A Community-Based Construct Method for an Inter-Satellite Communication Network of Satellite Swarm
Abstract
1. Introduction
- There is no limit on the type of satellites or constellations, so it is highly adaptable, which will help standardize a set of norms in the satellite network model;
 - It is based on the interaction of nodes, i.e., satellites, which can describe clearly how the structure of a satellite network affects its properties, behaviors, and performance;
 - It is able to interpret satellite networks in the way of systems or systems-of-systems and to reveal the nonlinearity of satellite networks.
 
2. Complex Network Models of the Satellite Swarm
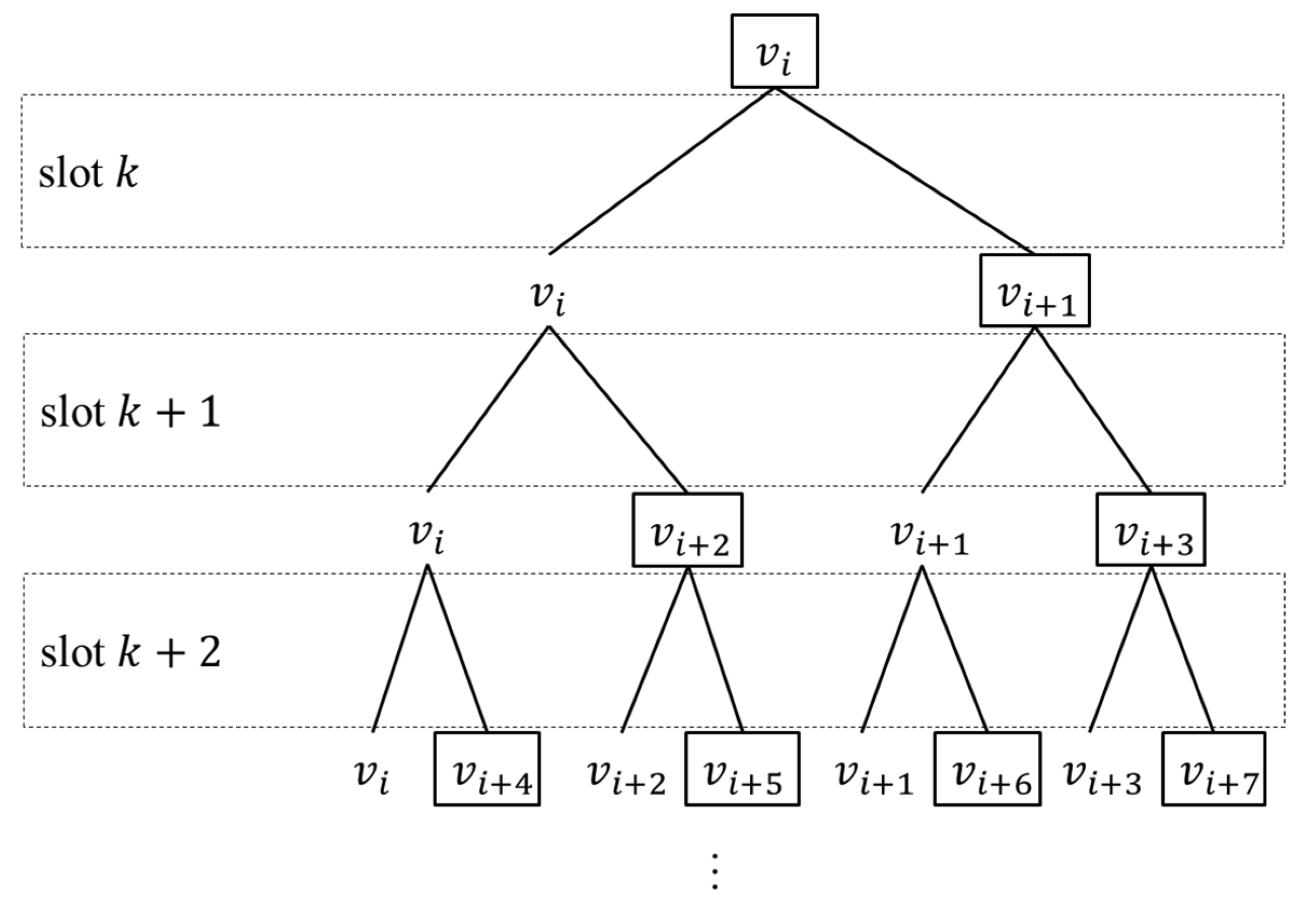
2.1. Introduction of Slots
2.2. Introduction of ICNS
- 1
 
- 2
 

2.3. Pre-Link Network
3. Community-Based Construct Method of an ICNS
3.1. Link Community
3.2. Algorithm to Sample a CCLC
| Algorithm 1. Sample algorithm for CCLC. | 
| Input: Adjacency matrix  of  Output: A subset of all CCLCs 1: Establish an empty set of CCLC and 2: for to do 3: for to do 4: if and then 5: Establish a set of visited nodes and a set of visited edges 6: for to do 7: Establish a CCLC 8: for to do 9: for to do 10: if , , and then 11: , , 12: break 13: end if 14: end for 15: end for 16: if then 17: , 18: end if 19: end for 20: end if 21: end for 22: end for  | 
3.3. Method of Selecting a CCLC According to Structural Entropy
4. Optimized Constructions of ICNS
4.1. ICNS for One State Period
- 4.
 - The set of selected CCLCs . The element of denotes the CCLC that is selected to become . is equivalent to for they both represent the relationship between ISLs and slots in an ICNS-OSP.
 - 5.
 - The set of all ISLs . contains all the ISLs that have been established within one state period. The ISLs that are established within different slots but include the same satellites are the same.
 - 6.
 - The set of link objects . contains all the satellites that have connected with via ISLs. The cardinality of , i.e., , is defined as the general degree of , which represents the number of link objects of .
 - 7.
 - The set of potential link objects . contains all the satellites that meet the conditions to establish ISLs with . The cardinality of , i.e., , represents the number of potential link objects of .
 
4.2. Dynamic-Connected and Dynamic Paths
4.3. Dynamic-Connectivity-Oriented Construction Method of ICNS
| Algorithm 2. Dynamic-connectivity-oriented construction method of ICNS. | 
| Input:  Output 1: Establish three matrices: and , , 2: Obtain based on using Algorithm 1 3: Obtain the MSE-CCLC in , denoted by , based on and 4: if then 5: 6: else 7: For each , 8: Obtain based on new using Algorithm 1 9: if do 10: Obtain the MSE-CCLC in , denoted by , based on new and new 11: 12: else 13: Obtain based on using Algorithm 1 14: 15: Establish the matrix , where 16: Establish the sequence: , where ; sort the sequence from small to large, which creates the new sequence: ; define the mapping and let 17: for to do 18: if and then 19: 20: break 21: end if 22: end for 23: end if 24: end if  | 
5. Simulation Analyses
5.1. Simulation Analyses for the Construction of an ICNS
- 8.
 - Three geosynchronous orbit satellites are at an altitude of 35,786 km and longitude of 80 °E, 110.5 °E, and 140 °E, respectively, and they are numbered from 1 to 3;
 - 9.
 - Three inclined geosynchronous orbit satellites are spaced with 120 ° phase intervals at an attitude of 35,786 km and inclination of 55 °, and they are numbered from 4 to 6;
 - 10.
 - Twenty-four medium earth orbit satellites constitute a 24/3/1 walker constellation with an altitude of 21,528 km and an inclination of 55 °, and they are numbered from 7 to 30.
 
5.2. Simulation Analyses of Dynamic Connection of ICNS
5.3. Impact of k-Value on ICNS

5.4. Comparisons with the Benchmark Methods
6. Conclusions
Author Contributions
Funding
Institutional Review Board Statement
Informed Consent Statement
Data Availability Statement
Conflicts of Interest
References
- Ren, W.; Zhu, J.; Qi, H.; Cong, L.; Di, X. Dynamic optimization of intersatellite link assignment based on reinforcement learning. Int. J. Distrib. Sens. Netw. 2022, 18, 155014772110702. [Google Scholar] [CrossRef]
 - Yan, J.; Xing, L.; Wang, P.; Sun, L.; Chen, Y. A scheduling strategy to inter-satellite links assignment in GNSS. Adv. Space Res. 2021, 67, 198–208. [Google Scholar] [CrossRef]
 - Sun, L.; Yang, J.; Huang, W.; Xu, L.; Cao, S.; Shao, H. Inter-satellite time synchronization and ranging link assignment for autonomous navigation satellite constellations. Adv. Space Res. 2022, 69, 2421–2432. [Google Scholar] [CrossRef]
 - Yan, J.; Song, G.; Leus, R.; Hou, Z.; Zhang, Z. Rolling weight-matching methods for the inter-satellite link assignment in global navigation satellite systems. GPS Solut. 2022, 26, 38. [Google Scholar] [CrossRef]
 - Liu, S.; Yang, J.; Guo, X.; Sun, L. Inter-satellite link assignment for the laser/radio hybrid network in navigation satellite systems. GPS Solut. 2020, 24, 49. [Google Scholar] [CrossRef]
 - Yan, Z.; Gu, G.; Zhao, K.; Wang, Q.; Li, G.; Nie, X.; Yang, H.; Du, S. Integer Linear Programming Based Topology Design for GNSSs With Inter-Satellite Links. IEEE Wirel. Commun. Lett. 2021, 10, 286–290. [Google Scholar] [CrossRef]
 - Zeng, L.; Lu, X.; Bai, Y.; Liu, B.; Yang, G. Topology design algorithm for optical inter-satellite links in future navigation satellite networks. GPS Solut. 2022, 26, 57. [Google Scholar] [CrossRef]
 - Wu, J. Study on Invulnerability of Complex Network Topologies. Ph.D. Thesis, National University of Defense Technology, Changsha, China, 2008. [Google Scholar]
 - Wang, J.; Chang, L.; Chen, H.; Zhu, Z. Networking Feasibility of Quantum Key Distribution Constellation Networks. Entropy 2022, 24, 298. [Google Scholar] [CrossRef]
 - Sun, X.; Cao, S. A Routing and Wavelength Assignment Algorithm Based on Two Types of LEO Constellations in Optical Satellite Networks. J. Light. Technol. 2020, 38, 2106–2113. [Google Scholar] [CrossRef]
 - Liu, X.; Yang, L.; Chen, Q.; Guo, J.; Wu, S.; Chen, X. An Analytic Method of Wavelength Requirements in Dynamic Optical Satellite Networks. IEEE Commun. Lett. 2020, 24, 2569–2573. [Google Scholar] [CrossRef]
 - Lu, Y.; Min, G.; Zuo, Z.; Liang, R.; Duan, Z. Structural Performance of Satellite Networks: A Complex Network Perspective. IEEE Syst. J. 2021, 15, 3848–3859. [Google Scholar] [CrossRef]
 - Chen, Q.; Guo, J.; Yang, L.; Liu, X.; Chen, X. Topology Virtualization and Dynamics Shielding Method for LEO Satellite Networks. IEEE Commun. Lett. 2020, 24, 433–437. [Google Scholar] [CrossRef]
 - Chang, H.; Kim, B.; Lee, C.; Choi, Y.; Min, S.; Yang, H.; Kim, C. Topological design and routing for low-Earth orbit satellite networks. In Proceedings of the GLOBECOM ‘95, Singapore, 14–16 November 1995; Volume 1, pp. 529–535. [Google Scholar]
 - Chang, H.S.; Kim, B.W.; Lee, C.G.; Min, S.L.; Choi, Y.; Yang, H.S.; Kim, D.N.; Kim, C.S. FSA-based link assignment and routing in low-earth orbit satellite networks. IEEE Trans. Veh. Technol. 1998, 47, 1037–1048. [Google Scholar] [CrossRef]
 - Newman, M. Detecting community structure in networks. Eur. Phys. J. B 2004, 38, 321–330. [Google Scholar] [CrossRef]
 - Lovász, L.; Plummer, M.D. Determinants and Matchings. In Matching Theory; North-Holland: Amsterdam, The Netherlands, 1986; Volume 121, pp. 307–355. [Google Scholar]
 - Tutte, W.T. The Factorization of Linear Graphs. J. Lond. Math. Soc. 1947, s1-22, 107–111. [Google Scholar] [CrossRef]
 - Cai, M.; Du, H.; Feldman, M.W. A new network structure entropy based on maximum flow. Acta Phys. Sin. 2014, 63, 060504. [Google Scholar]
 - Solé, R.V.; Valverde, S. Information Theory of Complex Networks: On Evolution and Architectural Constraints. In Complex Networks; Ben-Naim, E., Frauenfelder, H., Toroczkai, Z., Eds.; Springer: Berlin/Heidelberg, Germany, 2004; pp. 189–207. [Google Scholar]
 - Cai, M.; Liu, J.; Cui, Y. A Network Structure Entropy Considering Series-Parallel Structures. Entropy 2022, 24, 852. [Google Scholar] [CrossRef]
 - Huang, L.; Huo, Y.; Wang, Q.; Cheng, X. Network heterogeneity based on K-order structure entropy. Acta Phys. Sin. 2019, 68, 018901. [Google Scholar] [CrossRef]
 - Cai, M.; Du, H.; Ren, Y.; Feldman, M.W. A new network structure entropy based node difference and edge difference. Acta Phys. Sin. 2011, 60, 110513. [Google Scholar]
 - Hou, Z.; Yi, X.; Zhao, Y.; Zhang, Y. Information transmission path selection of navigation satellite network based on directional crosslink. In Proceedings of the 7th China Satellite Navigation Conference, CSNC 2016, Changsha, China, 18–20 May 2016; Springer: Changsha, China, 2016; pp. 461–470. [Google Scholar]
 - Levandowsky, M.; Winter, D. Distance between Sets. Nature 1971, 234, 34–35. [Google Scholar] [CrossRef]
 - Zhou, W.; Zhu, Y.; Li, Y.; Li, Q.; Yu, Q. Research on hierarchical architecture and routing of satellite constellation with IGSO-GEO-MEO network. Int. J. Satell. Commun. Netw. 2020, 38, 162–176. [Google Scholar] [CrossRef]
 - Wu, G. Research on Inter-Satellite Link Network and Transport Protocols. Master’s Thesis, National University of Defense Technology, Changsha, China, 2014. [Google Scholar]
 - Yang, D.; Yang, J.; Xu, P. Timeslot scheduling of inter-satellite links based on a system of a narrow beam with time division. GPS Solut. 2017, 21, 999–1011. [Google Scholar] [CrossRef]
 - Sun, L.; Wang, Y.; Huang, W.; Yang, J.; Zhou, Y.; Yang, D. Inter-satellite communication and ranging link assignment for navigation satellite systems. GPS Solut. 2018, 22, 38. [Google Scholar] [CrossRef]
 








| Simulation Group Number | Improved or Not | Number of Slots | 
|---|---|---|
| 1 | Yes | 20 | 
| 2 | No | 20 | 
| 3 | Yes | 40 | 
| 4 | No | 40 | 
| k-Value | Number of ISLs | Average Spatial Length of Dynamic Paths | Average Temporal Length of Dynamic Paths | Average DCD | 
|---|---|---|---|---|
| 1 | 409 | 2.758 | 4.556 | 7.7 | 
| 2 | 411 | 2.731 | 4.494 | 7.475 | 
| Parameter | Value | 
|---|---|
| Task time interval | 10,080 min (1 week) | 
| State period | 1 min | 
| Slot | 3 s | 
| Method | Average Number of ISLs | APTL | 
|---|---|---|
| The proposed method | 19.92 | 1.33 | 
| RWM | 17.28 | 1.49 | 
| RWMWE | 14.85 | 1.15 | 
| DDE | 12.23 | 2.12 | 
| GA | 9.63 | 1.38 | 
Disclaimer/Publisher’s Note: The statements, opinions and data contained in all publications are solely those of the individual author(s) and contributor(s) and not of MDPI and/or the editor(s). MDPI and/or the editor(s) disclaim responsibility for any injury to people or property resulting from any ideas, methods, instructions or products referred to in the content.  | 
© 2023 by the authors. Licensee MDPI, Basel, Switzerland. This article is an open access article distributed under the terms and conditions of the Creative Commons Attribution (CC BY) license (https://creativecommons.org/licenses/by/4.0/).
Share and Cite
Lun, W.; Li, Q.; Zhang, C.; Zhu, Z. A Community-Based Construct Method for an Inter-Satellite Communication Network of Satellite Swarm. Entropy 2023, 25, 121. https://doi.org/10.3390/e25010121
Lun W, Li Q, Zhang C, Zhu Z. A Community-Based Construct Method for an Inter-Satellite Communication Network of Satellite Swarm. Entropy. 2023; 25(1):121. https://doi.org/10.3390/e25010121
Chicago/Turabian StyleLun, Weicheng, Qun Li, Can Zhang, and Zhi Zhu. 2023. "A Community-Based Construct Method for an Inter-Satellite Communication Network of Satellite Swarm" Entropy 25, no. 1: 121. https://doi.org/10.3390/e25010121
APA StyleLun, W., Li, Q., Zhang, C., & Zhu, Z. (2023). A Community-Based Construct Method for an Inter-Satellite Communication Network of Satellite Swarm. Entropy, 25(1), 121. https://doi.org/10.3390/e25010121
        
