Fault Diagnosis of Power Transformer Based on Time-Shift Multiscale Bubble Entropy and Stochastic Configuration Network
Abstract
:1. Introduction
2. TSMBE-SCN Model
2.1. Bubble Entropy
- (1)
- Map time series into m-dimensional space vector by phase space reconstruction:where represents the embedding dimension, is the length of time series, is the delay time, and its value takes 1.
- (2)
- Replace with and repeat steps (1)–(2) to calculate ;
- (3)
- According to Formula (3), bubble entropy can be obtained:
2.2. Time-Shift Multiscale Bubble Entropy
- (1)
- As shown in Figure 1, segment the time series signal of length into subsequences through Formula (4):where is the sample point of the original signal, represents the number of segmented subsequences, and is the subsequence.
- (2)
- Calculate the bubble entropy of time series signals at all scales, and define the mean value of these attention entropy as the TSMBE at this scale :
- (3)
- Use Formula (5) to calculate the TSMBE value of all scale factors , and take the set of these values as TSMBE. In this paper, is set to 10. The specific calculation process is shown in Figure 2:
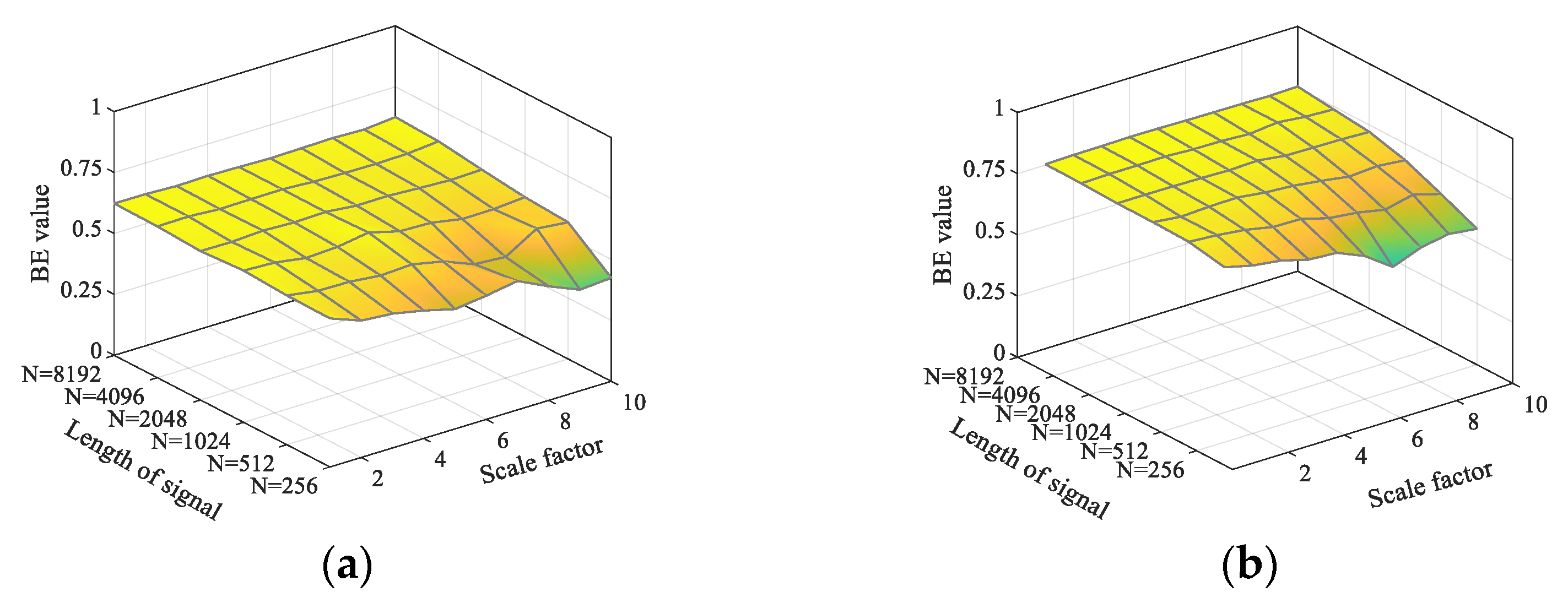
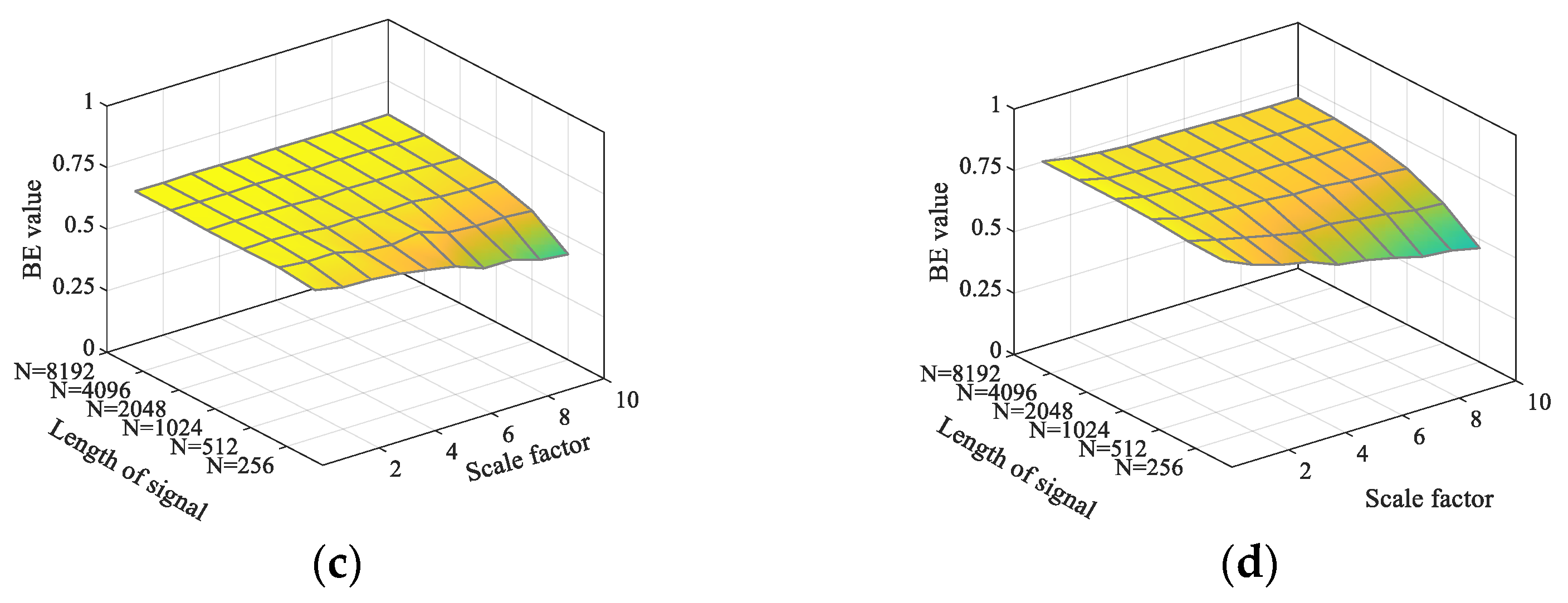
2.2.1. Parameter Discussion of TSMBE
2.2.2. Performance Analysis of TSMBE
2.3. Stochastic Configuration Network
- (1)
- Use sigmoid as the activation function to calculate the output of the hidden node, when the hidden layer node is , then the output of the SCN is:where represents the output weight of the hidden node, is the input vector, and is the maximum number of hidden layer nodes. At the same time, the network error can be calculated according to Formula (7):
- (2)
- Introduce a supervision mechanism, and randomly assign the input weight and bias of node through Formula (8):where ,; represents the regularization parameter, ranging from 0 to 1; and . The weight and bias corresponding to the maximum value obtained by repeating Tmax experiment are the required values.
- (3)
- Use the least square method combined with weight and bias to calculate the hidden layer output weight:
2.4. Transformer Fault Diagnosis Model Based on TSMBE-SCN
3. Experimental Case Analysis
3.1. Experimental Platform and Data Description
3.2. Fault Feature Extraction of Transformer Vibration Signal
3.3. Pattern Recognition of Transformer Signal
4. Conclusions
- (1)
- Aiming to solve the shortcomings of insufficient coarse-grained scale, and the difficulty in determining hyper-parameters of traditional multiscale entropy, a new nonlinear dynamic method—time-shift multiscale bubble entropy—was developed. The hyper-parameters and the applicable shortest timing length of the TSMBE algorithm were determined through simulation experiments, and comparison experiments of TSMBE, MBE, TSMSE and MSE algorithms were carried out to verify that TSMBE had good signal recognition performance and robustness of timing length;
- (2)
- The proposed method was applied to real transformer fault cases. Compared with MBE-SCN, TSMSE-SCN, MSE-SCN, TSMDE-SCN and MDE-SCN models, the proposed model performed best. The diagnostic mean values under different folding numbers were 99.01%, 99.1%, 99.11%, 99.11%, 99.14% and 99.02%, respectively, and the diagnostic standard deviations were 0.665%, 0.762%, 0.971%, 0.882%, 0.985% and 1.279%, respectively, which proved the superiority of the proposed method;
- (3)
- Comparing the recognition performance of the four classifiers SCN, BPNN, SVM and ELM, it was concluded that the diagnostic rate of TSMNE-SCN increased by 1.17%, 2.66% and 15.01%, while the standard deviation decreased by 0.05%, 0.894% and 7.906%, indicating that SCN had the best recognition performance. In addition, the diagnostic results of the proposed method under different embedding dimensions m were discussed. It showed that the mean value of different models did not fluctuate more than 0.28%, and the standard deviation did not fluctuate more than 0.62%. All models achieved a diagnostic mean value of more than 98.73%, and the standard deviation was also less than 0.728%, indicating that TSMBE was an algorithm not affected by parameters.
Author Contributions
Funding
Institutional Review Board Statement
Informed Consent Statement
Data Availability Statement
Conflicts of Interest
References
- Soni, R.; Mehta, B. Evaluation of power transformer health analysis by internal fault criticalities to prevent premature failure using statistical data analytics approach. Eng. Fail. Anal. 2022, 136, 106213. [Google Scholar] [CrossRef]
- Du, M.M.; Zhao, Y.Q.; Liu, C.J.; Zhu, Z. Lifecycle cost forecast of 110 kV power transformers based on support vector regression and gray wolf optimization. Alex. Eng. J. 2021, 60, 5393–5399. [Google Scholar] [CrossRef]
- Tightiz, L.; Nasab, M.A.; Yang, H.; Addeh, A. An intelligent system based on optimized ANFIS and association rules for power transformer fault diagnosis. ISA Trans. 2020, 103, 63–74. [Google Scholar] [CrossRef] [PubMed]
- Zhang, D.; Li, C.B.; Shahidehpour, M.; Wu, Q.W.; Zhou, B.; Zhang, C.; Huang, W.T. A bi-level machine learning method for fault diagnosis of oil-immersed transformers with feature explainability. Int. J. Electr. Power Energy Syst. 2022, 134, 107356. [Google Scholar] [CrossRef]
- Li, Z.H.; He, Y.G.; Xing, Z.K.; Duan, J.J. Transformer fault diagnosis based on improved deep coupled dense convolutional neural network. Electr. Power Syst. Res. 2022, 209, 107969. [Google Scholar] [CrossRef]
- Christina, A.J.; Salam, M.A.; Rahman, Q.M.; Wen, F.S.; Ang, S.P.; Voon, W. Causes of transformer failures and diagnostic methods—A review. Renew. Sustain. Energy Rev. 2018, 82, 1442–1456. [Google Scholar]
- Elsisi, M.; Tran, M.Q.; Mahmoud, K.; Mansour, D.E.A.; Lehtonen, M.; Darwish, M.M.F. Effective IoT-based deep learning platform for online fault diagnosis of power transformers against cyberattacks and data uncertainties. Measurement 2022, 190, 110686. [Google Scholar] [CrossRef]
- Abbasi, A.R. Fault detection and diagnosis in power transformers: A comprehensive review and classification of publications and methods. Electr. Power Syst. Res. 2022, 209, 107990. [Google Scholar] [CrossRef]
- Bagheri, M.; Nezhivenko, S.; Naderi, S.M.; Zollanvari, A. A new vibration analysis approach for transformer fault prognosis over cloud environment. Int. J. Electr. Power Energy Syst. 2018, 100, 104–116. [Google Scholar] [CrossRef]
- Kim, S.; Jo, S.H.; Kim, W.; Park, J.; Jeong, J.; Han, Y.; Kim, D.; Youn, B.D. A Semi-Supervised Autoencoder with an Auxiliary Task (SAAT) for Power Transformer Fault Diagnosis Using Dissolved Gas Analysis. IEEE Access 2020, 8, 178295–178310. [Google Scholar] [CrossRef]
- Wu, Y.H.; Sun, X.B.; Zhang, Y.; Zhong, X.J.; Cheng, L. A power transformer fault diagnosis method-based hybrid improved sagull optimization algorithm and support vector machine. IEEE Access 2021, 10, 17268–17286. [Google Scholar] [CrossRef]
- Kim, S.; Park, J.; Kim, W.; Jo, S.H.; Youn, B.D. Learning from even a weak teacher: Bridging rule-based Duval method and a deep neural network for power transformer fault diagnosis. Int. J. Electr. Power Energy Syst. 2022, 136, 107619. [Google Scholar] [CrossRef]
- Seo, B.; Shin, J.; Kim, T.; Youn, B.D. Missing data imputation using an iterative denoising autoencoder (IDAE) for dissolved gas analysis. Electr. Power Syst. Res. 2022, 212, 108642. [Google Scholar] [CrossRef]
- Jiang, P.Y.; Zhang, Z.L.; Dong, Z.J.; Wu, Y.Y.; Xiao, R.; Deng, J.; Pan, Z.C. Research on distribution characteristics of vibration signals of ±500 kV HVDC converter transformer winding based on load test. Int. J. Electr. Power Energy Syst. 2021, 132, 107200. [Google Scholar] [CrossRef]
- Zhang, C.L.; He, Y.G.; Du, B.L.; Yuan, L.F.; Li, B.; Jiang, S.H. Transformer fault diagnosis method using IoT based monitoring system and ensemble machine learning. Future Gener. Comput. Syst. 2020, 108, 533–545. [Google Scholar] [CrossRef]
- Hong, K.X.; Jin, M.; Huang, H. Transformer Winding Fault Diagnosis Using Vibration Image and Deep Learning. IEEE Trans. Power Deliv. 2021, 36, 676–685. [Google Scholar] [CrossRef]
- Xiao, R.; Zhang, Z.L.; Wu, Y.Y.; Jiang, P.Y.; Deng, J. Multi-scale information fusion model for feature extraction of converter transformer vibration signal. Measurement 2021, 180, 109555. [Google Scholar] [CrossRef]
- Shahbazi, N.; Bagheri, S.; Gharehpetian, G.B. Identification and classification of cross-country faults in transformers using K-NN and tree-based classifiers. Electr. Power Syst. Res. 2022, 204, 107690. [Google Scholar] [CrossRef]
- Zhang, Z.L.; Wu, Y.Y.; Zhang, R.X.; Jiang, P.Y.; Liu, G.H.; Ahmed, S.; Dong, Z.J. Novel Transformer Fault Identification Optimization Method Based on Mathematical Statistics. Mathematics 2019, 7, 288. [Google Scholar] [CrossRef]
- Li, Z.H.; Zhang, Y.J.; Siada, A.A.; Chen, X.X.; Li, Z.X.; Xu, Y.C.; Zhang, L.; Tong, Y. Fault Diagnosis of Transformer Windings Based on Decision Tree and Fully Connected Neural Network. Energies 2021, 14, 1531. [Google Scholar] [CrossRef]
- Jia, R.; Xie, Y.T.; Wu, H.; Dang, J.; Dong, K.S. Power Transformer Partial Discharge Fault Diagnosis Based on Multidimensional Feature Region. Math. Probl. Eng. 2016, 2016, 4835694. [Google Scholar] [CrossRef]
- Chen, W.G.; Li, J.N.; Wang, Q.; Han, K. Fault feature extraction and diagnosis of rolling bearings based on wavelet thresholding denoising with CEEMDAN energy entropy and PSO-LSSVM. Measurement 2021, 172, 108901. [Google Scholar] [CrossRef]
- Wang, X.C.; Lu, Z.G.; Wei, J.Y.; Zhang, Y. Fault Diagnosis for Rail Vehicle Axle-Box Bearings Based on Energy Feature Reconstruction and Composite Multiscale Permutation Entropy. Entropy 2019, 21, 865. [Google Scholar] [CrossRef]
- Pichika, S.V.V.S.N.; Meganaa, G.; Rajasekharan, S.G.; Malapati, A. Multi-component fault classification of a wind turbine gearbox using integrated condition monitoring and hybrid ensemble method approach. Appl. Acoust. 2022, 195, 108814. [Google Scholar] [CrossRef]
- Wang, Z.Y.; Li, G.S.; Yao, L.G.; Qi, X.L.; Zhang, J. Data-driven fault diagnosis for wind turbines using modified multiscale fluc-tuation dispersion entropy and cosine pairwise-constrained supervised manifold mapping. Knowl. Based Syst. 2021, 228, 107276. [Google Scholar] [CrossRef]
- Lu, S.B.; Ye, W.W.; Xue, Y.G.; Tang, Y.; Guo, M. Dynamic feature information extraction using the special empirical mode de-composition entropy value and index energy. Energy 2020, 193, 116610. [Google Scholar] [CrossRef]
- Wang, W.Y.; Chen, Q.J.; Yan, D.L.; Geng, D.Z. A novel comprehensive evaluation method of the draft tube pressure pulsation of Francis turbine based on EEMD and information entropy. Mech. Syst. Signal Process. 2019, 116, 772–786. [Google Scholar] [CrossRef]
- Zhao, M.Y.; Xu, G. Feature extraction of power transformer vibration signals based on empirical wavelet transform and mul-tiscale entropy. IET Sci. Meas. Technol. 2018, 12, 63–71. [Google Scholar] [CrossRef]
- Lu, S.J.; Gao, W.; Hong, C.; Sun, Y.Q. A newly-designed fault diagnostic method for transformers via improved empirical wavelet transform and kernel extreme learning machine. Adv. Eng. Inform. 2021, 49, 101320. [Google Scholar] [CrossRef]
- Shang, H.K.; Xu, J.Y.; Li, Y.C.; Lin, W.; Wang, J.J. A Novel Feature Extraction Method for Power Transformer Vibration Signal Based on CEEMDAN and Multi-Scale Dispersion Entropy. Entropy 2021, 23, 1319. [Google Scholar] [CrossRef]
- Shang, H.K.; Li, F.; Wu, Y.J. Partial discharge fault diagnosis based on multiscale dispersion entropy and a hypersphere mul-ticlass support vector machine. Entropy 2019, 21, 81. [Google Scholar] [CrossRef] [PubMed]
- Dong, W.; Zhang, S.Q.; Hu, M.F.; Zhang, L.G.; Liu, H.T. Intelligent fault diagnosis of wind turbine gearboxes based on refined generalized multiscale state joint entropy and robust spectral feature selection. Nonlinear Dyn. 2022, 107, 2485–2517. [Google Scholar] [CrossRef]
- Noman, K.; Wang, D.; Peng, Z.K.; He, Q.B. Oscillation based permutation entropy calculation as a dynamic nonlinear feature for health monitoring of rolling element bearing. Measurement 2021, 172, 108891. [Google Scholar] [CrossRef]
- Manis, G.; Aktaruzzaman, M.D.; Sassi, R. Bubble Entropy: An Entropy Almost Free of Parameters. IEEE Trans. Biomed. Eng. 2017, 64, 2711–2718. [Google Scholar] [PubMed]
- Manis, G.; Bodini, M.; Rivolta, M.W.; Sassi, R. A Two-Steps-Ahead Estimator for Bubble Entropy. Entropy 2021, 23, 761. [Google Scholar] [CrossRef]
- Pham, T.D. Time-Shift Multiscale Entropy Analysis of Physiological Signals. Entropy 2017, 19, 257. [Google Scholar] [CrossRef]
- Li, K.J.; Zhang, J.X.; Chen, X.; Xue, W.P. Building’s hourly electrical load prediction based on data clustering and ensemble learning strategy. Energy Build. 2022, 261, 111943. [Google Scholar] [CrossRef]
- Li, D.; Sun, G.F.; Miao, S.W.; Gu, Y.Z.; Zhang, Y.H.; He, S. A short-term electric load forecast method based on improved se-quence-to-sequence GRU with adaptive temporal dependence. Int. J. Electr. Power Energy Syst. 2022, 137, 107627. [Google Scholar] [CrossRef]
- Ren, J.Y.; Chen, J.F.; Shi, D.Y.; Li, Y.H.; Li, D.H.; Wang, Y.; Cai, D.F. Online multi-fault power system dynamic security assessment driven by hybrid information of anticipated faults and pre-fault power flow. Int. J. Electr. Power Energy Syst. 2022, 136, 107651. [Google Scholar] [CrossRef]
- Pournabi, M.; Mohammadi, M.; Afrasiabi, S.; Setoodeh, P. Power system transient security assessment based on deep learning considering partial observability. Electr. Power Syst. Res. 2022, 205, 107736. [Google Scholar] [CrossRef]
- Tavoosi, J.; Shirkhani, M.; Azizi, A.; Din, S.U.; Mohammadzadeh, A.; Mobayen, S. A hybrid approach for fault location in power distributed networks: Impedance-based and machine learning technique. Electr. Power Syst. Res. 2022, 210, 108073. [Google Scholar] [CrossRef]
- Ravesh, N.R.; Ramezani, N.; Ahmadi, I.; Nouri, H. A hybrid artificial neural network and wavelet packet transform approach for fault location in hybrid transmission lines. Electr. Power Syst. Res. 2022, 204, 107721. [Google Scholar] [CrossRef]
- Fan, Q.C.; Yu, F.; Xuan, M. Transformer fault diagnosis method based on improved whale optimization algorithm to optimize support vector machine. Energy Rep. 2021, 7, 856–866. [Google Scholar] [CrossRef]
- Zhu, W.; Wei, Y.S.; Xiao, H. Fault diagnosis of neural network classified signal fractal feature based on SVM. Clust. Comput. 2019, 22, 4249–4254. [Google Scholar] [CrossRef]
- Zhou, Y.C.; Yang, X.H.; Tao, L.Y.; Yang, L. Transformer Fault Diagnosis Model Based on Improved Gray Wolf Optimizer and Probabilistic Neural Network. Energies 2021, 14, 3029. [Google Scholar] [CrossRef]
- Dong, H.Y.; Yang, X.H.; Li, A.Y.; Xie, Z.H.; Zuo, Y.L. Bio-Inspired PHM Model for Diagnostics of Faults in Power Transformers Using Dissolved Gas-in-Oil Data. Sensors 2019, 19, 845. [Google Scholar] [CrossRef]
- Wang, D.H.; Li, M. Stochastic Configuration Networks: Fundamentals and Algorithms. IEEE Trans. Cybern. 2017, 47, 3466–3479. [Google Scholar] [CrossRef]
- Han, Y.; Song, X.P.; Li, K.; Yan, X.X. Hybrid modeling for submergence depth of the pumping well using stochastic configuration networks with random sampling. J. Pet. Sci. Eng. 2022, 208, 109423. [Google Scholar] [CrossRef]
- Pang, L.P.; Guo, L.; Zhang, J.; Xiao, R.; Qu, H.Q.; Wang, X. Subject-specific mental workload classification using EEG and sto-chastic configuration network (SCN). Biomed. Signal Process. Control. 2021, 68, 102711. [Google Scholar] [CrossRef]
- Wang, W.; Wang, D.H. Prediction of component concentrations in sodium aluminate liquor using stochastic configuration networks. Neural Comput. Appl. 2020, 32, 13625–13638. [Google Scholar] [CrossRef]
- Tian, Z.D.; Chen, H. Multi-step short-term wind speed prediction based on integrated multi-model fusion. Appl. Energy 2021, 298, 117248. [Google Scholar] [CrossRef]
- Wang, W.; Jia, Y.; Yu, W.; Pang, H.S.; Cai, K.W. On-line ammonia nitrogen measurement using generalized additive model and stochastic configuration networks. Measurement 2021, 170, 108743. [Google Scholar] [CrossRef]
- Costa, M.; Goldberger, A.L.; Peng, C.K. Multiscale entropy analysis of complex physiologic time series. Phys. Rev. Lett. 2002, 89, 068102. [Google Scholar] [CrossRef] [PubMed]
- Zollanvari, A.; Kunanbayev, K.; Bitaghsir, S.A.; Bagheri, M. Transformer Fault Prognosis Using Deep Recurrent Neural Network Over Vibration Signals. IEEE Trans. Instrum. Meas. 2020, 70, 2502011. [Google Scholar] [CrossRef]
- Wang, F.R.; Chen, Z.; Song, G.B. Smart crawfish: A concept of underwater multi-bolt looseness identification using entropy-enhanced active sensing and ensemble learning. Mech. Syst. Signal Process. 2021, 149, 107186. [Google Scholar] [CrossRef]
- Shao, K.X.; Fu, W.L.; Tan, J.W.; Wang, K. Coordinated approach fusing time-shift multiscale dispersion entropy and vibrational Harris hawks optimization-based SVM for fault diagnosis of rolling bearing. Measurement 2021, 173, 108580. [Google Scholar] [CrossRef]
- Zhang, F.; Sun, W.L.; Wang, H.W.; Xu, T.T. Fault Diagnosis of a Wind Turbine Gearbox Based on Improved Variational Mode Algorithm and Information Entropy. Entropy 2021, 23, 794. [Google Scholar] [CrossRef]




















| Model | Parameter | ||||
|---|---|---|---|---|---|
| m | d | Number of Categories c | Threshold r | Scale Factor τ | |
| TSMBE | 4 | 1 | 10 | ||
| TSMDE | 2 | 1 | 5 | 10 | |
| TSMSE | 2 | 1 | 10 | ||
| MBE | 4 | 1 | 10 | ||
| MDE | 4 | 1 | 10 | ||
| MSE | 2 | 1 | 5 | 10 | |
Publisher’s Note: MDPI stays neutral with regard to jurisdictional claims in published maps and institutional affiliations. |
© 2022 by the authors. Licensee MDPI, Basel, Switzerland. This article is an open access article distributed under the terms and conditions of the Creative Commons Attribution (CC BY) license (https://creativecommons.org/licenses/by/4.0/).
Share and Cite
Chen, F.; Tian, W.; Zhang, L.; Li, J.; Ding, C.; Chen, D.; Wang, W.; Wu, F.; Wang, B. Fault Diagnosis of Power Transformer Based on Time-Shift Multiscale Bubble Entropy and Stochastic Configuration Network. Entropy 2022, 24, 1135. https://doi.org/10.3390/e24081135
Chen F, Tian W, Zhang L, Li J, Ding C, Chen D, Wang W, Wu F, Wang B. Fault Diagnosis of Power Transformer Based on Time-Shift Multiscale Bubble Entropy and Stochastic Configuration Network. Entropy. 2022; 24(8):1135. https://doi.org/10.3390/e24081135
Chicago/Turabian StyleChen, Fei, Wanfu Tian, Liyao Zhang, Jiazheng Li, Chen Ding, Diyi Chen, Weiyu Wang, Fengjiao Wu, and Bin Wang. 2022. "Fault Diagnosis of Power Transformer Based on Time-Shift Multiscale Bubble Entropy and Stochastic Configuration Network" Entropy 24, no. 8: 1135. https://doi.org/10.3390/e24081135
APA StyleChen, F., Tian, W., Zhang, L., Li, J., Ding, C., Chen, D., Wang, W., Wu, F., & Wang, B. (2022). Fault Diagnosis of Power Transformer Based on Time-Shift Multiscale Bubble Entropy and Stochastic Configuration Network. Entropy, 24(8), 1135. https://doi.org/10.3390/e24081135

