Hydrodynamic Behavior of Self-Propelled Particles in a Simple Shear Flow
Abstract
1. Introduction
2. Basic Model
2.1. Squirmer Model
2.2. Collision Mode
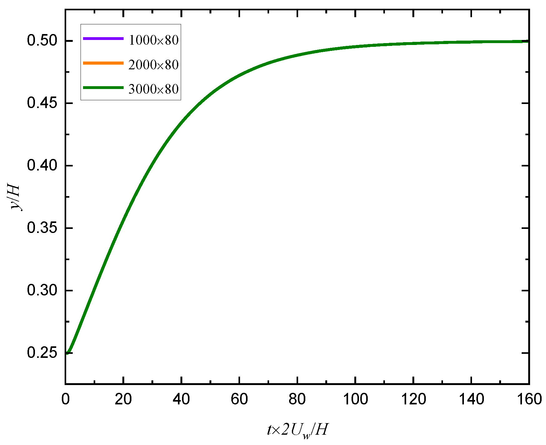
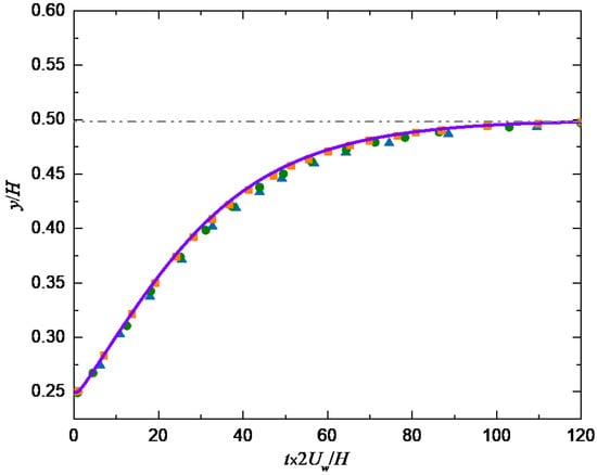
3. Numerical Methods and Verification
3.1. Immersion Boundary-Lattice Boltzmann Method
3.2. Verification of Numerical Method
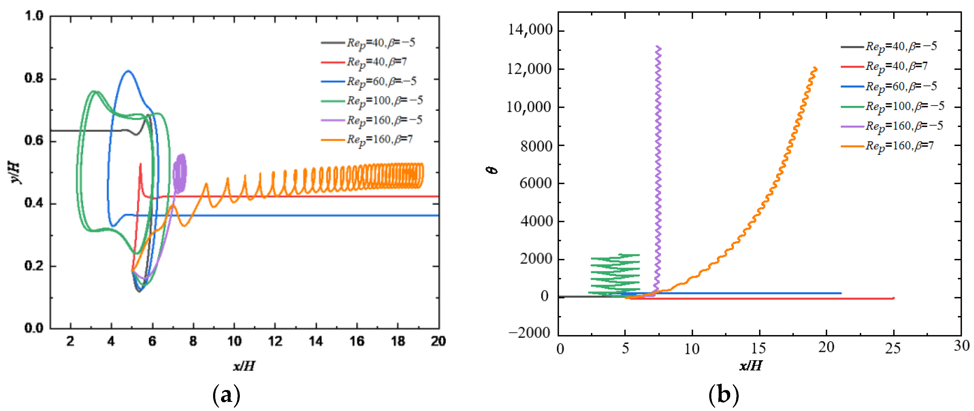
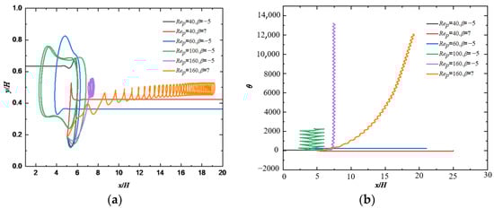
4. Results and Discussion
4.1. Effect of Initial Condition on the Squirmer’s Motion
4.2. Effect of the Swimming Reynolds Number
4.3. Effect of the Flow Reynolds Number
4.4. Effect of the Blocking Rate
5. Conclusions
Author Contributions
Funding
Institutional Review Board Statement
Informed Consent Statement
Data Availability Statement
Conflicts of Interest
References
- Suarez, S.S.; Pacey, A.A. Sperm transport in the female reproductive tract. Hum. Reprod. Update 2006, 12, 23–37. [Google Scholar] [CrossRef] [PubMed]
- Pedley, T.; Kessler, J.O. Hydrodynamic Phenomena in Suspensions of Swimming Microorganisms. Annu. Rev. Fluid Mech. 1992, 24, 313–358. [Google Scholar] [CrossRef]
- Hamel, A.; Fisch, C.; Combettes, L.; Dupuis-Williams, P.; Baroud, C.N. Transitions between three swimming gaits in Paramecium escape. Proc. Natl. Acad. Sci. USA 2011, 108, 7290–7295. [Google Scholar] [CrossRef]
- Lee, T.C.; Long, D.S.; Clarke, R.J. Effect of endothelial glycocalyx layer redistribution upon microvessel poroelastohydrodynamics. J. Fluid Mech. 2016, 798, 812–852. [Google Scholar] [CrossRef]
- Muhuri, S.; Rao, M.; Ramaswamy, S. Shear-flow–induced isotropic-to-nematic transition in a suspension of active filaments. Europhys. Lett. 2007, 78, 48002. [Google Scholar] [CrossRef][Green Version]
- Pahlavan, A.A.; Saintillan, D. Instability regimes in flowing suspensions of swimming micro-organisms. Phys. Fluids 2011, 23, 123304. [Google Scholar] [CrossRef]
- Koch, D.L.; Subramanian, G. Collective hydrodynamics of swimming microorganisms: Living fluids. Annu. Rev. Fluid Mech. 2011, 43, 637–659. [Google Scholar] [CrossRef]
- Alqarni, M.S.; Bearon, R.N. Transport of helical gyrotactic swimmers in channels. Phys. Fluids 2016, 28, 071904. [Google Scholar] [CrossRef]
- Ishimoto, K.; Crowdy, D.G. Dynamics of a treadmilling microswimmer near a no-slip wall in simple shear. J. Fluid Mech. 2017, 821, 647–667. [Google Scholar] [CrossRef]
- Ishimoto, K.; Gaffney, E.A. Fluid flow and sperm guidance: A simulation study of hydrodynamic sperm rheotaxis. J. R. Soc. Interface 2015, 12, 20150172. [Google Scholar] [CrossRef]
- Jiang, W.; Chen, G. Dispersion of active particles in confined unidirectional flows. J. Fluid Mech. 2019, 877, 1–34. [Google Scholar] [CrossRef]
- Swan, J.W.; Brady, J.F. Particle motion between parallel walls: Hydrodynamics and simulation. Phys. Fluids 2010, 22, 103301. [Google Scholar] [CrossRef]
- ten Hagen, B.; Wittkowskim, R.; Lowen, H. Brownian dynamics of a self-propelled particle in shear flow. Phys. Rev. E Stat. Nonlinear Soft Matter Phys. 2011, 84, 031105. [Google Scholar] [CrossRef] [PubMed]
- Kalman, D.P.; Wagner, N.J. Microstructure of shear-thickening concentrated suspensions determined by flow-USANS. Rheol. Acta 2009, 48, 897–908. [Google Scholar] [CrossRef]
- Crassous, J.J.; Wittemann, A.; Siebenburger, M.; Schrinner, M.; Drechsler, M.; Ballauff, M. Direct imaging of temperature-sensitive core-shell latexes by cryogenic transmission electron microscopy. Colloid Polym. Sci. 2008, 286, 805–812. [Google Scholar] [CrossRef]
- Lettinga, M.P.; Dhont, J.K.G. Non-equilibrium phase behavior of rod-like viruses under shear flow. J. Phys. Condens. Matter 2004, 16, S3929. [Google Scholar] [CrossRef]
- Blaak, R.; Auer, S.; Frenkel, D.; Lowen, H. Crystal nucleation of colloidal suspensions under shear. Phys. Rev. Lett. 2004, 93, 68303. [Google Scholar] [CrossRef]
- Dhont, J.K.G.; Nagele, G. Critical viscoelastic behavior of colloids. Phys. Rev. E 1998, 58, 7710–7732. [Google Scholar] [CrossRef]
- Lighthill, M.J. On the squirming motion of nearly spherical deformable bodies through liquids at very small Reynolds numbers. Commun. Pure Appl. Math. 1952, 5, 109–118. [Google Scholar] [CrossRef]
- Blake, J.R. A spherical envelope approach to ciliary propulsion. J. Fluid Mech. 1971, 46, 199–208. [Google Scholar] [CrossRef]
- Blake, J.R. Self-propulsion due to oscillations on the surface of a cylinder at low Reynolds number. Bull. Aust. Math. Soc. 1971, 5, 255–264. [Google Scholar] [CrossRef]
- Chisholm, N.G.; Legendre, D.; Lauga, E.; Khair, A.S. A squirmer across Reynolds numbers. J. Fluid Mech. 2016, 796, 233–256. [Google Scholar] [CrossRef]
- Glowinski, R.; Pan, T.W.; Hesla, T.I.; Joseph, D.D.; Periaux, J. A fictitious domain approach to the direct numerical simulation of incompressible viscous flow past moving rigid bodies: Application to particulate flow. J. Comput. Phys. 2001, 169, 363–426. [Google Scholar] [CrossRef]
- Dupuis, A.; Chatelain, P.; Koumoutsakos, P. An immersed boundary–lattice-Boltzmann method for the simulation of the flow past an impulsively started cylinder. J. Comput. Phys. 2008, 227, 4486–4498. [Google Scholar] [CrossRef]
- Yu, Z.S.; Wu, T.H.; Shao, X.M.; Lin, J.Z. Numerical studies of the effects of large neutrally buoyant particles on the flow instability andtransition to turbulence in pipe flow. Phys. Fluids 2013, 25, 043305. [Google Scholar] [CrossRef]
- Qian, Y.H.; D’Humières, D.; Lallemand, P. Lattice BGK models for Navier-Stokes equation. Europhys. Lett. 1992, 17, 479–484. [Google Scholar] [CrossRef]
- Peskin, C.S.; Peskin, C.S. Numerical analysis of blood flow in the heart. J. Comput. Phys. 1977, 25, 220–252. [Google Scholar] [CrossRef]
- Feng, J.; Hu, H.H.; Joseph, D.D. Direct simulation of initial value problems for the motion of solid bodies in a Newtonian fluid Part 1. Sedimentation. J. Fluid Mech. 1994, 261, 95–134. [Google Scholar] [CrossRef]
- Feng, Z.G.; Michaelides, E.E. Interparticle forces and lift on a particle attached to a solid boundary in suspension flow. Phys. Fluids 2002, 14, 49–60. [Google Scholar] [CrossRef]
- Feng, Z.G.; Michaelides, E.E. The immersed boundary-lattice Boltzmann method for solving fluid–particles interaction problems. J. Comput. Phys. 2004, 195, 602–628. [Google Scholar] [CrossRef]



: Ref. [28];
: Ref. [29];
: Ref. [30]; —: present result.








Publisher’s Note: MDPI stays neutral with regard to jurisdictional claims in published maps and institutional affiliations. |
© 2022 by the authors. Licensee MDPI, Basel, Switzerland. This article is an open access article distributed under the terms and conditions of the Creative Commons Attribution (CC BY) license (https://creativecommons.org/licenses/by/4.0/).
Share and Cite
Qi, T.; Lin, J.; Ouyang, Z. Hydrodynamic Behavior of Self-Propelled Particles in a Simple Shear Flow. Entropy 2022, 24, 854. https://doi.org/10.3390/e24070854
Qi T, Lin J, Ouyang Z. Hydrodynamic Behavior of Self-Propelled Particles in a Simple Shear Flow. Entropy. 2022; 24(7):854. https://doi.org/10.3390/e24070854
Chicago/Turabian StyleQi, Tingting, Jianzhong Lin, and Zhenyu Ouyang. 2022. "Hydrodynamic Behavior of Self-Propelled Particles in a Simple Shear Flow" Entropy 24, no. 7: 854. https://doi.org/10.3390/e24070854
APA StyleQi, T., Lin, J., & Ouyang, Z. (2022). Hydrodynamic Behavior of Self-Propelled Particles in a Simple Shear Flow. Entropy, 24(7), 854. https://doi.org/10.3390/e24070854

