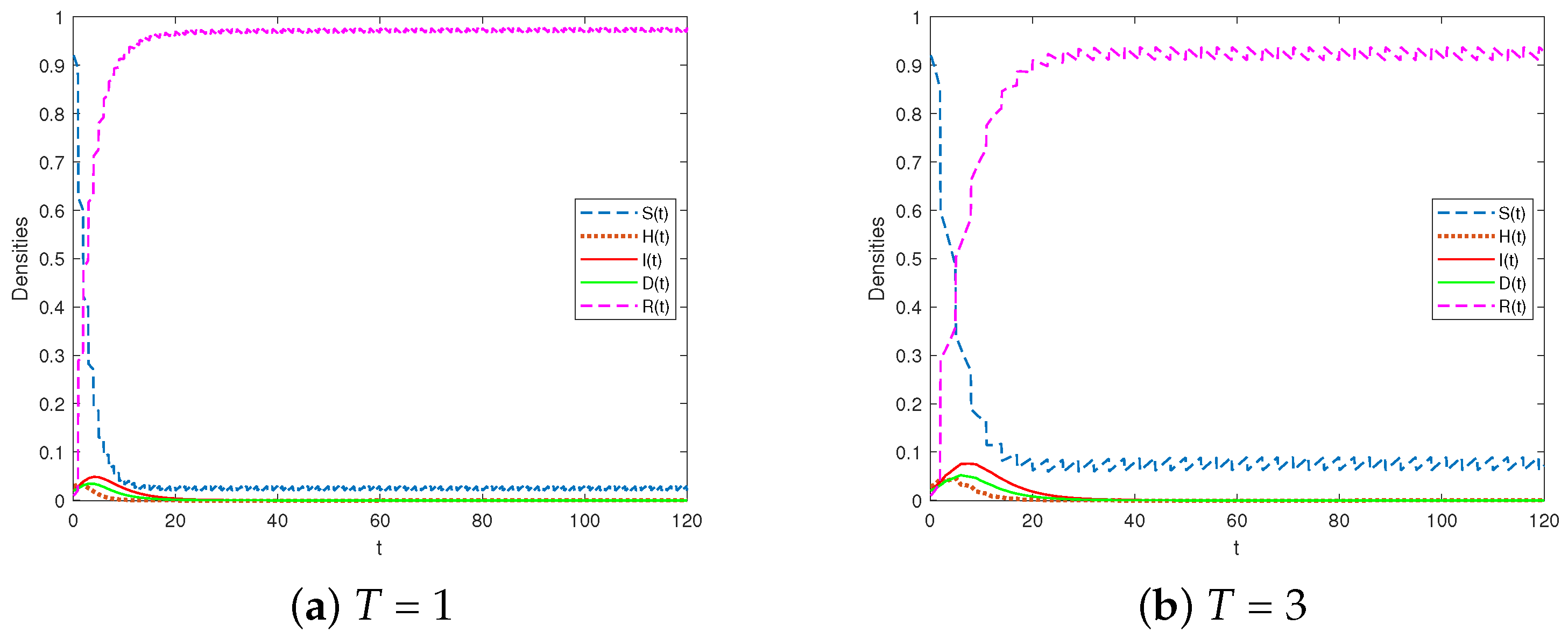
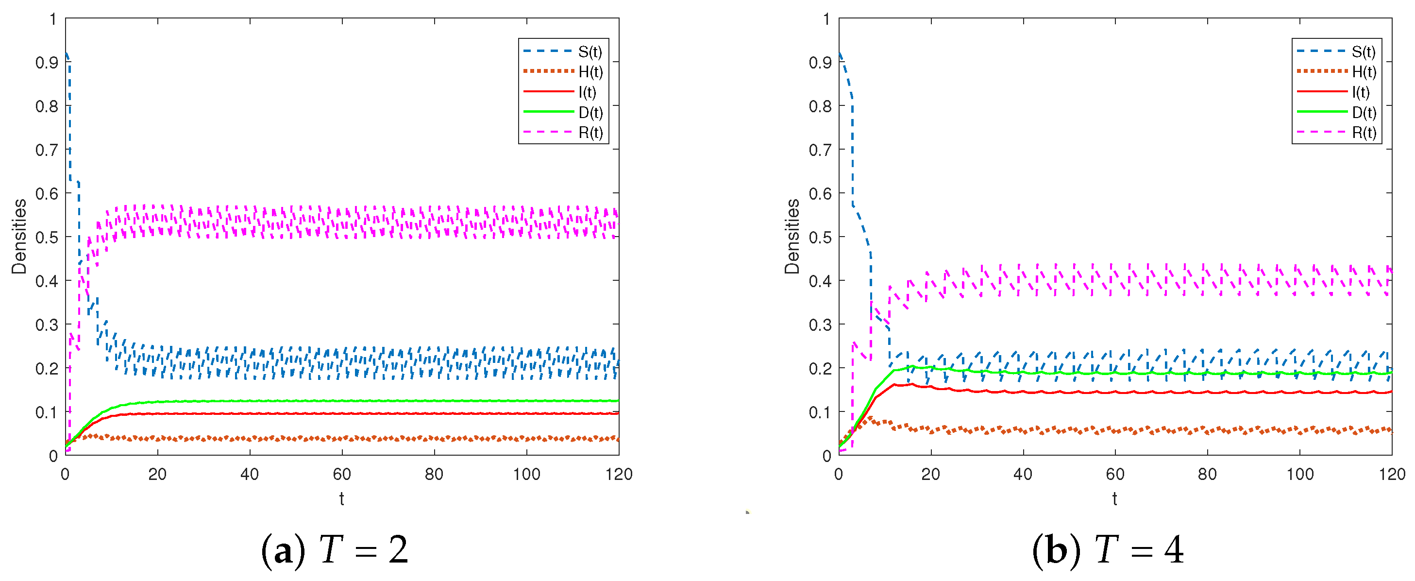
6.2. Effect of the Impulsive Period T on the System
6.3. Effect of the Time Delay on the System
6.4. Effect of and on the System
6.5. The Relationship between the Basic Reproduction Number and the Parameter Value
7. Conclusions
Author Contributions
Funding
Data Availability Statement
Conflicts of Interest
References
- Shalbafan, M.; Khademoreza, N. What We Can Learn from COVID-19 Outbreak in Iran about the Importance of Alcohol Use Education. Am. J. Drug Alcohol Ab. 2020, 46, 385–386. Available online: https://pubmed.ncbi.nlm.nih.gov/32310677/ (accessed on 3 May 2020). [CrossRef] [PubMed]
- Daley, D.J.; Kendall, D.G. Epidemics and Rumours. Nature 1964, 204, 1118. Available online: https://wwwnature.53yu.com/articles/2041118a0 (accessed on 23 November 2023). [CrossRef] [PubMed]
- Maki, D.P.; Thompson, M. Mathematical Models and Applications: With Emphasis on Social Life, and Management Sciences; Prentice-Hall: Englewood Cliffs, NJ, USA, 1973; Available online: https://www.researchgate.net/publication/44500229_Mathematical_models_and_applications_with_emphasis_on_the_social_life_and_management_sciences_Daniel_P_Maki_Maynard_Thompson/citations (accessed on 5 October 2023).
- Zanette, D.H. Critical Behavior of Propagation on Small-World Networks. Phys. Rev. E. 2001, 64, 050901. Available online: https://journals.aps.org/pre/abstract/10.1103/PhysRevE.64.050901 (accessed on 24 October 2001). [CrossRef] [PubMed]
- Zanette, D.H. Dynamics of Rumor Propagation on Small-World Networks. Phys. Rev. E 2002, 65, 041908. Available online: https://journals.aps.org/pre/abstract/10.1103/PhysRevE.65.041908 (accessed on 28 March 2002). [CrossRef] [PubMed]
- Moreno, Y.; Nekovee, M.; Pacheco, A.F. Dynamics of Rumor Spreading in Complex Networks. Phys. Rev. E 2004, 69, 066130. Available online: https://journals.aps.org/pre/abstract/10.1103/PhysRevE.69.066130 (accessed on 17 June 2004). [CrossRef]
- Liu, Z.L.; Qin, T.; Sun, Q.D.; Li, S.C.; Song, H.H.; Chen, Z.G. SIRQU: Dynamic Quarantine Defense Model for Online Rumor Propagation Control. IEEE Trans. Comput. Soc. Syst. 2022, 9, 1703–1714. Available online: https://ieeexplore.ieee.org/document/9745750 (accessed on 31 March 2022). [CrossRef]
- Chen, G.H. ILSCR Rumor Spreading Model to Discuss the Control of Rumor Spreading in Emergency. Physica A 2019, 522, 88–97. Available online: https://www.sciencedirect.com/science/article/pii/S037843711831505X?via3Dihub (accessed on 15 May 2019). [CrossRef]
- Tong, X.R.; Jiang, H.J.; Qiu, J.L.; Luo, X.P.; Chen, S.S. Dynamic Analysis of the IFCD Rumor Propagation Model under Stochastic Disturbance on Heterogeneous Networks. Chaos Solitons Fractals 2023, 173, 113637. Available online: https://www.sciencedirect.com/science/article/pii/S0960077923005386?via3Dihub (accessed on 16 June 2023). [CrossRef]
- Sahafizadeh, E.; Ladani, B.T. The Impact of Group Propagation on Rumor Spreading in Mobile Social Networks. Physica A 2018, 506, 412–423. Available online: https://www.sciencedirect.com/science/article/pii/S0378437118304527?via3Dihub (accessed on 15 September 2018). [CrossRef]
- Afassinou, K. Analysis of the Impact of Education Rate on the Rumor Spreading Mechanism. Physica A 2014, 414, 43–52. Available online: https://www.sciencedirect.com/science/article/pii/S037843711400613X (accessed on 15 November 2014). [CrossRef]
- Dong, X.F.; Liu, Y.J.; Wu, C.; Lian, Y.; Tang, D.S. A Double-Identity Rumor-Spreading Model. Physica A 2019, 528, 121479. Available online: https://www.sciencedirect.com/science/article/pii/S0378437119308830 (accessed on 15 August 2019). [CrossRef]
- Yue, X.F.; Huo, L.A. Dynamical Behavior of a Stochastic SICR Rumor Model Incorporating Media Coverage. Front. Phys. 2022, 10, 1010428. Available online: https://www.frontiersin.org/articles/10.3389/fphy.2022.1010428/full (accessed on 28 October 2022). [CrossRef]
- Li, R.Q.; Li, Y.W.; Meng, Z.Y.; Song, Y.R.; Jiang, G.P. Rumor Spreading Model Considering Individual Activity and Refutation Mechanism Simultaneously. IEEE Access 2020, 8, 63065–63076. Available online: https://ieeexplore.ieee.org/abstract/document/9046831 (accessed on 25 March 2020). [CrossRef]
- Xia, L.L.; Jiang, G.P.; Song, B.; Song, Y.R. Rumor Spreading Model Considering Hesitating Mechanism in Complex Social Networks. Physica A 2015, 437, 295–303. Available online: https://www.sciencedirect.com/science/article/pii/S0378437115005415 (accessed on 1 November 2015). [CrossRef]
- Luo, X.P.; Jiang, H.J.; Chen, S.S.; Li, J.R. Stability and Optimal Control for Delayed Rumor-Spreading Model with Nonlinear Incidence over Heterogeneous Networks. Chin. Phys. B 2023, 32, 058702. Available online: https://iopscience.iop.org/article/10.1088/1674-1056/acb490 (accessed on 19 January 2023). [CrossRef]
- Li, J.R.; Jiang, H.J.; Mei, X.H.; Hu, C.; Zhang, G.L. Dynamical Analysis of Rumor Spreading Model in Multi-Lingual Environment and Heterogeneous Complex Networks. Inf. Sci. 2020, 536, 391–408. Available online: https://www.sciencedirect.com/science/article/pii/S0020025520304370 (accessed on 23 May 2020). [CrossRef]
- Tian, Y.; Ding, X.J. Rumor Spreading Model with Considering Debunking Behavior in Emergencies. Appl. Math. Comput. 2019, 363, 124599. Available online: https://www.sciencedirect.com/science/article/pii/S0096300319305910 (accessed on 15 December 2019). [CrossRef]
- Pan, W.Q.; Yan, W.J.; Hu, Y.H.; He, R.M.; Wu, L.B. Dynamic Analysis of a SIDRW Rumor Propagation Model Considering the Effect of Media Reports and Rumor Refuters. Nonlinear Dyn. 2023, 111, 3925–3936. Available online: https://link.springer.com/article/10.1007/s11071-022-07947-w (accessed on 3 October 2022). [CrossRef]
- Du, K.; Fan, R.G.; Wang, Y.Y.; Wang, D.X. Modeling the Competitive Propagation of Rumors and Counter-Rumors in Two-Layer Complex Networks with Nonlinear Spreading and Decay Rates. Phys. D Nonlinear Phenom. 2023, 456, 133921. Available online: https://www.sciencedirect.com/science/article/pii/S0167278923002750 (accessed on 23 November 2023). [CrossRef]
- Cheng, Y.Y.; Huo, L.A.; Zhao, L.J. Stability Analysis and Optimal Control of Rumor Spreading Model under Media Coverage Considering Time Delay and Pulse Vaccination. Chaos Solitons Fractals 2022, 157, 111931. Available online: https://www.sciencedirect.com/science/article/pii/S0960077922001412 (accessed on 25 February 2022). [CrossRef]
- Huo, L.A.; Ma, C.Y. Dynamical Analysis of Rumor Spreading Model with Impulse Vaccination and Time Delay. Physica A 2017, 471, 653–665. Available online: https://www.sciencedirect.com/science/article/pii/S0378437116310159 (accessed on 1 April 2017). [CrossRef]
- Zan, Y.L. DSIR Double-Rumors Spreading Model in Complex Networks. Chaos Solitons Fractals 2018, 110, 191–202. Available online: https://www.sciencedirect.com/science/article/pii/S0960077918301176 (accessed on 5 October 2023). [CrossRef]
- Wang, J.L.; Jiang, H.J.; Ma, T.L.; Hu, C. Global Dynamics of the Multi-Lingual SIR Rumor Spreading Model with Cross-Transmitted Mechanism. Chaos Solitons Fractals 2019, 126, 148–157. Available online: https://www.sciencedirect.com/science/article/pii/S0960077919301924 (accessed on 5 October 2023). [CrossRef]
- Wang, J.J.; Zhao, L.J.; Huang, R.B. 2SI2R Rumor Spreading Model in Homogeneous Networks. Physica A 2014, 413, 153–161. Available online: https://www.sciencedirect.com/science/article/pii/S0378437114005287 (accessed on 1 November 2014). [CrossRef]
- Hu, Y.H.; Pan, Q.H.; Hou, W.B.; He, M.F. Rumor Spreading Model with the Different Attitudes towards Rumors. Physica A 2018, 502, 331–344. Available online: https://www.sciencedirect.com/science/article/pii/S0378437118301821 (accessed on 15 July 2018). [CrossRef]
- Huo, L.A.; Wang, L.; Song, G.X. Global Stability of a Two-Mediums Rumor Spreading Model with Media Coverage. Physica A 2017, 482, 757–771. Available online: https://www.sciencedirect.com/science/article/pii/S0378437117303291 (accessed on 15 September 2017). [CrossRef]
- Yao, Y.; Xiao, X.; Zhang, C.P.; Dou, C.S.; Xia, S.T. Stability Analysis of an SDILR Model Based on Rumor Recurrence on Social Media. Physica A 2019, 535, 122236. Available online: https://www.sciencedirect.com/science/article/pii/S037843711931297X (accessed on 1 December 2019). [CrossRef]
- Huo, L.A.; Wang, L.; Song, N.X.; Ma, C.Y.; He, B. Rumor Spreading Model Considering the Activity of Spreaders in the Homogeneous Network. Physica A 2017, 468, 855–865. Available online: https://www.sciencedirect.com/science/article/pii/S0378437116308445 (accessed on 15 February 2017). [CrossRef]
- Liu, Q.M.; Li, T.; Sun, M.C. The Analysis of an SEIR Rumor Propagation Model on Heterogeneous Network. Physica A 2017, 469, 372–380. Available online: https://www.sciencedirect.com/science/article/pii/S0378437116308731 (accessed on 1 March 2017). [CrossRef]
- Xu, H.; Li, T.; Liu, X.D.; Liu, W.J.; Dong, J. Spreading Dynamics of an Online Social Rumor Model with Psychological Factors on Scale-Free Networks. Physica A 2019, 525, 234–246. Available online: https://www.sciencedirect.com/science/article/pii/S0378437119302705 (accessed on 1 July 2019). [CrossRef]
- Laarabi, H.; Labriji, E.; Rachik, M.; Kaddar, A. Optimal Control of an Epidemic Model with a Saturated Incidence Rate. Nonlinear Anal. Modell. Contral 2012, 17, 448–459. Available online: https://www12032.vu.lt/nonlinear-analysis/article/view/14050 (accessed on 22 November 2012). [CrossRef]
- Zhu, L.H.; Liu, W.S.; Zhang, Z.D. Delay Differential Equations Modeling of Rumor Propagation in Both Homogeneous and Heterogeneous Networks with a Forced Silence Function. Appl. Math. Comput. 2020, 370, 124925. Available online: https://www.sciencedirect.com/science/article/pii/S0096300319309178 (accessed on 1 April 2020). [CrossRef]
- Xu, R.; Ma, Z. Global Stability of a SIR Epidemic Model with Nonlinear Incidence Rate and Time Delay. Nonlinear Anal. Real World Appl. 2009, 10, 3175–3189. Available online: https://www.sciencedirect.com/science/article/abs/pii/S1468121808002265 (accessed on 5 October 2023). [CrossRef]
- Qiu, X.Y.; Zhao, L.J.; Wang, J.J.; Wang, X.L.; Wang, Q. Effects of Time-Dependent Diffusion Behaviors on the Rumor Spreading in Social Networks. Phys. Lett. A 2016, 380, 2054–2063. Available online: https://www.sciencedirect.com/science/article/pii/S0375960116301086 (accessed on 27 May 2016). [CrossRef]
- Samanta, G.P. A Delayed Hand-Foot-Mouth Disease Model with Impulse Vaccination Strategy. Comput. Appl. Math. 2015, 34, 1131–1152. Available online: https://link.springer.com/article/10.1007/s40314-014-0170-7 (accessed on 6 August 2014). [CrossRef]
- Yan, J.R. Global attractivity for impulsive population dynamics with delay arguments. Nonlinear Anal. Real World Appl. 2009, 71, 5417–5426. Available online: https://www.sciencedirect.com/science/article/abs/pii/S0362546X09005793 (accessed on 1 December 2009). [CrossRef]
- Lakshmikantham, V.; Bainov, D.D.; Simeonov, P.S. Theory of Impulsive Differential Equations; World Scientific: Singapore, 1989; Available online: https://www.worldscientific.com/worldscibooks/10.1142/0906#t=aboutBook (accessed on 5 October 2023).
- Pei, Y.Z.; Liu, S.Y.; Gao, S.J.; Li, S.P.; Li, C.G. A Delayed SEIQR Epidemic Model with Pulse Vaccination and the Quarantine Measure. Comput. Math. Appl. 2009, 58, 135–145. Available online: https://www.sciencedirect.com/science/article/pii/S0898122109002296 (accessed on 5 October 2023). [CrossRef]









| Parameter | Meaning |
|---|---|
| Rate of susceptible individuals joining the network | |
| Rate at which individuals leave the network | |
| Probability of infected individuals becoming refuting individuals | |
| Propagation rate of contact between susceptible and infected individuals | |
| Propagation rate of contact between susceptible and refuting individuals | |
| Psychological influence factor for the spread of rumors | |
| Psychological influence factor for the spread of the truth | |
| Probability of refuting individuals becoming recovered individuals | |
| k | Proportion at which hesitant individuals turn into infected individuals |
| The rate of the nth impulsive vaccination of the susceptible individuals |
| Parameter | ||||||||||
|---|---|---|---|---|---|---|---|---|---|---|
| Scheme 1 | 0.8 | 0.9 | 0.02 | 0.03 | 0.2 | 0.5 | 0.5 | 0.5 | 0.01 | 0.01 |
| Scheme 2 | 0.8 | 0.9 | 0.02 | 0.03 | 0.09 | 0.08 | 0.5 | 0.5 | 0.1 | 0.1 |
| Scheme 3 | 0.8 | 0.4 | 0.08 | 0.1 | 0.8 | 0.1 | 0.5 | 0.7 | 0.3 | 0.3 |
Disclaimer/Publisher’s Note: The statements, opinions and data contained in all publications are solely those of the individual author(s) and contributor(s) and not of MDPI and/or the editor(s). MDPI and/or the editor(s) disclaim responsibility for any injury to people or property resulting from any ideas, methods, instructions or products referred to in the content. |
© 2023 by the authors. Licensee MDPI, Basel, Switzerland. This article is an open access article distributed under the terms and conditions of the Creative Commons Attribution (CC BY) license (https://creativecommons.org/licenses/by/4.0/).
Share and Cite
Zhou, Y.; Jiang, H.; Luo, X.; Yu, S. Stability Analysis of a Delayed Rumor Propagation Model with Nonlinear Incidence Incorporating Impulsive Vaccination. Entropy 2023, 25, 1590. https://doi.org/10.3390/e25121590
Zhou Y, Jiang H, Luo X, Yu S. Stability Analysis of a Delayed Rumor Propagation Model with Nonlinear Incidence Incorporating Impulsive Vaccination. Entropy. 2023; 25(12):1590. https://doi.org/10.3390/e25121590
Chicago/Turabian StyleZhou, Yuqian, Haijun Jiang, Xupeng Luo, and Shuzhen Yu. 2023. "Stability Analysis of a Delayed Rumor Propagation Model with Nonlinear Incidence Incorporating Impulsive Vaccination" Entropy 25, no. 12: 1590. https://doi.org/10.3390/e25121590
APA StyleZhou, Y., Jiang, H., Luo, X., & Yu, S. (2023). Stability Analysis of a Delayed Rumor Propagation Model with Nonlinear Incidence Incorporating Impulsive Vaccination. Entropy, 25(12), 1590. https://doi.org/10.3390/e25121590

