Verification of Information Thermodynamics in a Trapped Ion System
Abstract
1. Introduction
2. The Operators in Ion Trap
2.1. Interaction between Lasers and a Single Ion
- When , the Hamiltonian is reduced towhich describes the process of carrier transition where only the internal state of ion is controlled by the laser. Then, based on the Schrödinger’s equation, a general operation, defined as , is realized by the carrier Hamiltonian, aswhere with denoting the pulse duration, and the vibrational state of ion is decoupled from the two-level system. Utilizing this process, we may achieve a universal single qubit phase gate and the population transition between the internal levels of ion by a single pulse or several pulses with different shapes.
- When , the first red-sideband transition, Hamiltonian is obtained aswhich, as a Stokes process [117,118], has the same form as the coupling term in the Jaynes–Cummings (JC) model [119]. In this process, the quantum number is conserved that one phonon increase in the vibrational state of ion is accompanied by a photon transferred from the excited state of the ion to its ground state, reflecting the coupling, induced by the laser, between the internal electron spin state and external vibrational state of the ion. The coupling operation is then realized aswith the pulse length of the red-sideband laser . One application of this operator is to perform the sideband transfer of the population between the vibrational state and internal state, exchanging information between the two degrees of freedom.
- When , it reduces to the first blue-sideband transition Hamiltonian towhich shows an anti-Stokes process [117], and the quantum number is not conserved in this process that the vibrational state and the internal state simultaneously obtain or lose a quantum number. Then, the quantum operation under a duration can be realized asThis operator can be used to construct the blue-sideband Rabi oscillations, and applied to measure the phonon number of the vibrational state.
2.2. Decoherence and Dissipation Process
3. Thermodynamic Process of a Trapped Ion
3.1. An Effective Temperature in Two-Level System
3.2. Dissipative Channel Designed by Different Energy Structures
3.3. Quantum Heat Bath Simulated by the Vibrational Mode
3.4. A Ca Atom Confined in the Ion Trap
4. Landauer Principle under Quantum Condition
4.1. Maxwell Demon and Information Thermodynamics
4.2. Landauer Principle
4.3. Quantum Landauer Principle in Trapped Ion System
4.3.1. An Improved Landauer Principle in the Quantum System
- In the erasure process of quantum information, the system S and reservoir R should be described by the Hilbert spaces;
- The reservoir R is initially prepared in a thermal state described by with the partition function , where denotes the Hamiltonian operator of the reservoir and is the corresponding inverse temperature, defined by ;
- The system and the reservoir are initially uncorrelated, i.e., in the product state ;
- The erasure process is executed by a unitary evolution , i.e., .
4.3.2. Single-Atom Demonstration of the Improved Landauer Principle in the Trapped Ion System
5. Connection between Information-Theoretic Equality and Jarzynski Equality
5.1. The Information-Theoretic Equality based on Two-Point Measurements
5.2. Verification of Jarzynski-Related Information-Theoretic Equality
6. Information-Theoretical Bound of Irreversibility in Quantum Systems
6.1. Classical Information-Theoretical Bound of Irreversibility
6.2. Quantum Information-Theoretical Bound of Irreversibility
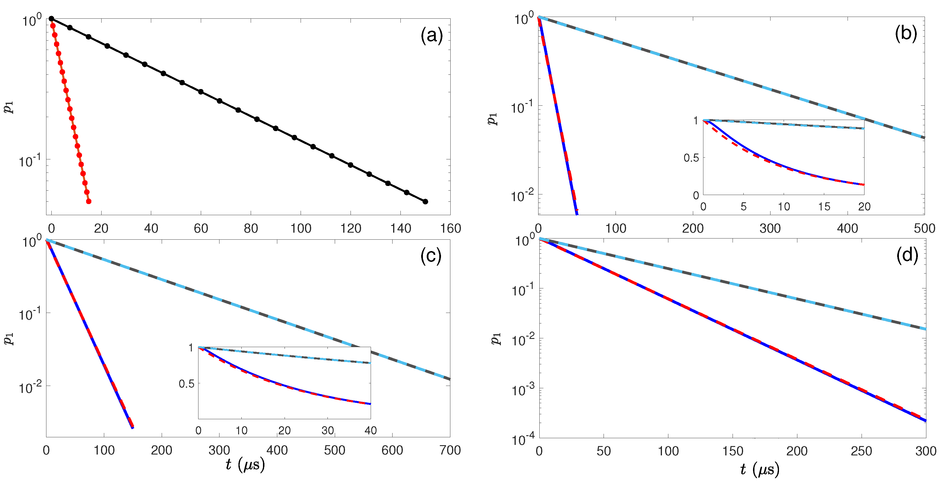
6.2.1. Violation of Classical Information-Theoretical Bound in a Two-Level System
6.2.2. Coherence as a Source to Invalidate the Bound of Irreversibility
6.2.3. A Bound for Irreversibility in a Qunatum Open System
7. Thermodynamic Speed Limit Restrained by the Entropy Production
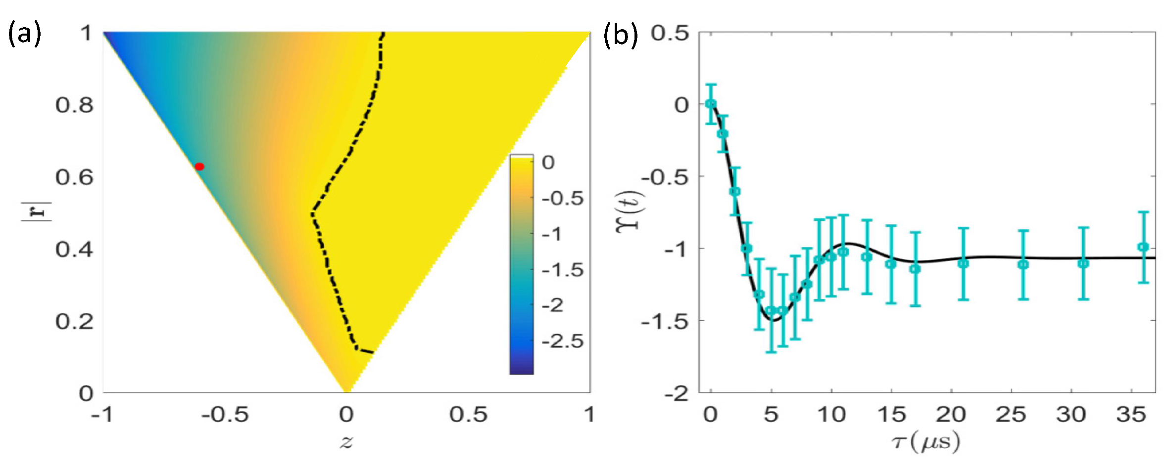
7.1. Dissipation-Time Uncertainty Relation
7.2. Verification of Speed Limit in the Trapped-Ion System
7.2.1. Stochastic Trajectories of the Dissipative Processes in a Trapped-Ion System
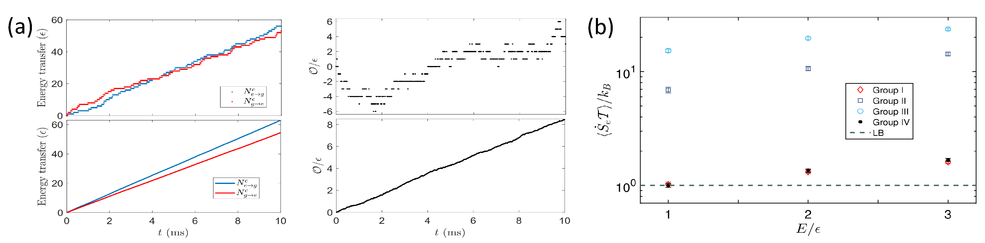
7.2.2. Experimental Verification of Speed Limit
8. Conclusions
Author Contributions
Funding
Institutional Review Board Statement
Informed Consent Statement
Data Availability Statement
Conflicts of Interest
References
- Maruyama, K.; Nor, F.; Vedral, V. Colloquium: The physics of Maxwell’s demon and information. Rev. Mod. Phys. 2009, 81, 1–23. [Google Scholar] [CrossRef]
- Parrondo, J.M.R.; Horowitz, J.M.; Sagawa, T. Thermodynamics of information. Nat. Phys. 2015, 11, 131–139. [Google Scholar] [CrossRef]
- Landauer, R. Information is Physical. Phys. Today 1991, 44, 23–31. [Google Scholar] [CrossRef]
- Szilárd, L. Über die Entropieverminderung in einem thermodynamischen System bei Eingriffen intelligenter Wesen. Z. Phys. 1929, 53, 840–856. [Google Scholar] [CrossRef]
- Szilárd, L. Maxwell’s Demon: Entropy, Information, Computation; Leff, H.S., Rex, A.E., Eds.; Princeton University Press: Princeton, NJ, USA, 1990. [Google Scholar]
- Landauer, R. Irreversibility and heat generation in the computing process. IBM J. Res. Dev. 1961, 5, 183–191. [Google Scholar] [CrossRef]
- Landauer, R. Dissipation and noiseimmunity in computation and communication. Nature 1988, 335, 779–784. [Google Scholar] [CrossRef]
- Jarzynski, C. Nonequilibrium Equality for Free Energy Differences. Phys. Rev. Lett. 1997, 78, 2690. [Google Scholar] [CrossRef]
- Jarzynski, C. Equilibrium free-energy differences from nonequilibrium measurements: A master-equation approach. Phys. Rev. E 1997, 56, 5018. [Google Scholar] [CrossRef]
- Landi, G.T.; Paternostro, M. Irreversible entropy production: From classical to quantum. Rev. Mod. Phys. 2021, 93, 035008. [Google Scholar] [CrossRef]
- Campisi, M.; Hänggi, P.; Talkner, P. Colloquium: Quantum fluctuation relations: Foundations and applications. Rev. Mod. Phys. 2011, 83, 771. [Google Scholar] [CrossRef]
- Elouard, C.; Herrera-Martí , D.; Huard, B.; Auffèves, A. Extracting Work from Quantum Measurement in Maxwell’s Demon Engines. Phys. Rev. Lett. 2017, 118, 260603. [Google Scholar] [CrossRef] [PubMed]
- Seah, S.; Nimmrichter, S.; Scarani, V. Maxwell’s Lesser Demon: A Quantum Engine Driven by Pointer Measurements. Phys. Rev. Lett. 2020, 124, 100603. [Google Scholar] [CrossRef] [PubMed]
- Beyer, K.; Luoma, K.; Strunz, W.T. Steering Heat Engines: A Truly Quantum Maxwell Demon. Phys. Rev. Lett. 2019, 123, 250606. [Google Scholar] [CrossRef] [PubMed]
- Sánchez, R.; Splettstoesser, J.; Whitney, R.S. Nonequilibrium System as a Demon. Phys. Rev. Lett. 2019, 123, 216801. [Google Scholar] [CrossRef] [PubMed]
- Quan, H.T.; Wang, Y.D.; Liu, Y.; Sun, C.P.; Nori, F. Maxwell’s Demon Assisted Thermodynamic Cycle in Superconducting Quantum Circuits. Phys. Rev. Lett. 2006, 97, 180402. [Google Scholar] [CrossRef]
- Kumar, A.; Wu, T.; Giraldo, F.; Weiss, D.S. Sorting ultracold atoms in a three-dimensional optical lattice in a realization of Maxwell’s demon. Nature 2018, 561, 83–87. [Google Scholar] [CrossRef]
- Wang, W.-B.; Chang, X.-Y.; Wang, F.; Hou, P.-Y.; Huang, Y.-Y.; Zhang, W.-G.; Ouyang, X.-L.; Huang, X.-Z.; Zhang, Z.-Y.; Wang, H.-Y.; et al. Realization of Quantum Maxwell’s Demon with Solid-State Spins. Chin. Phys. Lett. 2018, 35, 040301. [Google Scholar] [CrossRef]
- Kim, S.W.; Sagawa, T.; Liberato, S.D.; Ueda, M. Quantum Szilard Engine. Phys. Rev. Lett. 2011, 106, 070401. [Google Scholar] [CrossRef]
- Koski, J.; Maisi, V.; Sagawa, T.; Pekola, J.P. Experimental observation of the role of mutual information in the nonequilibrium dynamics of a Maxwell demon. Phys. Rev. Lett. 2014, 113, 030601. [Google Scholar] [CrossRef]
- Koski, J.V.; Maisi, V.F.; Pekola, J.P.; Averin, D.V. Experimental realization of a Szilard engine with a single electron. Proc. Natl. Acad. Sci. USA 2014, 111, 13786–13789. [Google Scholar] [CrossRef]
- Esposito, M.; Lindenberg, K.; Van den Broeck, C. Entropy Production as correlation between system and reservoir. New J. Phys. 2010, 12, 013013. [Google Scholar] [CrossRef]
- Reeb, D.; Wolf, M.M. An improved Landauer principle with finite-size corrections. New J. Phys. 2016, 14, 103011. [Google Scholar] [CrossRef]
- Barato, A.C.; Seifert, U. Thermodynamic Uncertainty Relation for Biomolecular Processes. Phys. Rev. Lett. 2015, 114, 158101. [Google Scholar] [CrossRef] [PubMed]
- Horowitz, J.M.; Gingrich, T.R. Proof of the finite-time thermodynamic uncertainty relation for steady-state currents. Phys. Rev. E 2017, 96, 020103. [Google Scholar] [CrossRef]
- Deffner, S.; Campbell, S. Quantum speed limits: From Heisenberg’s uncertainty principle to optimal quantum control. J. Phys. A 2017, 50, 453001. [Google Scholar] [CrossRef]
- Shanahan, B.; Chenu, A.; Margolus, N.; del Campo, A. Quantum Speed Limits across the Quantum-to-Classical Transition. Phys. Rev. Lett. 2018, 120, 070401. [Google Scholar] [CrossRef]
- Okuyama, M.; Ohzeki, M. Quantum Speed Limit is Not Quantum. Phys. Rev. Lett. 2018, 120, 070402. [Google Scholar] [CrossRef]
- Zurek, W.H. Thermodynamic cost of computation, algorithmic, complexity and the information metric. Nature 1989, 341, 119–124. [Google Scholar] [CrossRef]
- Plenio, M.B.; Vitelli, V. The physics of forgetting: Landauer’s erasure principle and information theory. Contemp. Phys. 2001, 42, 25–60. [Google Scholar] [CrossRef]
- Bérut, A.; Arakelyan, A.; Petrosyan, A.; Ciliberto, S.; Dillenschneider, R.; Lutz, E. Experimental verification of Landauer’s principle linking information and thermodynamics. Nature 2012, 483, 187–189. [Google Scholar] [CrossRef]
- Sagawa, T.; Ueda, M. Minimal energy cost for thermodynamic information processing: Measurement and information erasure. Phys. Rev. Lett. 2009, 102, 250602. [Google Scholar] [CrossRef] [PubMed]
- Bennett, C. The thermodynamics of computation—A review. Int. J. Theor. Phys. 1982, 21, 905–940. [Google Scholar] [CrossRef]
- Frank, M.P. The physical limits of computing. Comput. Sci. Eng. 2002, 4, 16. [Google Scholar] [CrossRef]
- Piechocinska, B. Information erasure. Phys. Rev. A 2000, 61, 062314. [Google Scholar] [CrossRef]
- Meindl, J.D.; Davis, J.A. The fundamental limit on binary switching energy for terascale integration. IEEE J. Solid-State Circuits 2000, 35, 1515–1516. [Google Scholar] [CrossRef]
- Proesmans, K.; Ehrich, J.; Bechhoefer, J. Finite-Time Landauer Principle. Phys. Rev. Lett. 2020, 125, 100602. [Google Scholar] [CrossRef]
- Zhen, Y.; Egloff, D.; Modi, K.; Dahlsten, O. Universal Bound on Energy Cost of Bit Reset in Finite Time. Phys. Rev. Lett. 2021, 127, 190602. [Google Scholar] [CrossRef]
- Vu, T.V.; Saito, K. Finite-Time Quantum Landauer Principle and Quantum Coherence. Phys. Rev. Lett. 2021, 128, 010602. [Google Scholar]
- Jun, Y.; Gavrilov, M.; Bechhoefer, J. High-Precision Test of Landauer’s Principle in a Feedback Trap. Phys. Rev. Lett. 2014, 113, 190601. [Google Scholar] [CrossRef]
- Hong, J.; Lambson, B.; Dhuey, S.; Bokor, J. Experimental test of Landauer’s principle in single-bit operations on nanomagnetic memory bits. Sci. Adv. 2016, 2, e1501492. [Google Scholar] [CrossRef]
- Klaers, J. Landauer’s Erasure Principle in a Squeezed Thermal Memory. Phys. Rev. Lett. 2019, 122, 040602. [Google Scholar] [CrossRef] [PubMed]
- Miller, H.J.D.; Guarnieri, G.; Mitchison, M.T.; Goold, J. Quantum Fluctuations Hinder Finite-Time Information Erasure near the Landauer Limit. Phys. Rev. Lett. 2020, 125, 160602. [Google Scholar] [CrossRef] [PubMed]
- Timpanaro, A.M.; Santos, J.P.; Landi, G.T. Landauer’s Principle at Zero Temperature. Phys. Rev. Lett. 2020, 124, 240601. [Google Scholar] [CrossRef] [PubMed]
- Yan, L.-L.; Xiong, T.P.; Rehan, K.; Zhou, F.; Liang, D.F.; Chen, L.; Zhang, J.Q.; Yang, W.L.; Ma, Z.H.; Feng, M. Single-Atom Demonstration of the Quantum Landauer Principle. Phys. Rev. Lett. 2018, 120, 210601. [Google Scholar] [CrossRef]
- Bera, M.N.; Riera, A.; Lewenstein, M.; Khanian, Z.B.; Winter, A. Thermodynamics as a Consequence of Information Conservation. Quantum 2019, 3, 121. [Google Scholar] [CrossRef]
- Crooks, G.E. Entropy production fluctuation theorem and the nonequilibrium work relation for free energy differences. Phys. Rev. E 1999, 60, 2721. [Google Scholar] [CrossRef]
- Norton, J.D. All Shook Up: Fluctuations, Maxwell’s Demon and the Thermodynamics of Computation. Entropy 2013, 15, 4432–4483. [Google Scholar] [CrossRef]
- Seifert, U. Stochastic thermodynamics, fluctuation theorems, and molecular machines. Rep. Prog. Phys. 2012, 75, 126001. [Google Scholar] [CrossRef]
- Manzano, G.; Horowitz, J.M.; Parrondo, J.M.R. Quantum Fluctuation Theorems for Arbitrary Environments: Adiabatic and Nonadiabatic Entropy Production. Phys. Rev. X 2018, 8, 031037. [Google Scholar] [CrossRef]
- Hasegawa, Y.; Vui, T.V. Fluctuation Theorem Uncertainty Relation. Phys. Rev. Lett. 2019, 123, 110602. [Google Scholar] [CrossRef]
- Micadei, K.; Landi, G.T.; Lutz, E. Quantum Fluctuation Theorems beyond Two-Point Measurements. Phys. Rev. Lett. 2020, 124, 090602. [Google Scholar] [CrossRef] [PubMed]
- Gupta, D.; Plata, C.A.; Pal, A. Work Fluctuations and Jarzynski Equality in Stochastic Resetting. Phys. Rev. Lett. 2020, 124, 110608. [Google Scholar] [CrossRef] [PubMed]
- Mukamel, S. Quantum Extension of the Jarzynski Relation: Analogy with Stochastic Dephasing. Phys. Rev. Lett. 2003, 90, 170604. [Google Scholar] [CrossRef] [PubMed]
- Deffner, S.; Lutz, E. Nonequilibrium Entropy Production for Open Quantum Systems. Phys. Rev. Lett. 2011, 107, 140404. [Google Scholar] [CrossRef]
- Zeng, Q.; Wang, J. New fluctuation theorems on Maxwell’s demon. Sci. Adv. 2021, 7, eabf1807. [Google Scholar] [CrossRef]
- Mazzola, L.; De Chiara, G.; Paternostro, M. Measuring the Characteristic Function of the Work Distribution. Phys. Rev. Lett. 2013, 110, 230602. [Google Scholar] [CrossRef]
- Dorner, R.; Clark, S.R.; Heaney, L.; Fazio, R.; Goold, J.; Vedral, V. Extracting Quantum Work Statistics and Fluctuation Theorems by Single-Qubit Interferometry. Phys. Rev. Lett. 2013, 110, 230601. [Google Scholar] [CrossRef]
- Wang, G.M.; Sevick, E.M.; Mittag, E.; Searles, D.J.; Evans, D.J. Experimental Demonstration of Violations of the Second Law of Thermodynamics for Small Systems and Short Time Scales. Phys. Rev. Lett. 2002, 89, 050601. [Google Scholar] [CrossRef]
- Blickle, V.; Speck, T.; Helden, L.; Seifert, U.; Bechinger, C. Thermodynamics of a Colloidal Particle in a Time-Dependent Nonharmonic Potential. Phys. Rev. Lett. 2006, 96, 070603. [Google Scholar] [CrossRef]
- Toyabe, S.; Sagawa, T.; Ueda, M.; Muneyuki, E.; Sano, M. Experimental demonstration of information-to-energy conversion and validation of the generalized Jarzynski equality. Nat. Phys. 2010, 6, 988–992. [Google Scholar] [CrossRef]
- Sagawa, T.; Ueda, M. Generalized Jarzynski Equality under Nonequilibrium Feedback Control. Phys. Rev. Lett. 2010, 104, 090602. [Google Scholar] [CrossRef] [PubMed]
- Collin1, D.; Ritort, F.; Jarzynski, C.; Smith, S.B.; Tinoco, I., Jr.; Bustamante, C. Verification of the Crooks fluctuation theorem and recovery of RNA folding free energies. Nature 2005, 437, 231–234. [Google Scholar] [CrossRef] [PubMed]
- Hummer, G.; Szabo, A. Free energy reconstruction from nonequilibrium single-molecule pulling experiments. Proc. Natl. Acad. Sci. USA 2001, 98, 3658–3661. [Google Scholar] [CrossRef] [PubMed]
- Liphard, J.; Dumont, S.; Smith, S.B.; Tinoco, I.J.; Bustamante, C. Equilibrium Information from Nonequilibrium Measurements in an Experimental Test of Jarzynski’s Equality. Science 2002, 296, 1832–1835. [Google Scholar] [CrossRef]
- Huber, G.; Schmidt-Kaler, F.; Deffner, S.; Lutz, E. Employing Trapped Cold Ions to Verify the Quantum Jarzynski Equality. Phys. Rev. Lett. 2008, 101, 070403. [Google Scholar] [CrossRef]
- An, S.; Zhang, J.; Um, M.; Lv, D.; Lu, Y.; Zhang, J.; Yin, Z.-Q.; Quan, H.T.; Kim, K. Experimental test of the quantum Jarzynski equality with a trapped-ion system. Nat. Phys. 2015, 11, 193–199. [Google Scholar] [CrossRef]
- Vedral, V. An information–theoretic equality implying the Jarzynski relation. J. Phys. A 2012, 45, 272001. [Google Scholar] [CrossRef]
- Xiong, T.P.; Yan, L.-L.; Zhou, F.; Rehan, K.; Liang, D.F.; Chen, L.; Yang, W.L.; Ma, Z.H.; Feng, M.; Vedral, V. Experimental Verification of a Jarzynski-Related Information-Theoretic Equality by a Single Trapped Ion. Phys. Rev. Lett. 2018, 120, 010601. [Google Scholar] [CrossRef]
- Shiraishi, N.; Saito, K. Information-Theoretical Bound of the Irreversibility in Thermal Relaxation Processes. Phys. Rev. Lett. 2019, 123, 110603. [Google Scholar] [CrossRef]
- Cover, T.M.; Thomas, J.A. Elements of Information Theory; Wiley: New York, NY, USA, 1991. [Google Scholar]
- Vedral, V. The role of relative entropy in quantum information theory. Rev. Mod. Phys. 2002, 74, 197. [Google Scholar] [CrossRef]
- Mancino, L.; Cavina, V.; De Pasquale, A.; Sbroscia, M.; Booth, R.I.; Roccia, E.; Gianani, I.; Giovannetti, V.; Barbieri, M.G. Bounds on Irreversibility in Open Quantum Systems. Phys. Rev. Lett. 2018, 121, 160602. [Google Scholar] [CrossRef] [PubMed]
- Van Vu, T.; Hasegawa, Y. Lower Bound on Irreversibility in Thermal Relaxation of Open Quantum Systems. Phys. Rev. Lett. 2021, 127, 190601. [Google Scholar] [CrossRef] [PubMed]
- Van Vu, T.; Hasegawa, Y. Geometrical Bounds of the Irreversibility in Markovian Systems. Phys. Rev. Lett. 2021, 126, 010601. [Google Scholar] [CrossRef] [PubMed]
- Scully, M.O.; Zubairy, M.S.; Agarwal, G.S.; Walther, H. Extracting Work from a Single Heat Bath via Vanishing Quantum Coherence. Science 2003, 299, 862–864. [Google Scholar] [CrossRef] [PubMed]
- del Rio, L.; Åberg, J.; Renner, R.; Dahlsten, O.; Vedral, V. The thermodynamic meaning of negative entropy. Nature 2011, 474, 61–63. [Google Scholar]
- Micadei, K.; Peterson, J.P.S.; Souza, A.M.; Sarthour, R.S.; Oliveira, I.S.; Landi, G.T.; Batalhão, T.B.; Serra, R.M.; Lutz, E. Reversing the direction of heat flow using quantum correlations. Nat. Commun. 2019, 10, 2456. [Google Scholar] [CrossRef]
- Zhang, J.W.; Rehan, K.; Li, M.; Li, J.C.; Chen, L.; Su, S.-L.; Yan, L.-L.; Zhou, F.; Feng, M. Single-atom verification of the information-theoretical bound of irreversibility at the quantum level. Phys. Rev. Res. 2020, 2, 033082. [Google Scholar] [CrossRef]
- Horowitz, J.M.; Gingrich, T.R. Thermodynamic uncertainty relations constrain non-equilibrium fluctuations. Nat. Phys. 2020, 16, 15–20. [Google Scholar] [CrossRef]
- Hasegawa, Y. Quantum Thermodynamic Uncertainty Relation for Continuous Measurement. Phys. Rev. Lett. 2020, 125, 050601. [Google Scholar] [CrossRef]
- Liu, K.; Gong, Z.; Ueda, M. Thermodynamic Uncertainty Relation for Arbitrary Initial States. Phys. Rev. Lett. 2020, 125, 140602. [Google Scholar] [CrossRef]
- Koyuk, T.; Seife, U. Thermodynamic Uncertainty Relation for Time-Dependent Driving. Phys. Rev. Lett. 2020, 125, 260604. [Google Scholar] [CrossRef] [PubMed]
- Hasegawa, Y. Thermodynamic Uncertainty Relation for General Open Quantum Systems. Phys. Rev. Lett. 2021, 126, 010602. [Google Scholar] [CrossRef] [PubMed]
- Miller, H.J.D.; Mohammady, M.H.; Perarnau-Llobet, M.; Guarnieri, G. Thermodynamic Uncertainty Relation in Slowly Driven Quantum Heat Engines. Phys. Rev. Lett. 2021, 126, 210603. [Google Scholar] [CrossRef] [PubMed]
- Gingrich, T.R.; Horowitz, J.M.; Perunov, N.; England, J.L. Dissipation Bounds All Steady-State Current Fluctuations. Phys. Rev. Lett. 2016, 116, 120601. [Google Scholar] [CrossRef] [PubMed]
- Gingrich, T.R.; Horowitz, J.M. Fundamental Bounds on First Passage Time Fluctuations for Currents. Phys. Rev. Lett. 2017, 119, 170601. [Google Scholar] [CrossRef] [PubMed]
- Neri, I.; Roldán, É.; Jülicher, F. Statistics of Infima and Stopping Times of Entropy Production and Applications to Active Molecular Processes. Phys. Rev. X 2017, 7, 011019. [Google Scholar] [CrossRef]
- Shiraishi, N.; Funo, K.; Saito, K. Speed Limit for Classical Stochastic Processes. Phys. Rev. Lett. 2018, 121, 070601. [Google Scholar] [CrossRef]
- Neri, I. Second Law of Thermodynamics at Stopping Times. Phys. Rev. Lett. 2020, 124, 040601. [Google Scholar] [CrossRef]
- Falasco, G.; Esposito, M. Dissipation-Time Uncertainty Relation. Phys. Rev. Lett. 2020, 125, 120604. [Google Scholar] [CrossRef]
- Brandner, K.; Hanazato, T.; Saito, K. Thermodynamic Bounds on Precision in Ballistic Multi-Terminal Transport. Phys. Rev. Lett. 2018, 120, 090601. [Google Scholar] [CrossRef]
- Erker, P.; Mitchison, M.T.; Silva, R.; Woods, M.P.; Brunner, N.; Huber, M. Autonomous Quantum Clocks: Does Thermodynamics Limit our Ability to Measure Time? Phys. Rev. X 2017, 7, 031022. [Google Scholar] [CrossRef]
- Jülicher, F.; Ajdari, A.; Prost, J. Modeling molecular motors. Rev. Mod. Phys. 1997, 69, 1269. [Google Scholar] [CrossRef]
- Yan, L.-L.; Zhang, J.-W.; Yun, M.-R.; Li, J.-C.; Ding, G.-Y.; Wei, J.-F.; Bu, J.-T.; Wang, B.; Chen, L.; Su, S.-L.; et al. Experimental Verification of Dissipation-Time Uncertainty Relation. Phys. Rev. Lett. 2022, 128, 050603. [Google Scholar] [CrossRef] [PubMed]
- Ball, P. Speed Limit on Change. Physics 2022, 15, 17. [Google Scholar] [CrossRef]
- Schindler, P.; Nigg, D.; Monz, T.; Barreiro, J.T.; Martinez, E.; Wang, S.X.; Quint, S.; Brandl, M.F.; Nebendahl, V.; Roos, C.F.; et al. A quantum information processor with trapped ions. New J. Phys. 2013, 15, 123012. [Google Scholar] [CrossRef]
- Monroe, C.; Kim, J. Scaling the ion trap quantum processor. Science 2013, 339, 1164–1169. [Google Scholar] [CrossRef]
- Nielsen, M.A.; Chuang, I.L. Quantum Computation and Quantum Information; Cambridge University Press: Cambridge, UK, 2000. [Google Scholar]
- Monroe, C.; Meekhof, D.M.; King, B.E.; Itano, W.M.; Wineland, D.J. Demonstration of a fundamental quantum logic gate. Phys. Rev. Lett. 1995, 75, 4714. [Google Scholar] [CrossRef]
- Zhang, J.W.; Yan, L.-L.; Li, J.C.; Ding, G.Y.; Bu, J.T.; Chen, L.; Su, S.-L.; Zhou, F.; Feng, M. Single-Atom Verification of the Noise-Resilient and Fast Characteristics of Universal Nonadiabatic Noncyclic Geometric Quantum Gates. Phys. Rev. Lett. 2021, 127, 030502. [Google Scholar] [CrossRef]
- Gulde, S.; Riebe, M.; Lancaster, G.P.T.; Becher, C.; Eschner, J.; Haffn-er, H.; Schmidt-Kaler, F.; Chuang, I.L.; Blatt, R. Implementation of the deutsch-jozsa algorithm on an ion-trap quantum computer. Nature 2003, 421, 48–50. [Google Scholar] [CrossRef]
- Cirac, J.I.; Zoller, P. Quantum computations with cold trapped ions. Phy. Rev. Lett. 1995, 74, 4091. [Google Scholar] [CrossRef]
- Søensen, A.; Mømer, K. Quantum computation with ions in thermal motion. Phy. Rev. Lett. 1998, 82, 1971. [Google Scholar] [CrossRef]
- Cirac, J.I.; Zoller, P.A. Scalable quantum computer with ions in an array of microtraps. Nature 2000, 404, 579–581. [Google Scholar] [CrossRef] [PubMed]
- Duan, L.M.; Cirac, J.I.; Zoller, P. Geometric manipulation of trapped ions for quantum computation. Science 2001, 292, 1695–1697. [Google Scholar] [CrossRef] [PubMed]
- Kielpinski, D.; Monroe, C.; Wineland, D.J. Architecture for a large-scale ion-trap quantum computer. Nature (London) 2002, 417, 709–711. [Google Scholar] [CrossRef] [PubMed]
- Leibfried, D.; Blatt, R.; Monroe, C.; Wineland, D.J. Quantum dynamics of single trapped ions. Rev. Mod. Phys. 2003, 75, 281. [Google Scholar] [CrossRef]
- Brownnutt, M.; Kumph, M.; Rabl, P.; Blatt, R. Ion-trap measurements of electric-field noise near surfaces. Rev. Mod. Phys. 2015, 87, 1419. [Google Scholar] [CrossRef]
- Monz, T.; Schindler, P.; Barreiro, J.T.; Chwalla, M.; Nigg, D.; Coish, W.A.; Harlander, M.; Hänsel, W.; Hennrich, M.; Blatt, R. 14-Qubit Entanglement: Creation and Coherence. Phys. Rev. Lett. 2011, 106, 130506. [Google Scholar] [CrossRef]
- Zhou, F.; Yan, L.; Gong, S.; Ma, Z.; He, J.; Xiong, T.; Chen, L.; Yang, W.; Feng, M.; Vedral, V. Verifying Heisenberg’s error-disturbance relation using a single trapped ion. Sci. Adv. 2016, 2, e1600578. [Google Scholar] [CrossRef]
- Meekhof, D.M.; Monroe, C.; King, B.E.; Itano, W.M.; Wineland, D.J. Generation of Nonclassical Motional States of a Trapped Atom. Phys. Rev. Lett. 1996, 76, 17966. [Google Scholar] [CrossRef]
- Poyatos, J.F.; Cirac, J.I.; Zoller, P. Quantum Reservoir Engineering with Laser Cooled Trapped Ions. Phys. Rev. Lett. 1996, 77, 4728. [Google Scholar] [CrossRef]
- Abah, O.; Rossnagel, J.; Jacob, G.; Deffner, S.; Schmidt-Kaler, F.; Singer, K.; Lutz, E. Single-ion Heat Engine at Maximum Power. Phys. Rev. Lett. 2012, 109, 203006. [Google Scholar] [CrossRef] [PubMed]
- Roßnagel, J.; Dawkins, S.T.; Tolazzi, K.N.; Abah, O.; Lutz, E.; Schmidt-Kaler, F.; Singer, K. A single-atom heat engine. Science 2016, 352, 325–329. [Google Scholar] [CrossRef] [PubMed]
- von Lindenfels, D.; Gräb, O.; Schmiegelow, C.T.; Kaushal, V.; Schulz, J.; Mitchison, M.T.; Goold, J.; SchmidtKaler, F.; Poschinger, U.G. Spin Heat Engine Coupled to a Harmonic-Oscillator Flywheel. Phys. Rev. Lett. 2019, 123, 080602. [Google Scholar] [CrossRef] [PubMed]
- Klyshko, D.N. Correlation between the Stokes and antiStokes components in inelastic scattering of light. Sov. J. Quantum Electron. 1977, 7, 755. [Google Scholar] [CrossRef]
- Bin, Q.; Lü, X.; Laussy, F.P.; Nori, F.; Wu, Y. N-Phonon Bundle Emission via the Stokes Process. Phys. Rev. Lett. 2020, 124, 053601. [Google Scholar] [CrossRef]
- Jaynes, E.T.; Cummings, F.W. Comparison of quantum and semiclassical radiation theories with application to the beam maser. Proc. IEEE 1963, 51, 89–109. [Google Scholar] [CrossRef]
- Intravaia, F.; Maniscalco, S.; Piilo, J.; Messina, A. Quantum theory of heating of a single trapped ion. Phys. Lett. A 2003, 308, 6–10. [Google Scholar] [CrossRef][Green Version]
- Peshin, A. What Is Maxwell’s Demon? Science ABC. 2022. Available online: https://www.scienceabc.com/nature/universe/what-is-maxwells-demon.html (accessed on 4 June 2022).
- Plenio, M.B.; Knight, P.L. The quantum-jump approach to dissipative dynamics in quantum optics. Rev. Mod. Phys. 1998, 70, 101. [Google Scholar] [CrossRef]
- Xu, Y.; Hua, Z.; Chen, T.; Pan, X.; Li, X.; Han, J.; Cai, W.; Ma, Y.; Wang, H.; Song, Y.P.; et al. Experimental Implementation of Universal Nonadiabatic Geometric Quantum Gates in a Superconducting Circuit. Phys. Rev. Lett. 2020, 123, 230503. [Google Scholar] [CrossRef]
- Song, C.; Zheng, S.-B.; Zhang, P.; Xu, K.; Zhang, L.; Guo, Q.; Liu, W.; Xu, D.; Deng, H.; Huang, K.; et al. Continuous-variable geometric phase and its manipulation for quantum computation in a superconducting circuit. Nat. Commun. 2017, 8, 1061. [Google Scholar] [CrossRef]
- Xia, T.; Lichtman, M.; Maller, K.; Carr, A.W.; Piotrowicz, M.J.; Isenhower, L.; Saffman, M. Randomized Benchmarking of Single-Qubit Gates in a 2D Array of NeutralAtom Qubits. Phys. Rev. Lett. 2015, 114, 100503. [Google Scholar] [CrossRef] [PubMed]
- Wang, Y.; Kumar, A.; Wu, T.-Y.; Weiss, D.S. Single-qubit gates based on targeted phase shifts in a 3D neutral atom array. Science 2016, 352, 1562. [Google Scholar] [CrossRef] [PubMed]



















Publisher’s Note: MDPI stays neutral with regard to jurisdictional claims in published maps and institutional affiliations. |
© 2022 by the authors. Licensee MDPI, Basel, Switzerland. This article is an open access article distributed under the terms and conditions of the Creative Commons Attribution (CC BY) license (https://creativecommons.org/licenses/by/4.0/).
Share and Cite
Yan, L.-L.; Wang, L.-Y.; Su, S.-L.; Zhou, F.; Feng, M. Verification of Information Thermodynamics in a Trapped Ion System. Entropy 2022, 24, 813. https://doi.org/10.3390/e24060813
Yan L-L, Wang L-Y, Su S-L, Zhou F, Feng M. Verification of Information Thermodynamics in a Trapped Ion System. Entropy. 2022; 24(6):813. https://doi.org/10.3390/e24060813
Chicago/Turabian StyleYan, Lei-Lei, Lv-Yun Wang, Shi-Lei Su, Fei Zhou, and Mang Feng. 2022. "Verification of Information Thermodynamics in a Trapped Ion System" Entropy 24, no. 6: 813. https://doi.org/10.3390/e24060813
APA StyleYan, L.-L., Wang, L.-Y., Su, S.-L., Zhou, F., & Feng, M. (2022). Verification of Information Thermodynamics in a Trapped Ion System. Entropy, 24(6), 813. https://doi.org/10.3390/e24060813

