Multi-Dimensional Quantum Capacitance of the Two-Site Hubbard Model: The Role of Tunable Interdot Tunneling
Abstract
1. Introduction
2. Model Quantum Capacitance Matrix
3. Double Quantum Dot Coupled to Three Voltage Gates: Analytical Expressions
3.1. Model Hamiltonian and Its Diagonalization
3.2. Model Quantum Capacitance Matrix
3.3. Quantum Capacitance Matrix and Its Diagonalization
3.4. Singlet-Triplet Discrimination
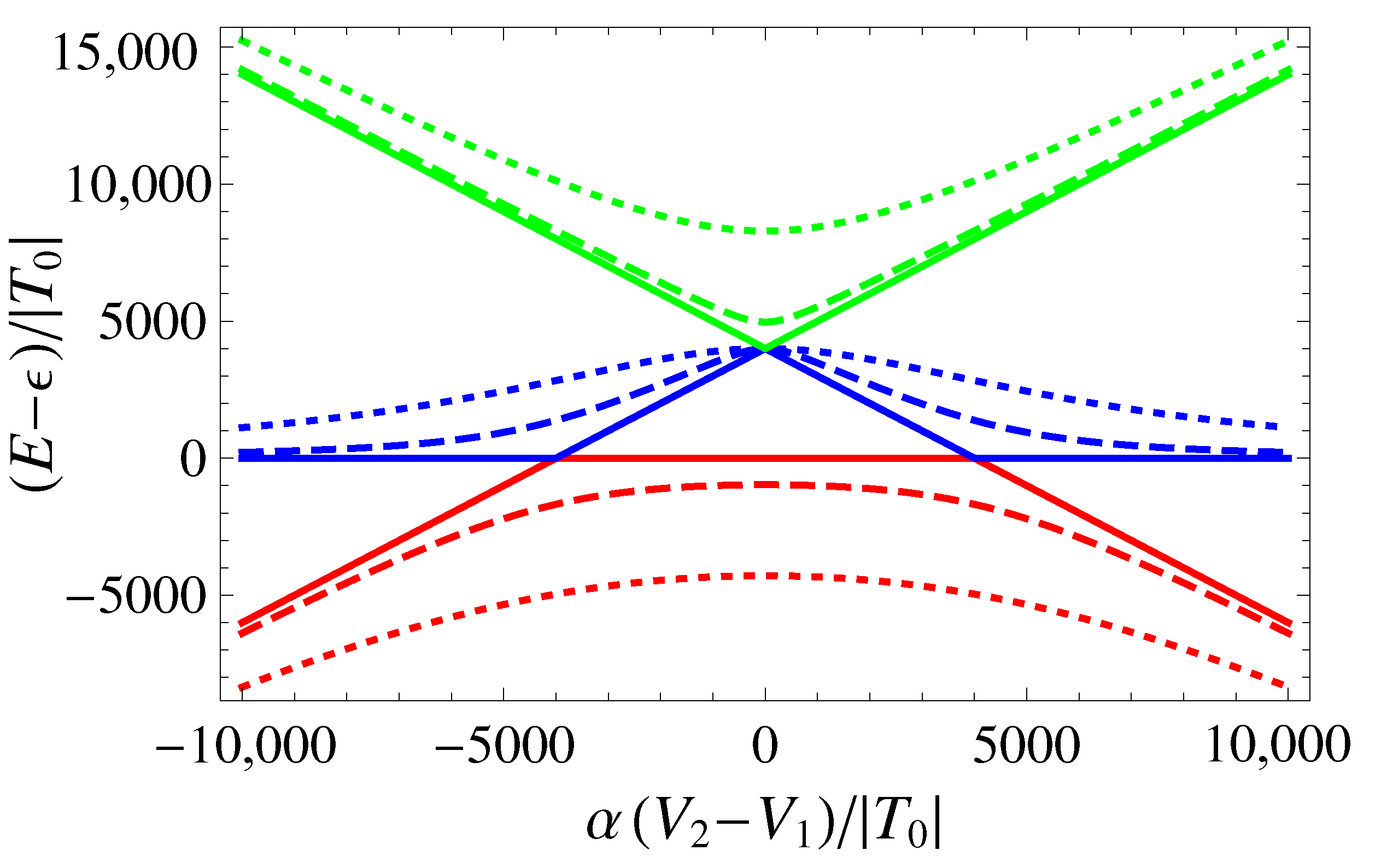
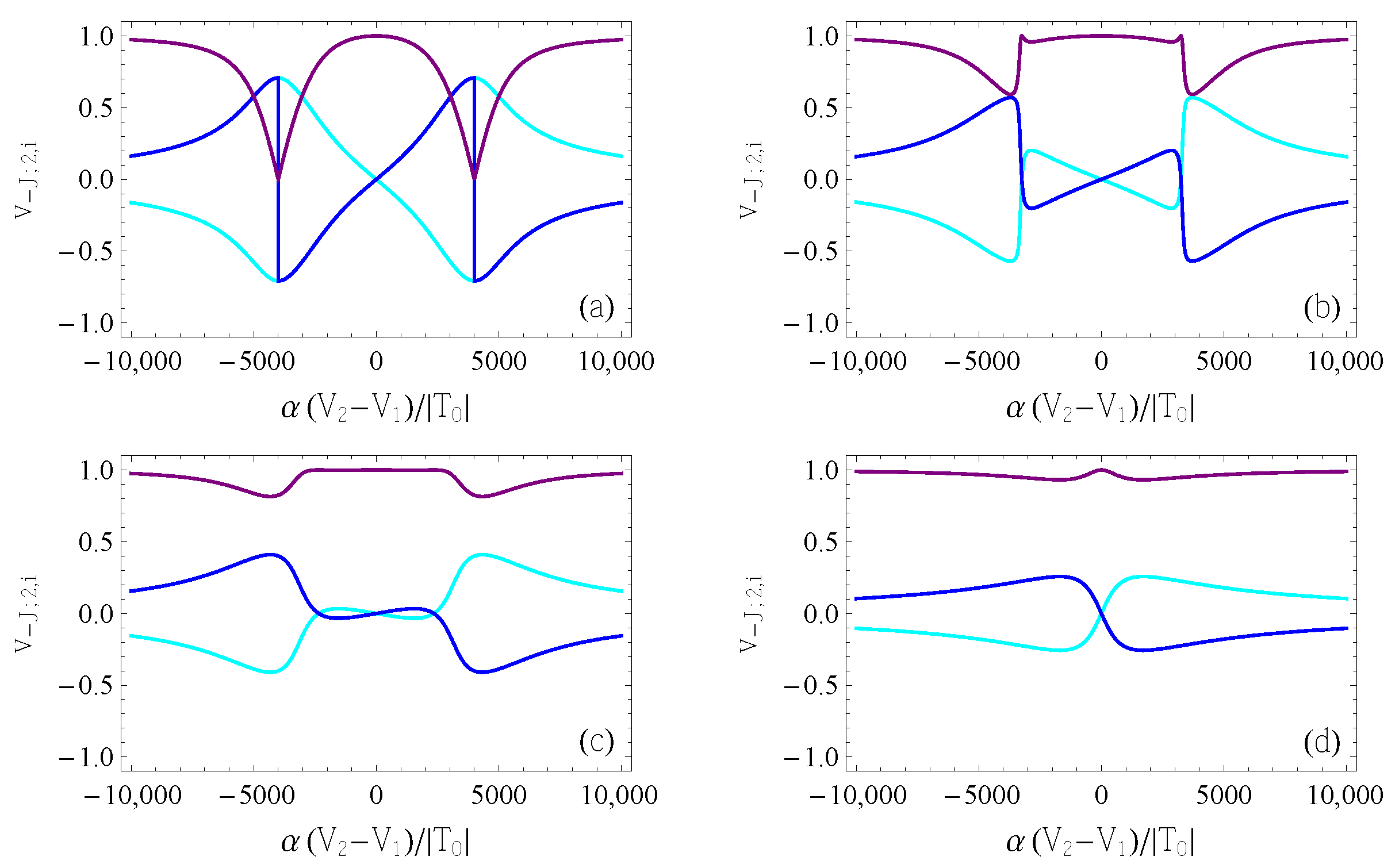
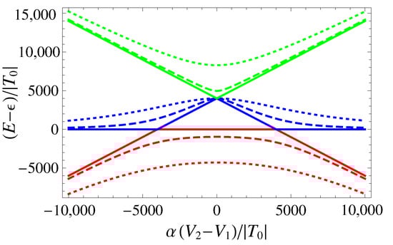
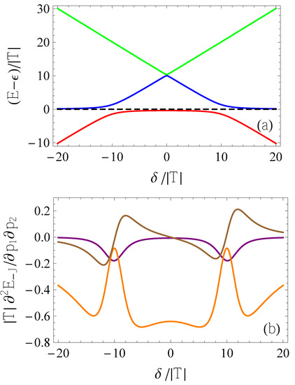
4. Numerical Results
4.1. Typical Ranges of Parameters
4.2. Directly Measurable QCs: The Diagonal Terms of the QCM
4.3. Directly Measurable QCs: The Largest Eigenvalue of the QCM
5. Discussion and Conclusions
Author Contributions
Funding
Institutional Review Board Statement
Data Availability Statement
Acknowledgments
Conflicts of Interest
Abbreviations
| QC | Quantum Capacitance |
| QCM | Quantum Capacitance Matrix |
| MQCM | Model Quantum Capacitance Matrix |
| QD | Quantum Dot |
| DQD | Double Quantum Dot |
References
- van der Wiel, W.G.; De Franceschi, S.; Elzerman, J.M.; Fujisawa, T.; Tarucha, S.; Kouwenhoven, L.P. Electron transport through double quantum dots. Rev. Mod. Phys. 2002, 75, 1–22. [Google Scholar] [CrossRef]
- Hanson, R.; Kouwenhoven, L.P.; Petta, J.R.; Tarucha, S.; Vandersypen, L.M.K. Spins in few-electron quantum dots. Rev. Mod. Phys. 2007, 79, 1217–1265. [Google Scholar] [CrossRef]
- Zwanenburg, F.A.; Dzurak, A.S.; Morello, A.; Simmons, M.Y.; Hollenberg, L.C.L.; Klimeck, G.; Rogge, S.; Coppersmith, S.N.; Eriksson, M.A. Silicon quantum electronics. Rev. Mod. Phys. 2013, 85, 961–1019. [Google Scholar] [CrossRef]
- Lawrie, W.I.L.; Eenink, H.G.J.; Hendrickx, N.W.; Boter, J.M.; Petit, L.; Amitonov, S.V.; Lodari, M.; Paquelet Wuetz, B.; Volk, C.; Philips, S.G.J.; et al. Quantum dot arrays in silicon and germanium. Appl. Phys. Lett. 2020, 116, 080501. [Google Scholar] [CrossRef]
- Mills, A.R.; Feldman, M.M.; Monical, C.; Lewis, P.J.; Larson, K.W.; Mounce, A.M.; Petta, J.R. Computer-automated tuning procedures for semiconductor quantum dot arrays. Appl. Phys. Lett. 2019, 115, 113501. [Google Scholar] [CrossRef]
- Ciccarelli, C.; Ferguson, A.J. Impedance of the single-electron transistor at radio-frequencies. New J. Phys. 2011, 13, 093015. [Google Scholar] [CrossRef]
- Chorley, S.J.; Wabnig, J.; Penfold-Fitch, Z.V.; Petersson, K.D.; Frake, J.; Smith, C.G.; Buitelaar, M.R. Measuring the Complex Admittance of a Carbon Nanotube Double Quantum Dot. Phys. Rev. Lett. 2012, 108, 036802. [Google Scholar] [CrossRef]
- Cheong, H.D.; Fujisawa, T.; Hayashi, T.; Hirayama, Y.; Jeong, Y.H. Impedance analysis of a radio-frequency single-electron transistor. Appl. Phys. Lett. 2002, 81, 3257–3259. [Google Scholar] [CrossRef]
- Persson, F.; Wilson, C.M.; Sandberg, M.; Johansson, G.; Delsing, P. Excess Dissipation in a Single-Electron Box: The Sisyphus Resistance. Nano Lett. 2010, 10, 953–957. [Google Scholar] [CrossRef]
- Frey, T.; Leek, P.J.; Beck, M.; Faist, J.; Wallraff, A.; Ensslin, K.; Ihn, T.; Büttiker, M. Quantum dot admittance probed at microwave frequencies with an on-chip resonator. Phys. Rev. B 2012, 86, 115303. [Google Scholar] [CrossRef]
- Cottet, A.; Mora, C.; Kontos, T. Mesoscopic admittance of a double quantum dot. Phys. Rev. B 2011, 83, 121311. [Google Scholar] [CrossRef]
- Duty, T.; Johansson, G.; Bladh, K.; Gunnarsson, D.; Wilson, C.; Delsing, P. Observation of Quantum Capacitance in the Cooper-Pair Transistor. Phys. Rev. Lett. 2005, 95, 206807. [Google Scholar] [CrossRef] [PubMed]
- John, D.L.; Castro, L.C.; Pulfrey, D.L. Quantum capacitance in nanoscale device modeling. J. Appl. Phys. 2004, 96, 5180–5184. [Google Scholar] [CrossRef]
- Shevchenko, S.N.; Rubanov, D.G.; Nori, F. Delayed-response quantum back action in nanoelectromechanical systems. Phys. Rev. B 2015, 91, 165422. [Google Scholar] [CrossRef]
- Crippa, A.; Maurand, R.; Kotekar-Patil, D.; Corna, A.; Bohuslavskyi, H.; Orlov, A.O.; Fay, P.; Laviéville, R.; Barraud, S.; Vinet, M.; et al. Level Spectrum and Charge Relaxation in a Silicon Double Quantum Dot Probed by Dual-Gate Reflectometry. Nano Lett. 2017, 17, 1001–1006. [Google Scholar] [CrossRef]
- Barthel, C.; Reilly, D.J.; Marcus, C.M.; Hanson, M.P.; Gossard, A.C. Rapid Single-Shot Measurement of a Singlet-Triplet Qubit. Phys. Rev. Lett. 2009, 103, 160503. [Google Scholar] [CrossRef]
- Crippa, A.; Ezzouch, R.; Aprá, A.; Amisse, A.; Laviéville, R.; Hutin, L.; Bertrand, B.; Vinet, M.; Urdampilleta, M.; Meunier, T.; et al. Gate-reflectometry dispersive readout and coherent control of a spin qubit in silicon. Nat. Commun. 2019, 10, 2776. [Google Scholar] [CrossRef]
- Urdampilleta, M.; Niegemann, D.J.; Chanrion, E.; Jadot, B.; Spence, C.; Mortemousque, P.A.; Bäuerle, C.; Hutin, L.; Bertrand, B.; Barraud, S.; et al. Gate-based high fidelity spin readout in a CMOS device. Nat. Nanotechnol. 2019, 14, 737–741. [Google Scholar] [CrossRef] [PubMed]
- West, A.; Hensen, B.; Jouan, A.; Tanttu, T.; Yang, C.H.; Rossi, A.; Gonzalez-Zalba, M.F.; Hudson, F.; Morello, A.; Reilly, D.J.; et al. Gate-based single-shot readout of spins in silicon. Nat. Nanotechnol. 2019, 14, 437–441. [Google Scholar] [CrossRef]
- Pakkiam, P.; Timofeev, A.V.; House, M.G.; Hogg, M.R.; Kobayashi, T.; Koch, M.; Rogge, S.; Simmons, M.Y. Single-Shot Single-Gate rf Spin Readout in Silicon. Phys. Rev. X 2018, 8, 041032. [Google Scholar] [CrossRef]
- Zheng, G.; Samkharadze, N.; Noordam, M.L.; Kalhor, N.; Brousse, D.; Sammak, A.; Scappucci, G.; Vandersypen, L.M.K. Rapid gate-based spin read-out in silicon using an on-chip resonator. Nat. Nanotechnol. 2019, 14, 742–746. [Google Scholar] [CrossRef]
- Colless, J.I.; Mahoney, A.C.; Hornibrook, J.M.; Doherty, A.C.; Lu, H.; Gossard, A.C.; Reilly, D.J. Dispersive Readout of a Few-Electron Double Quantum Dot with Fast rf Gate Sensors. Phys. Rev. Lett. 2013, 110, 046805. [Google Scholar] [CrossRef]
- Gonzalez-Zalba, M.F.; Barraud, S.; Ferguson, A.J.; Betz, A.C. Probing the limits of gate-based charge sensing. Nat. Commun. 2015, 6, 6084. [Google Scholar] [CrossRef]
- Vigneau, F.; Fedele, F.; Chatterjee, A.; Reilly, D.; Kuemmeth, F.; Gonzalez-Zalba, F.; Laird, E.; Ares, N. Probing quantum devices with radio-frequency reflectometry. arXiv 2022, arXiv:2202.10516. [Google Scholar]
- Gonzalez-Zalba, M.F.; Shevchenko, S.N.; Barraud, S.; Johansson, J.R.; Ferguson, A.J.; Nori, F.; Betz, A.C. Gate-Sensing Coherent Charge Oscillations in a Silicon Field-Effect Transistor. Nano Lett. 2016, 16, 1614–1619. [Google Scholar] [CrossRef] [PubMed]
- Petersson, K.D.; Smith, C.G.; Anderson, D.; Atkinson, P.; Jones, G.A.C.; Ritchie, D.A. Charge and Spin State Readout of a Double Quantum Dot Coupled to a Resonator. Nano Lett. 2010, 10, 2789–2793. [Google Scholar] [CrossRef] [PubMed]
- Mizuta, R.; Otxoa, R.M.; Betz, A.C.; Gonzalez-Zalba, M.F. Quantum and tunneling capacitance in charge and spin qubits. Phys. Rev. B 2017, 95, 045414. [Google Scholar] [CrossRef]
- Secchi, A.; Troiani, F. Theory of multi-dimensional quantum capacitance and its application to spin and charge discrimination in quantum-dot arrays. arXiv 2022, arXiv:2210.10546. [Google Scholar] [CrossRef]
- Mills, A.R.; Zajac, D.M.; Gullans, M.; Schupp, F.J.; Hazard, T.M.; Petta, J.R. Shuttling a single charge across a one-dimensional array of silicon quantum dots. Nat. Commun. 2019, 10, 1063. [Google Scholar] [CrossRef]
- Bellentani, L.; Bina, M.; Bonen, S.; Secchi, A.; Bertoni, A.; Voinigescu, S.P.; Padovani, A.; Larcher, L.; Troiani, F. Toward Hole-Spin Qubits in Si p-MOSFETs within a Planar CMOS Foundry Technology. Phys. Rev. Appl. 2021, 16, 054034. [Google Scholar] [CrossRef]
- Secchi, A.; Bellentani, L.; Bertoni, A.; Troiani, F. Interacting holes in Si and Ge double quantum dots: From a multiband approach to an effective-spin picture. Phys. Rev. B 2021, 104, 035302. [Google Scholar] [CrossRef]








Disclaimer/Publisher’s Note: The statements, opinions and data contained in all publications are solely those of the individual author(s) and contributor(s) and not of MDPI and/or the editor(s). MDPI and/or the editor(s) disclaim responsibility for any injury to people or property resulting from any ideas, methods, instructions or products referred to in the content. |
© 2022 by the authors. Licensee MDPI, Basel, Switzerland. This article is an open access article distributed under the terms and conditions of the Creative Commons Attribution (CC BY) license (https://creativecommons.org/licenses/by/4.0/).
Share and Cite
Secchi, A.; Troiani, F. Multi-Dimensional Quantum Capacitance of the Two-Site Hubbard Model: The Role of Tunable Interdot Tunneling. Entropy 2023, 25, 82. https://doi.org/10.3390/e25010082
Secchi A, Troiani F. Multi-Dimensional Quantum Capacitance of the Two-Site Hubbard Model: The Role of Tunable Interdot Tunneling. Entropy. 2023; 25(1):82. https://doi.org/10.3390/e25010082
Chicago/Turabian StyleSecchi, Andrea, and Filippo Troiani. 2023. "Multi-Dimensional Quantum Capacitance of the Two-Site Hubbard Model: The Role of Tunable Interdot Tunneling" Entropy 25, no. 1: 82. https://doi.org/10.3390/e25010082
APA StyleSecchi, A., & Troiani, F. (2023). Multi-Dimensional Quantum Capacitance of the Two-Site Hubbard Model: The Role of Tunable Interdot Tunneling. Entropy, 25(1), 82. https://doi.org/10.3390/e25010082

