Topological Dimensions from Disorder and Quantum Mechanics?
Abstract
1. Introduction
2. The Formalism
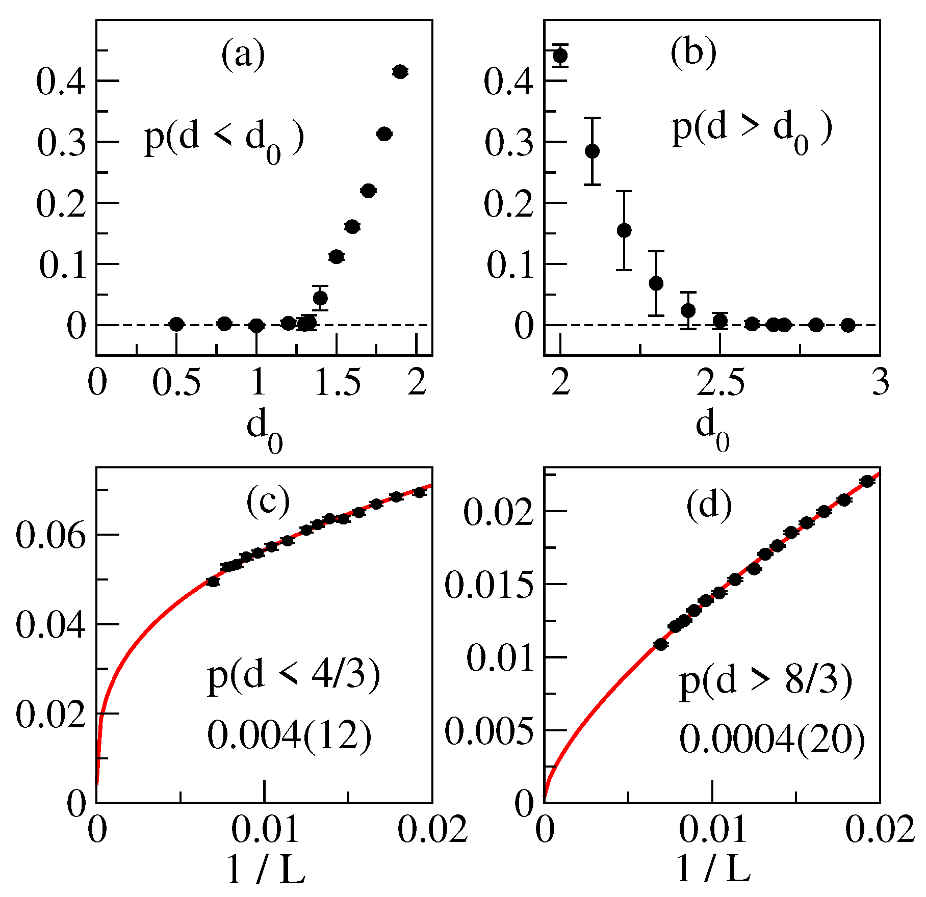
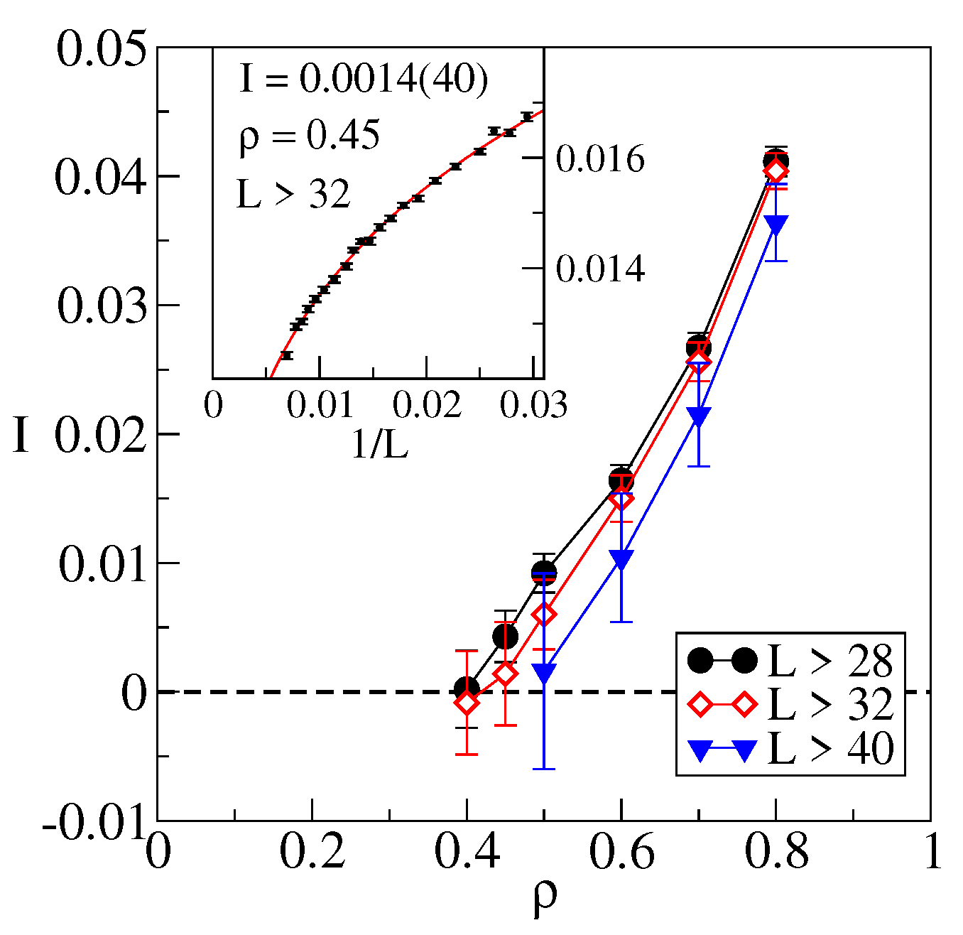
3. Anderson Criticality
4. Discussion
- (i)
- The picture of the Anderson transition as a spatial dimension transformation (1) receives key refinements by virtue of . Indeed, although the critical electron is fully confined to the spatial effective support of Minkowski dimension [4,9], its key substructure has , and the continuum of lower- and higher-dimensional features is also present. Geometrically, may thus also be viewed as a surface-like structure endowed with complex lower-dimensional “hair” and higher-dimensional “halo”.
- (ii)
- Our results suggest that is a discrete dimension and that it may assume an exact topological value of . [The mathematical meaning of “topological” in the context of IR dimension would, of course, need some clarification.] This invokes a possibility that quantum mechanics combined with pure disorder can lead to the emergence of integer dimensions. Apart from an understanding of Anderson transitions, variations on such dynamics could find relevance in modeling an emergent space in the early universe. A more detailed description of this geometry would be needed.
- (iii)
- The connection between and results from the built-in additivity that makes both measure-based: in the case of it is the additivity of effective counting with respect to combining the systems [5,6], and in the case of the familiar additivity of ordinary counting. This aspect is key to the interpretation of these concepts as spatial dimensions. Indeed, it is because the Hausdorff measure and the Minkowski count properly quantify volume that dimensions based on them became useful and accepted characteristics of space.
- (iv)
- It is natural to ask whether some features of the described spatial structure have analogues in the multifractal approach [16,17] adopted to the IR Anderson setting via the moment method [25]. Here the focus is on the so-called dimensional spectrum . Inner workings of the method give special status to the information dimension [26] in a way somewhat similar to . It would be interesting to study the possible association between the two in detail. (See also the debate regarding in Refs. [27,28,29].)
- (v)
- Our data are consistent with critical wave functions being of proper dimension (). However, albeit state of the art, their statistical power is not sufficient to reach a sharper conclusion at this point.
- (vi)
- Our findings acquire another angle in light of recent results [7,30] in quantum chromodynamics (QCD). The original proposal that the Anderson-like mobility edge appears in the QCD Dirac spectrum upon thermal chiral transition [31,32], worked out by Refs. [33,34,35], became more structured. Indeed, the existence of a new mobility edge has been concluded, and its simultaneous appearance with at temperature was conjectured [30]. Here marks the transition to a phase featuring the IR scale invariance of glue fields [36]. The approach to IR criticality () was found to proceed via Dirac modes [7], with the topological origin of the dimension suspected. Clarifying a possible relation of this to found here may shed new light on the QCD–Anderson localization connection.
- (vii)
- The proposed IR/UV guises of multidimensionality formalism easily extend to more general situations without the metric. Here the sequence involving collections with an increasing number of arbitrary objects comes with the associated sequence of the relevance (probability) vectors. The role of and is taken by the effective counting dimension defined via scaling [8]. The dimension function is replaced by an analogous and the dimension content by . The target () effective collection defined by , is thenwhere and .
Author Contributions
Funding
Institutional Review Board Statement
Data Availability Statement
Conflicts of Interest
References
- Anderson, P.W. Absence of Diffusion in Certain Random Lattices. Phys. Rev. 1958, 109, 1492. [Google Scholar] [CrossRef]
- Schenk, O.; Bollhöfer, M.; Römer, R.A. On Large-Scale Diagonalization Techniques for the Anderson Model of Localization. SIAM Rev. 2008, 50, 91–112. Available online: http://www.jstor.org/stable/20454065 (accessed on 15 October 2023). [CrossRef][Green Version]
- Abrahams, E.; Anderson, P.W.; Licciardello, D.C.; Ramakrishnan, T.V. Scaling Theory of Localization: Absence of Quantum Diffusion in Two Dimensions. Phys. Rev. Lett. 1979, 42, 673. [Google Scholar] [CrossRef]
- Horváth, I.; Markoš, P. Super-Universality in Anderson Localization. Phys. Rev. Lett. 2022, 129, 106601. [Google Scholar] [CrossRef] [PubMed]
- Horváth, I.; Mendris, R. Effective Number Theory: Counting the Identities of a Quantum State. Entropy 2020, 22, 1273. [Google Scholar] [CrossRef]
- Horváth, I. The Measure Aspect of Quantum Uncertainty, of Entanglement, and the Associated Entropies. Quantum Rep. 2021, 3, 534–548. [Google Scholar] [CrossRef]
- Alexandru, A.; Horváth, I. Unusual Features of QCD Low-Energy Modes in the Infrared Phase. Phys. Rev. Lett. 2021, 127, 052303. [Google Scholar] [CrossRef]
- Horváth, I.; Markoš, P.; Mendris, R. Counting-Based Effective Dimension and Discrete Regularizations. Entropy 2023, 25, 482. [Google Scholar] [CrossRef]
- Horváth, I.; Markoš, P. Low-dimensional life of critical Anderson electron. Phys. Lett. A 2023, 467, 128735. [Google Scholar] [CrossRef]
- Aoki, H. Critical behaviour of extended states in disordered systems. J. Phys. Solid State Phys. 1983, 16, L205. [Google Scholar] [CrossRef]
- Soukoulis, C.M.; Economou, E.N. Fractal Character of Eigenstates in Disordered Systems. Phys. Rev. Lett. 1984, 52, 565. [Google Scholar] [CrossRef]
- Castellani, C.; Peliti, L. Multifractal wavefunction at the localisation threshold. J. Phys. Math. Gen. 1986, 19, L429. [Google Scholar] [CrossRef]
- Evangelou, S.N. Multifractal wavefunctions at the mobility edge. J. Phys. Math. Gen. 1990, 23, L317. [Google Scholar] [CrossRef]
- Schreiber, M.; Grussbach, H. Multifractal wave functions at the Anderson transition. Phys. Rev. Lett. 1991, 67, 607. [Google Scholar] [CrossRef] [PubMed]
- Janssen, M. Multifractal analysis of broadly-distributed observables at criticality. Int. J. Mod. Phys. B 1994, 8, 943. [Google Scholar] [CrossRef]
- Falconer, K. Fractal Geometry: Mathematical Foundations and Applications, 3rd ed.; Wiley: Hoboken, NJ, USA, 2014. [Google Scholar]
- Halsey, T.C.; Jensen, M.H.; Kadanoff, L.P.; Procaccia, I.; Shraiman, B.I. Fractal measures and their singularities: The characterization of strange sets. Phys. Rev. A 1986, 33, 1141. [Google Scholar] [CrossRef]
- Mildenberger, A.; Evers, F.; Mirlin, A.D. Dimensionality dependence of the wave-function statistics at the Anderson transition. Phys. Rev. B 2002, 66, 033109. [Google Scholar] [CrossRef]
- Vasquez, L.J.; Rodriguez, A.; Römer, R.A. Multifractal analysis of the metal-insulator transition in the three-dimensional Anderson model. I. Symmetry relation under typical averaging. Phys. Rev. B 2008, 78, 195106. [Google Scholar] [CrossRef]
- Rodriguez, A.; Vasquez, L.J.; Römer, R.A. Multifractal analysis of the metal-insulator transition in the three-dimensional Anderson model. II. Symmetry relation under ensemble averaging. Phys. Rev. B 2008, 78, 195107. [Google Scholar] [CrossRef]
- Rodriguez, A.; Vasquez, L.J.; Slevin, K.; Römer, R.A. Multifractal finite-size scaling and universality at the Anderson transition. Phys. Rev. B 2011, 84, 134209. [Google Scholar] [CrossRef]
- Ujfalusi, L.; Varga, I. Finite-size scaling and multifractality at the Anderson transition for the three Wigner-Dyson symmetry classes in three dimensions. Phys. Rev. B 2015, 91, 184206. [Google Scholar] [CrossRef]
- Slevin, K.; Ohtsuki, T. Critical Exponent of the Anderson Transition Using Massively Parallel Supercomputing. J. Phys. Soc. Jpn. 2018, 87, 094703. [Google Scholar] [CrossRef]
- Bollhöfer, M.; Notay, Y. JADAMILU: A software code for computing selected eigenvalues of large sparse symmetric matrices. Comput. Phys. Commun. 2007, 177, 951–964. [Google Scholar] [CrossRef]
- Evers, F.; Mirlin, A.D. Anderson transitions. Rev. Mod. Phys. 2008, 80, 1355. [Google Scholar] [CrossRef]
- Grassberger, P. Generalizations of the Hausdorff dimension of fractal measures. Phys. Lett. A 1985, 107, 101–105. [Google Scholar] [CrossRef]
- Burmistrov, I.S. Comment on “Super-Universality in Anderson Localization”. Phys. Rev. Lett. 2023, 131, 139701. [Google Scholar] [CrossRef] [PubMed]
- Horváth, I.; Markoš, P. Horváth and Markoš Reply. Phys. Rev. Lett. 2023, 131, 139702. [Google Scholar] [CrossRef]
- Horváth, I.; Markoš, P. Response to Comment on “Super-universality in Anderson localization”. arXiv 2022, arXiv:2212.02912. [Google Scholar]
- Alexandru, A.; Horváth, I. Anderson metal-to-critical transition in QCD. Phys. Lett. B 2022, 833, 137370. [Google Scholar] [CrossRef]
- Garcia-Garcia, A.M.; Osborn, J.C. Chiral phase transition and Anderson localization in the instanton liquid model for QCD. Nucl. Phys. A 2006, 770, 141–161. [Google Scholar] [CrossRef]
- Garcia-Garcia, A.M.; Osborn, J.C. Chiral phase transition in lattice QCD as a metal-insulator transition. Phys. Rev. D 2007, 75, 034503. [Google Scholar] [CrossRef]
- Kovacs, T.G.; Pittler, F. Anderson Localization in Quark-Gluon Plasma. Phys. Rev. Lett. 2010, 105, 192001. [Google Scholar] [CrossRef] [PubMed]
- Giordano, M.; Kovacs, T.G.; Pittler, F. Universality and the QCD Anderson Transition. Phys. Rev. Lett. 2014, 112, 102002. [Google Scholar] [CrossRef] [PubMed]
- Ujfalusi, L.; Giordano, M.; Pittler, F.; Kovács, T.G.; Varga, I. Anderson transition and multifractals in the spectrum of the Dirac operator of quantum chromodynamics at high temperature. Phys. Rev. D 2015, 92, 094513. [Google Scholar] [CrossRef]
- Alexandru, A.; Horváth, I. Possible new phase of thermal QCD. Phys. Rev. D 2019, 100, 094507. [Google Scholar] [CrossRef]






Disclaimer/Publisher’s Note: The statements, opinions and data contained in all publications are solely those of the individual author(s) and contributor(s) and not of MDPI and/or the editor(s). MDPI and/or the editor(s) disclaim responsibility for any injury to people or property resulting from any ideas, methods, instructions or products referred to in the content. |
© 2023 by the authors. Licensee MDPI, Basel, Switzerland. This article is an open access article distributed under the terms and conditions of the Creative Commons Attribution (CC BY) license (https://creativecommons.org/licenses/by/4.0/).
Share and Cite
Horváth, I.; Markoš, P. Topological Dimensions from Disorder and Quantum Mechanics? Entropy 2023, 25, 1557. https://doi.org/10.3390/e25111557
Horváth I, Markoš P. Topological Dimensions from Disorder and Quantum Mechanics? Entropy. 2023; 25(11):1557. https://doi.org/10.3390/e25111557
Chicago/Turabian StyleHorváth, Ivan, and Peter Markoš. 2023. "Topological Dimensions from Disorder and Quantum Mechanics?" Entropy 25, no. 11: 1557. https://doi.org/10.3390/e25111557
APA StyleHorváth, I., & Markoš, P. (2023). Topological Dimensions from Disorder and Quantum Mechanics? Entropy, 25(11), 1557. https://doi.org/10.3390/e25111557

