Next Article in Journal
Impact of Surface Roughness on Flow Physics and Entropy Generation in Jet Impingement Applications
Previous Article in Journal
Quantum Incoherence Based Simultaneously on k Bases
 
 
Due to scheduled maintenance work on our servers, there may be short service disruptions on this website between 11:00 and 12:00 CEST on March 28th.
Font Type:
Arial Georgia Verdana
Font Size:
Aa Aa Aa
Line Spacing:
Column Width:
Background:
Article

Thermodynamic Optimization of the Ethylene Oligomerization Chemical Process

College of Power Engineering, Naval University of Engineering, Wuhan 430033, China
*
Author to whom correspondence should be addressed.
Entropy 2022, 24(5), 660; https://doi.org/10.3390/e24050660
Submission received: 21 March 2022 / Revised: 28 April 2022 / Accepted: 4 May 2022 / Published: 7 May 2022

Abstract

The use of olefin oligomerization in the synthesis of liquid fuel has broad application prospects in military and civil fields. Here, based on finite time thermodynamics (FTT), an ethylene oligomerization chemical process (EOCP) model with a constant temperature heat source outside the heat exchanger and reactor pipes was established. The process was first optimized with the minimum specific entropy generation rate (SEGR) as the optimization objective, then multi-objective optimization was further performed by utilizing the NSGA - II algorithm with the minimization of the entropy generation rate (EGR) and the maximization of the C10H20 yield as the optimization objectives. The results showed that the point of the minimum EGR was the same as that of SEGR in the Pareto optimal frontier. The solution obtained using the Shannon entropy decision method had the lowest deviation index, the C10H20 yield was reduced by 49.46% compared with the point of reference and the EGR and SEGR were reduced by 59.01% and 18.88%, respectively.

1. Introduction

Ethylene oligomerization is a reaction that can transform ethylene into nitrogen-free and sulfur-free crude oil, which can be used as clean liquid fuel. It represents a new method for obtaining energy and has good application prospects. However, the popularization and application of this technology are limited by the bottlenecks of high energy consumption and low production rate, which still need further analysis and optimization. The traditional ethylene oligomerization reaction is mainly based on classical thermodynamics and chemical reaction kinetics. Wu et al. [1] calculated the reaction heat, Gibbs free energy and reaction equilibrium constant of an ethylene oligomerization system with a temperature range between 298 K and 700 K , and the influences of temperature and pressure on the equilibrium constant were also studied. Yuan et al. [2] optimized the process conditions of ethylene oligomerization and established the reaction kinetic model. Toch et al. [3,4,5] analyzed the reaction kinetics of ethylene oligomerization and established a one-dimensional heterogeneous industrial reactor model. Chen et al. [6] modeled an olefin oligomerization reactor, which they optimized for the minimum EGR. However, the development of this technology cannot be satisfied by studies only on catalysts and reactors.
In engineering, a chemical process not only includes chemical reactors, but also other components, such as mixers, separators, etc. Thus, the optimization of the whole chemical process is much more reasonable. For a single component, Andresen et al. [7,8] analyzed the minimum EGR of the heat exchange system and studied the mechanical separation process through FTT. Kingston et al. [9] analyzed the EGR of the separation process of air in a low-pressure distillation column. Badescu [10] took ammonia decomposition rate and heat flux as the objective functions and optimized ammonia decomposition reactors by changing the reactor wall temperature, diameter and catalyst particle distribution. Li et al. [11] and Kong et al. [12] established a steam methane reforming reactor and SO3 decomposition membrane reactor through FTT and optimized them with the minimum EGR. In terms of using the FTT theory [13,14,15,16] for process optimization, Røsjorde et al. [17] studied the process model for the dehydrogenation of propane and optimized the external heat source temperature of the reactor with the minimum EGR as the optimization objective. Kingston and Razzitte [18,19] established a dimethyl ether synthesis process model—which included a constant temperature reactor, a compressor with different adiabatic efficiencies and a heat exchanger with a constant temperature difference—solved the minimum EGR and the corresponding optimal operating parameters [18], and further studied the coupling of the two reactors [19]. On the basis of Ref. [6], an EOCP model including a mixer, compressor, heat exchanger and reactor will be established using FTT in this paper; the process will be optimized with the minimum SEGR as the first objective of optimization, and a multi-objective optimization will be further performed utilizing the NSGA - II algorithm [20,21,22,23] with minimum EGR and maximum C10H20 yield as the optimization objectives.

2. Physical Model of EOCP

In industry, raw gas is often stored in a compressed state in gas storage tanks, and the compression of the gas from low pressure to high pressure consumes energy. In order to fully consider the energy consumption of the EOCP, in this study, the feed gas was treated with an ambient temperature (298.15 K) and ambient pressure (0.101 MPa) as the initial state.
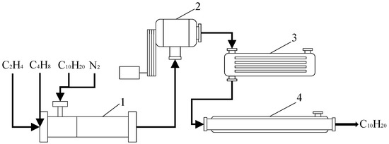
The EOCP model is divided into four parts, including the mixer, compressor, heat exchanger and reactor, as shown in Figure 1.
According to the reaction equation, the mixed gas used in the process was composed of C2H4, C4H8, C10H20 and N2. According to the Peng–Robinson equation [24], the compression factor of the mixed gas was 0.9948, with a deviation of 0.52% from the ideal gas. Therefore, it could be assumed that the mixed gas was an ideal gas. Firstly, the raw reaction materials C2H4 and C4H8 and the protective gas N2, which does not participate in the reaction, enter the mixer and are combined fully. Secondly, the mixed gas reaches the set temperature and pressure through the action of the heat exchanger and compressor, respectively. Finally, the mixed gas enters the reactor for the chemical reaction. In this process, the working fluid follows the ideal gas equation of state:
p V = n R T
where R is the molar gas constant in J mol 1 K 1 ; p is the pressure in MPa ; n is the amount of substance in mol ; and T is the temperature of the mixed gas in K . The reaction gas flows through each component and complies with the law of mass conservation:
m ˙ in = m ˙ out
Here, m ˙ in and m ˙ out are the inlet and outlet mass flow rates of each component, respectively, in kg/s.

2.1. Physical Model of Mixer

It is assumed that the gas mixing process is isothermal and isobaric; thus, the EGR of the mixer can be calculated according to the entropy change rate between the inlet and the outlet, which can be expressed as:
Δ S ˙ M = R k n ˙ k ln y k
where n ˙ k is the molar flow rate of substance k in mol s 1 and y k is the mole fraction of each component substance.

2.2. Physical Model of Compressor

It is assumed that the compression process is irreversible adiabatic compression without a chemical reaction. The irreversibility of the compression process can be reflected by the efficiency of the compressor as follows:
η C = h ( T out isen , p out ) h ( T in , p in ) h ( T out , p out ) h ( T in , p in )
where h is the molar enthalpy of the working fluid in J/mol; p in and p out are the inlet and outlet pressures of the compressor in MPa, respectively; T out isen is the outlet temperature of compressor for the ideal reversible process in K; and T out is the outlet temperature of compressor for the real irreversible process in K.
The entropy flow rates at the outlet and inlet of the compressor can be calculated according to the following formula:
S ˙ C = F T , in k y k ( S k ° + T 0 T C p , k T d T ) F T , in n k R ln p 1.01325 × 10 5 Pa
where C p , k is the constant pressure molar heat capacity of the substance k in J mol 1 K 1 . The EGR can be obtained according to the entropy change rate between the inlet and the outlet. The relevant values can be checked according to the chemical manual.
The EGR of the compressor is equal to the entropy change rate of the working fluid between the compressor inlet and outlet:
Δ S ˙ C = F T , in k y k T out isen T out C p , k T d T

2.3. Physical Model of Heat Exchanger

The heat exchange process is irreversible. The heat exchanger model is shown in Figure 2.
The following assumptions were made for the heat exchanger:
(1) The model of gas in the heat exchange tube is a one-dimensional steady-state model;
(2) There is no chemical reaction in the heat exchange process.
The heat exchange process follows the law of energy conservation, which can be expressed as:
d T HE d z = π d HE , i q HE k F k C p , k
where q HE = U HE ( 1 / T HE 1 / T HE , a ) , i.e., the heat transfer process is assumed to follow the linear phenomenological heat transfer law, and U HE is the heat transfer coefficient in W K m 2 ; T HE and T HE , a are the temperatures of the reactant and the heat source, respectively, in K ; d HE , i is the inner diameter of the heat exchanger in m ; and F k is the molar flow rate of substance k in mol s 1 .
Then, the local EGR can be expressed by the following formula [25,26]:
σ HE = π d HE , i q HE ( 1 T HE 1 T HE , a )
Finally, the EGR of the heat exchanger can be expressed as:
Δ S ˙ HE = 0 L HE σ HE d z
where L HE is the length of the heat exchanger in m .

2.4. Physical Model of Reactor

A reactor is a piece of equipment that is used to realize the reaction process. In this study, a multi-tube fixed bed reactor was used. The operating conditions of the reaction tubes in each tube bundle are the same; thus, a single tube is taken as an example in this paper. The model of the reactor is shown in Figure 3.
Assuming that the reactor model is in a one-dimensional piston flow steady-state mode [6], there is no radial temperature or concentration gradient, and there is also no axial fluid mixing. There are three parts to EGR in the reactor, which are due to heat transfer, viscous flow and the chemical reaction.
The main reactions Ⅰ and Ⅱ that take place in the reactor:
C 2 H 4 ( 1 / 2 ) C 4 H 8 Δ r H 1 < 0
C 2 H 4 ( 1 / 5 ) C 10 H 20 Δ r H 2 < 0
As the reaction proceeds, the molar flow rates F k for each reaction component satisfy the following mass conservation equations:
d F C 2 H 4 d z = A c ρ b ( η 1 r 1 + η 2 r 2 )
d F C 4 H 8 d z = 1 2 A c ρ b η 1 r 1
d F C 10 H 20 d z = 1 5 A c ρ b η 2 r 2
d F N 2 d z = 0
where A c is the cross-sectional area of the reactor in m 2 ; ρ b is the bulk density of the catalytic bed in kg m 3 ; η j is the effective factor of internal diffusion ( j = I , II ); and r j is the reaction rate ( j = I , II ) in mol kg 1 s 1 . The reaction rate can be calculated according to the Arrhenius formulas, which can be written as:
r 1 = k 1 ( p C 2 H 4 p C 4 H 8 1 / 2 / K 1 )
r 2 = k 2 ( p C 2 H 4 p C 10 H 20 1 / 5 / K 2 )
k = ( A / 1000 ) exp [ E / ( R T ) ]
where p i is the partial pressure; k i is the reaction rate constant; A j refers to the pre-exponential factor in mol s 1 kg 1 MPa 1 ; K i is the reaction equilibrium constant; and E j is the reaction activation energy in J mol 1 . The values of A j and E j are given in Table 1, and fit well with the experimental data [6].
The viscous flow process follows the momentum conservation equation [27], which can be expressed as:
d p d z = [ 150 μ m d p 2 ( 1 ε ) 2 ε 3 + 1.75 G d p 1 ε ε 3 ] v m
where ε is the porosity of the catalytic bed; μ m is the viscosity coefficient of the reactant in kg s 1 m 1 ; d p is the diameter of the catalyst particles in m ; G is the mass flow rate in kg s 1 m 2 ; and v m is the average flow rate of the reactants in m/s.
According to the theory of nonequilibrium thermodynamics, the local EGR of the reactor is [14,15]:
σ CR = π d CR , i U CR ( 1 T 1 T a ) 2 + A c v m [ 1 T ( d p d z ) ] + A c ρ b j [ η j r j ( Δ r G j T ) ]
The EGR of the reactor is the integral of the local EGR along the axial direction:
Δ S ˙ CR = 0 L CR σ CR d z
where L CR is the length of reactor in m.

3. Optimization

The EGR of the EOCP is the sum of the EGR of each component:
Δ S ˙ tot = Δ S ˙ M + Δ S ˙ C + Δ S ˙ HE + Δ S ˙ CR
It is desirable for the EGR to be as small as possible while the C10H20 yield is as large as possible; thus, the specific entropy generation rate can be established as follows [16]:
Δ S ˙ Spec = Δ S ˙ tot Δ F C 10 H 20
In this study, the total molar flow rate at the inlet of the mixer ( F T , in ) and the inlet pressure of the reactor ( p in ) were chosen as optimization variables. Firstly, the influence of a single variable change on the EGR was analyzed when the other variables and operation parameters were the same as those of the reference process. Secondly, the process performance was optimized with the help of a genetic algorithm, the optimal variable parameter values for the smallest specific entropy generation rate were calculated, and the calculation results of the multi-objective optimization were compared with the reference process. The value ranges of the optimization variables are given by:
2   MPa p in 4.5   MPa 0.1   mol / s F T , in 2   mol / s
The mathematical description of multi-objective optimization problem is:
{ Min ( Δ S ˙ tot ) Max ( Δ F C 10 H 20 )
The parameters of each component of the reference chemical process are shown in Table 2, Table 3 and Table 4; the parameters listed in the table are taken from Ref. [6].

4. Calculation Results and Discussion

4.1. Minimization of SEGR

The influence of p in on Δ S ˙ tot and Δ F C 10 H 20 of EOCP is shown in Figure 4. As can be seen from the figure, with an increase in p in , Δ F C 10 H 20 gradually increased, the rate of increase slowed and the maximum value of Δ F C 10 H 20 was obtained near 4.1 MPa before gradually decreasing; Δ S ˙ tot increased monotonically. The compressor outlet temperature increased with the increase in p in , and the inlet temperature of the reactor increased under the action of the heat exchanger. The inlet temperature increased with the increase in p in , the reaction rates of exothermic reactions Ⅰ and Ⅱ were decreased, and the yield of C10H20 was decreased. When p in was greater than 4.1 MPa, Δ F C 10 H 20 decreased, as the influence of temperature was greater than that of pressure. From 2 MPa to 4.1 MPa, although Δ F C 10 H 20 increased by 12.51%, Δ S tot also increased by 16.62%. The influence law of p in on the values of Δ S ˙ Spec and Δ F C 10 H 20 of EOCP is shown in Figure 5. It shows that with an increase in p in , Δ S ˙ Spec first decreased and then increased. At about 2.58 MPa, the minimum value of 510.0549 was taken as the minimum point of the EGR per C10H20 yield. At this time, Δ F C 10 H 20 was 0.0455 mol/s and Δ S ˙ tot was 23.2147 W/K.
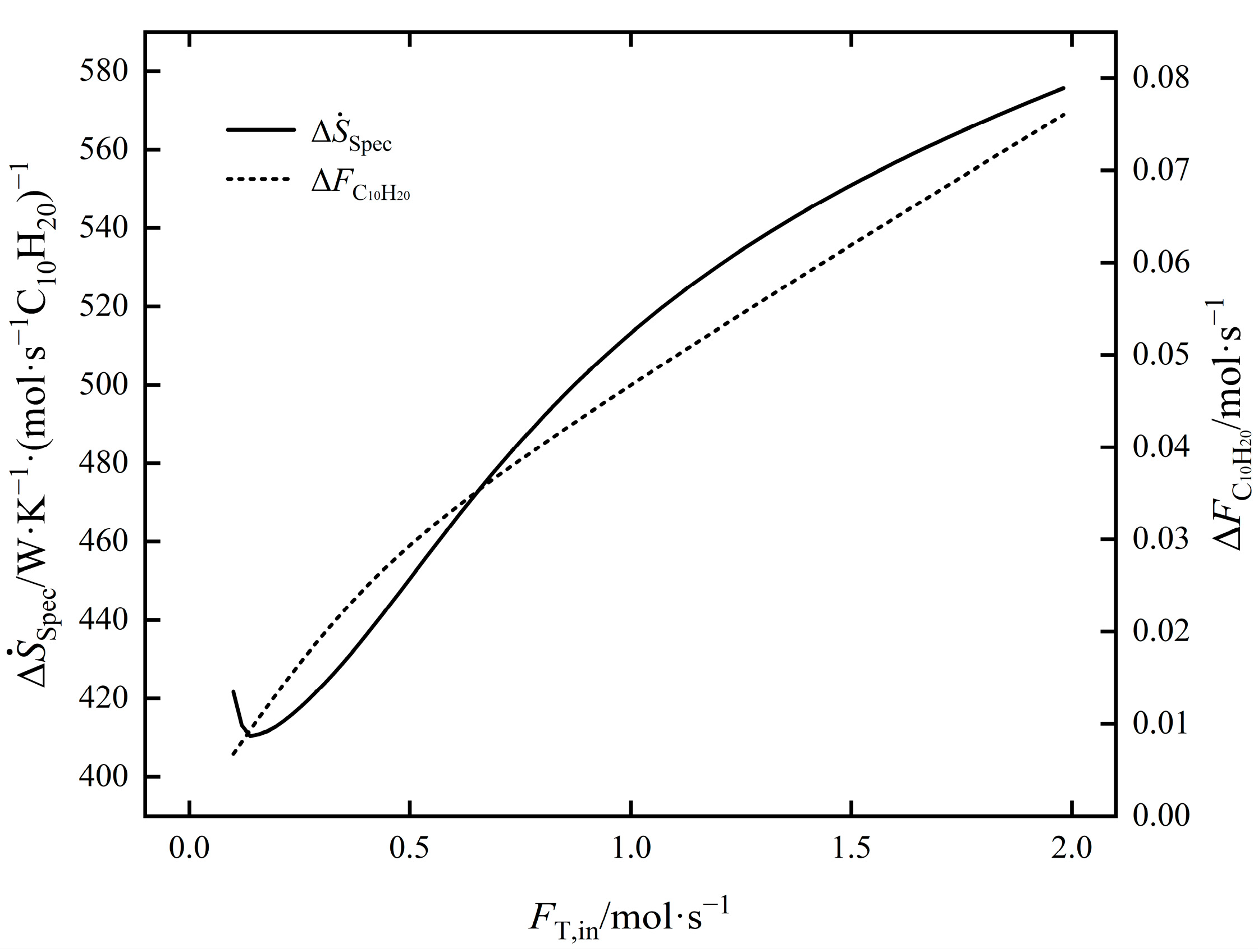
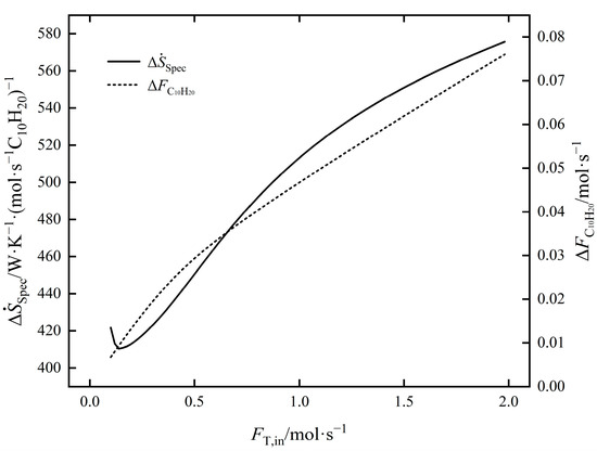
The influence law of F T , in on Δ S ˙ tot and Δ F C 10 H 20 of EOCP is shown in Figure 6. Both Δ S ˙ tot and Δ F C 10 H 20 increased with an increase in F T , in . Among them, Δ S ˙ tot increased by 14.36 times and Δ F C 10 H 20 increased by 10.25 times; that is, the rate of increase for Δ S ˙ tot was faster. The influence law of F T , in on Δ S ˙ Spec and Δ F C 10 H 20 of EOCP is shown in Figure 7. It shows that Δ S ˙ Spec decreased first and then increased with the an increase in F T , in ; the minimum value was taken at about 0.119 mol/s. The minimum EGR per C10H20 yield is the most economical point. At this time, Δ F C 10 H 20 was 0.0081 mol/s and Δ S ˙ tot was 3.32623 W/K.
The optimal variable values for the minimum Δ S ˙ Spec are shown in Table 5. Compared with the reference process, the optimal p in increased by 0.9923 MPa and the optimal F T , in decreased by 0.9 mol/s. It was calculated that Δ S ˙ Spec decreased by 27.7%, Δ S tot decreased by 89.16% and Δ F C 10 H 20 decreased by 85.01% compared to the reference process. This result indicates that the reduction in the value of Δ S ˙ Spec in EOCP is realized by sacrificing part of Δ F C 10 H 20 .

4.2. Multi-Objective Optimization

Using the PlatEMO toolbox, we set the population number as 100, the optimization objective number as 2, the optimization variable number as 2 and the genetic algebra as 100, and the Pareto optimal frontier of EOCP based on the objectives of Δ S ˙ tot minimum and Δ F C 10 H 20 maximum was obtained. LINMAP [28], TOPSIS [29] and Shannon entropy [30] decision-making methods were used, where the weight ( w ) of Δ S ˙ tot and Δ F C 10 H 20 was set to 0.5; the optimization results obtained using different decision-making methods were evaluated with the deviation index from Ref. [31].
For the LINMAP decision-making method, the optimal solution iopt is calculated as:
P E D i = i = 1 100 ( F i , j F j positive )
i opt min { P E D i }
where F j is the j-th target value, positive is the positive ideal point and PEDi is the Euclidean distance between the i-th feasible solution and the positive ideal point. The LINMAP decision-making method calculates the closest point to the positive ideal point.
For the TOPSIS decision-making method, the optimal solution iopt is calculated as:
N E D i = i = 1 100 ( F i , j F j negative )
Y i = N E D i P E D i + N E D i
i opt max { Y i }
where negative is the negative ideal point and NEDi is the Euclidean distance between the i-th feasible solution and the negative ideal point. The TOPSIS decision-making method determines the point farthest from the negative ideal point.
For the Shannon entropy decision-making method, Fi,j needs to be normalized first:
P i , j = F i , j i = 1 100 F i , j
The Shannon entropy of the j-th target can be calculated by the following formula:
S E j = 1 ln 100 i = 1 100 P i , j ln P i , j
The optimal solution iopt is calculated as:
w j = ( 1 S E j ) / j = 1 2 ( 1 S E j )
i opt min { P i , j w j }
where wj is the weight of the j-th target.
The calculation formula for the deviation index is:
D = j = 1 2 ( F j opt F j positive i = 1 100 F i , j ) 2 j = 1 2 ( F j opt F j positive i = 1 100 F i , j ) 2 j = 1 2 ( F j opt F j negative i = 1 100 F i , j ) 2
where opt denotes the decision point. The deviation index is the ratio of the distance between the decision point and the positive ideal point to the sum of the distance between the decision point and the positive and negative ideal point. The deviation index can be used to evaluate the quality of the decision point. The smaller the deviation index, the closer the decision point is to the positive ideal point, and the better the decision point is.
The Pareto optimal frontier of EOCP is shown in Figure 8. The Δ S ˙ tot and Δ F C 10 H 20 corresponding to the point where Δ S ˙ tot is at a minimum and Δ F C 10 H 20 is at a maximum are the least ideal on the Pareto front, as can be seen from Figure 8, which verifies that for the EOCP, the minimum Δ S ˙ tot and the maximum Δ F C 10 H 20 cannot be met at the same time, and the optimal solutions can only be obtained under the different degrees of importance of these two objectives. Both the Δ S ˙ tot minimum point and Δ F C 10 H 20 maximum point are the result of a single-objective optimization of one objective without considering the other objective. The reference point in the figure divides the Pareto front into two segments: A and B. The reference point (shown in the hexagon) was obtained by calculating the yield of C10H20 and the EGR of the reference process. Compared with the reference point, the multi-objective optimization solution on segment A had lower Δ S ˙ tot and Δ F C 10 H 20 values, while the multi-objective optimization solution on segment B had higher Δ S ˙ tot and Δ F C 10 H 20 values.
The distribution of the Pareto front within the variation range of p in and F T , in is shown in Figure 9 and Figure 10. Figure 9 shows that in the Pareto front, the optimization range of pin was 2–4.5 MPa; however, it was mainly distributed in the range of 2–3.5 MPa—that is, the selection of p in in this range would be beneficial to the optimization of EOCP. F T , in was evenly distributed in the whole optimization range, which shows that the selection of F T , in was used to adjust the opposition between decreasing Δ S ˙ tot and increasing Δ F C 10 H 20 at the same time.
The results of the single-objective optimization, reference point and multi-objective optimization are shown in Table 6. The deviation indexes corresponding to the results of all the optimizations were smaller than the reference point. In the results of the single-objective optimization, the Δ S ˙ tot minimum point and the Δ S ˙ Spec minimum point were the same, and the deviation index of the Δ F C 10 H 20 maximum point was the largest in the optimization results, indicating that the optimization effect of Δ F C 10 H 20 was worse than Δ S ˙ tot . The decrease in Δ S ˙ Spec was realized by sacrificing part of Δ F C 10 H 20 to reduce Δ S ˙ tot . Among the multi-objective optimization results, the values for Δ S tot and Δ F C 10 H 20 obtained by LINMAP were the largest, and the corresponding deviation index was also the largest. The values for Δ S ˙ tot and Δ F C 10 H 20 obtained with the Shannon entropy decision method were the smallest, and the corresponding deviation index was also the smallest. The values of Δ S ˙ tot and Δ F C 10 H 20 and the deviation index determined using the TOPSIS decision method were between the other two decision results. When using the deviation index to evaluate the results, the deviation index of the optimal solution under the Shannon enterprise decision result is the smallest; thus, it is the best optimization scheme. In the results obtained using the Shannon entropy decision method, the value of p in was 2.0315 MPa and the value of F T , in was 0.3909 mol/s. Compared with the reference process, the value of p in was reduced by 32.28% and the value of F T , in was decreased by 60.91%. The final value of Δ S ˙ tot was reduced by 59.01%, and the value of Δ F C 10 H 20 was decreased by 49.46%. The degree of this reaction was lowered by the Shannon entropy decision method, and the EGR was reduced by the decrease in the C10H20 yield of the process.

5. Conclusions

An EOCP model with a constant temperature heat source outside the pipe was established in this paper. The process was optimized with the minimum SEGR. In addition, with the aim of making the EGR is as small as possible and the C10H20 yield is as large as possible, the multi-objective optimization of EOCP was carried out using the NSGA-Ⅱ algorithm, and the Pareto optimal frontier was obtained. The conclusions can be summarized as follows:
  • The maximum C10H20 yield and the minimum EGR cannot be guaranteed. When only p in was used as the optimization variable, the most economical point was obtained at 4.1 MPa. When only F T , in was used as the optimization variable, the most economical point was taken at 0.119mol/s.
  • By taking the minimum SEGR as the optimization objective, Δ S ˙ Spec was reduced by 27.7%, Δ S tot was reduced by 89.16% and Δ F C 10 H 20 was reduced by 85.01% compared to the reference process.
  • A comparison of the decision points indicates that Shannon entropy is the best decision-making method. The corresponding Δ S ˙ tot of the decision point was reduced by 59.01%, Δ F C 10 H 20 was reduced by 49.46% and Δ S Spec was reduced by 18.88%.

Author Contributions

Conceptualization, S.X.; Funding acquisition, S.X.; Methodology, Y.Y., M.Z. and S.X.; Software, Y.Y. and S.X.; Validation, S.X.; Writing—original draft, Y.Y. and M.Z.; Writing —review and editing, S.X. All authors have read and agreed to the published version of the manuscript.

Funding

This work was supported by the National Natural Science Foundation of China (Grant Nos. 51976235 and 51606218) and the Natural Science Foundation of Hubei Province (No. 2018CFB708).

Informed Consent Statement

Not applicable.

Data Availability Statement

The data that support the findings of this study are available from the corresponding author, Y.Y., upon reasonable request.

Acknowledgments

The authors are very grateful to the reviewers for their careful, unbiased and constructive advice, which has greatly assisted the revision of this manuscript.

Conflicts of Interest

The authors declare no conflict of interest.

Nomenclature

A Pre-exponential factor, mol s 1 kg 1 MPa 1
A c Cross-section area, m 2
C p , k Constant pressure molar heat capacity, J mol 1 K 1
d Inner diameter, m
E Reaction activation energy, J mol 1
F k Molar flow rate, mol s 1
hMolar enthalpy, J mol 1
k Reaction rate constant
K Reaction equilibrium constant
L Length, m
m ˙ Mass flow rates, kg s 1
n Amount of substance, mol
p Pressure, MPa
r Chemical reaction rate, mol kg 1 s 1  
R Molar gas constant, J mol 1 K 1
T Temperature, K
U Heat transfer coefficient, W K m 2
v Average flow rate, m s 1
y k Mole fraction
Greek symbol
η Effective factor
ε Porosity
μ Viscosity coefficient, kg m 1 s 1
σ Local entropy generation rate, J K 1 m 1 s 1
ρ Density, kg m 3
Δ S ˙ Entropy generation rate, J K 1 s 1
Abbreviations
isenIdeal reversible process
MMixer
CCompressor
HEHeat exchanger
CRReactor

References

  1. Wu, J.M.; Sun, Q.W.; Zhang, Z.L.; Pang, L.F. Thermodynamic study for Ethylene oligomerization to α-α-olefin. J. Mol. Catal. 2013, 27, 385–391. (In Chinese) [Google Scholar]
  2. Yuan, M. Research on the Reaction Condition Optimization for Ethene Oligomerization to Synthesize Gasoline Components over ZSM-5 Catalyst in Methanol Synthesis Gasoline. Master’s Thesis, Wuhan Institute of Technology, Wuhan, China, 2017. (In Chinese). [Google Scholar]
  3. Toch, K.; Thybaut, J.; Arribas, M.A.; Martinez, A.; Marin, G. Ethylene oligomerization catalyst optimization using fundamental kinetic modeling. In Proceedings of the 2011 AIChE Annual Meeting, Minneapoils, MN, USA, 16–21 October 2011. [Google Scholar]
  4. Toch, K.; Thybaut, J.W.; Marin, G.B. Ethene oligomerization on Ni-SiO2-Al2O3: Experimental investigation and single-event microkinetic modeling. Appl. Catal. A-Gen. 2015, 489, 292–304. [Google Scholar] [CrossRef]
  5. Toch, K.; Thybaut, J.W.; Marin, G.B. An industrial reactor design for heterogeneously catalyzed ethene oligomerization. In Proceedings of the 2013 AIChE Annual Meeting, San Francisco, CA, USA, 3–8 November 2013. [Google Scholar]
  6. Chen, L.; Wang, C.; Zhang, L.; Xia, S. Progress in thermodynamic analyses and optimizations for key component units in sea-based fuel synthesis system. Sci. Sin. Technol. 2021, 51, 137–175. (In Chinese) [Google Scholar]
  7. Zaeva, M.; Andresen, B.; Tsirlin, A. Heat exchange systems with minimal irreversibility. Chem. Eng. Res. Des. 2021, 171, 317–326. [Google Scholar] [CrossRef]
  8. Sukin, I.; Tsirlin, A.; Andresen, B. Finite-time thermodynamics: Multistage separation processes consuming mechanical energy. Chem. Eng. Sci. 2022, 248, 117250. [Google Scholar] [CrossRef]
  9. Kingston, D.; Wilhelmsen, Ø.; Kjelstrup, S. Minimum entropy production in a distillation column for air separation described by a continuous non-equilibrium model. Chem. Eng. Sci. 2020, 218, 115539. [Google Scholar] [CrossRef]
  10. Badescu, V. Optimal design and operation of ammonia decomposition reactors. Int. J. Energy Res. 2020, 44, 5360–5384. [Google Scholar] [CrossRef]
  11. Li, P.; Chen, L.; Xia, S.; Zhang, L.; Kong, R.; Ge, Y.; Feng, H. Entropy generation rate minimization for steam methane reforming reactor heated by molten salt. Energy Rep. 2020, 6, 685–697. [Google Scholar] [CrossRef]
  12. Kong, R.; Chen, L.; Xia, S.; Li, P.; Ge, Y. Entropy generation rate minimization for sulfur trioxide decomposition membrane reactor. Energy Rep. 2022, 8, 1483–1496. [Google Scholar] [CrossRef]
  13. Chen, L.G.; Xia, S.J. Processes in generalized thermodynamic dynamic-optimization of irreversible processes. Sci. Sin. Technol. 2019, 49, 981–1022. (In Chinese) [Google Scholar] [CrossRef]
  14. Chen, L.G.; Xia, S.J.; Feng, H.J. Processes in generalized thermodynamic dynamic-optimization of irreversible cycles. Sci. Sin. Technol. 2019, 49, 1223–1267. (In Chinese) [Google Scholar]
  15. Bejan, A. The concept of irreversibility in heat exchanger design: Counterflow heat exchangers for gas-to-gas applications. J. Heat Trans. 1977, 99, 374–380. [Google Scholar] [CrossRef]
  16. Bejan, A. Notes on the history of the method of entropy generation minimization (finite time thermodynamics). J. Non-Equilib. Thermodyn. 1996, 21, 239–242. [Google Scholar]
  17. Røsjorde, A.; Kjelstrup, S.; Johannessen, E.; Hansen, R. Minimizing the entropy production in a chemical process for dehydrogenation of propane. Energy 2007, 32, 335–343. [Google Scholar] [CrossRef]
  18. Kingston, D.; Razzitte, A. Entropy production in chemical reactors. J. Non-Equilib. Thermodyn. 2017, 42, 265–275. [Google Scholar] [CrossRef]
  19. Kingston, D.; Razzitte, A. Entropy generation minimization in dimethyl ether synthesis: A case study. J. Non-Equilib. Thermodyn. 2018, 43, 111–120. [Google Scholar] [CrossRef]
  20. Sun, M.; Xia, S.; Chen, L.; Wang, C.; Tang, C. Minimum entropy generation rate and maximum yield optimization of sulfuric acid decomposition process using NSGA-II. Entropy 2020, 22, 1065. [Google Scholar] [CrossRef]
  21. Zhang, L.; Chen, L.; Xia, S.; Ge, Y.; Wang, C.; Feng, H. Multi-objective optimization for helium-heated reverse water gas shift reactor by using NSGA-II. Int. J. Heat Mass Transf. 2020, 148, 119025. [Google Scholar] [CrossRef]
  22. Li, P.L.; Chen, L.G.; Xia, S.J.; Kong, R.; Wu, Z.X.; Ge, Y.L. Thermodynamic optimization for membrane reactor of steam methane reforming heated by molten salt. J. Eng. Thermophys. 2021, 42, 1363–1368. [Google Scholar]
  23. Li, P.; Chen, L.; Xia, S.; Kong, R.; Ge, Y. Multi-objective optimal configurations of a membrane reactor for steam methane reforming. Energy Rep. 2022, 8, 527–538. [Google Scholar] [CrossRef]
  24. Chen, H.F.; Du, J.H. Advanced Engineering Thermodynamics; Tsinghua University Press: Beijing, China, 2002. (In Chinese) [Google Scholar]
  25. Kjelstrup, S.; Bedeaux, D.; Johannessen, E.; Gross, J. Non-Equilibrium Thermodynamics for Engineers; World Scientific: Hackensack, NJ, USA, 2010. [Google Scholar]
  26. Bedeaux, D.; Kjelstrup, S.; Sengers, J.V. Experimental Thermodynamics. Volume X: Non-Equilibrium Thermodynamics with Applications; The Royal Society of Chemistry: Cambridge, UK, 2016. [Google Scholar]
  27. Froment, G.F.; Bischoff, K.B. Chemical Reactor Analysis and Design; Willey: New York, NY, USA, 1990. [Google Scholar]
  28. Sayyaadi, H.; Mehrabipour, R. Efficiency enhancement of a gas turbine cycle using an optimized tubular recuperative heat exchanger. Energy 2012, 38, 362–375. [Google Scholar] [CrossRef]
  29. Etghani, M.M.; Shojaeefard, M.H.; Khalkhali, A.; Akbari, M. A hybrid method of modified NSGA-II and TOPSIS to optimize performance and emissions of a diesel engine using biodiesel. Appl. Therm. Eng. 2013, 59, 309–315. [Google Scholar] [CrossRef]
  30. Guisado, J.L.; Jimenez-Morales, F.; Guerra, J.M. Application of Shannon’s entropy to classify emergent behaviors in a simulation of laser dynamics. Math. Comput. Model 2005, 42, 847–854. [Google Scholar] [CrossRef]
  31. Kumar, R.; Kaushik, S.C.; Hans, R. Multi-objective thermodynamic optimization of an irreversible regenerative Brayton cycle using evolutionary algorithm and decision making. Ain. Shams Eng. J. 2016, 7, 741–753. [Google Scholar] [CrossRef]
Figure 1. Schematic diagram of EOCP model. 1—mixer; 2—compressor; 3—heat exchanger; 4—reactor.
Figure 1. Schematic diagram of EOCP model. 1—mixer; 2—compressor; 3—heat exchanger; 4—reactor.
Entropy 24 00660 g001
Figure 2. Schematic diagram of heat exchanger model.
Figure 2. Schematic diagram of heat exchanger model.
Entropy 24 00660 g002
Figure 3. Schematic diagram of one-dimensional plug flow reactor model.
Figure 3. Schematic diagram of one-dimensional plug flow reactor model.
Entropy 24 00660 g003
Figure 4. The influence of p in on Δ S ˙ tot and Δ F C 10 H 20 .
Figure 4. The influence of p in on Δ S ˙ tot and Δ F C 10 H 20 .
Entropy 24 00660 g004
Figure 5. The influence of p in on Δ S ˙ Spec and Δ F C 10 H 20 .
Figure 5. The influence of p in on Δ S ˙ Spec and Δ F C 10 H 20 .
Entropy 24 00660 g005
Figure 6. The influence of F T , in on Δ S ˙ tot and Δ F C 10 H 20 .
Figure 6. The influence of F T , in on Δ S ˙ tot and Δ F C 10 H 20 .
Entropy 24 00660 g006
Figure 7. The influence of F T , in on Δ S ˙ Spec and Δ F C 10 H 20 .
Figure 7. The influence of F T , in on Δ S ˙ Spec and Δ F C 10 H 20 .
Entropy 24 00660 g007
Figure 8. The Pareto front of EOCP.
Figure 8. The Pareto front of EOCP.
Entropy 24 00660 g008
Figure 9. Distribution of the Pareto front within the variation range of p in .
Figure 9. Distribution of the Pareto front within the variation range of p in .
Entropy 24 00660 g009
Figure 10. Distribution of the Pareto front within the variation range of F T , in .
Figure 10. Distribution of the Pareto front within the variation range of F T , in .
Entropy 24 00660 g010
Table 1. Values of related parameters in the reaction rate equation [6].
Table 1. Values of related parameters in the reaction rate equation [6].
ParametersReaction 1Reaction 2
A j /mol·(s·kg·MPa)−1 19 4.6 × 10 3
E j /J·mol−156,28670,116
Table 2. Parameters of mixer.
Table 2. Parameters of mixer.
ParameterSymbolValue
Inlet   mole   fraction   of   C 2 H 4 y C 2 H 4 , in 0.3
Inlet   mole   fraction   of   C 4 H 8 y C 4 H 8 , in 0.1
Inlet   mole   fraction   of   C 10 H 20 y C 10 H 20 , in 0.1
Inlet   mole   fraction   of   N 2 y N 2 , in 0.5
Total   molar   flow   rate F T , in 1   mol s 1
Table 3. Parameters of heat exchanger.
Table 3. Parameters of heat exchanger.
ParameterSymbolValue
Heat   transfer   coefficient   of   heat   exchanger U HE 1.7 × 10 7   W K m 2
Inner   diameter   of   heat   exchanger d HE , i 0.08   m
Length   of   heat   exchanger L HE 5   m
Table 4. Parameters of reactor.
Table 4. Parameters of reactor.
ParameterSymbolValue
Reactor   heat   transfer   coefficient U CR 3 × 10 7   W K m 2
Reactor   inner   diameter d CR , i 0.08   m
Reactor   outer   diameter d CR , o 0.084   m
Reactor   length L CR 5   m
Bulk   density   of   catalytic   bed ρ b 800   kg m 3
External   heat   source   temperature T a 637   K
Catalyst   particle   diameter d p 0.005   m
Void   fraction   of   catalytic   bed ε 0.45
Table 5. Optimization variable values for the minimum SEGR.
Table 5. Optimization variable values for the minimum SEGR.
Variable p in / MPa F T , in / ( mol / s )
Optimum value2.00770.1
Table 6. Comparison of results from the single-objective optimization, reference point and multi-objective optimization.
Table 6. Comparison of results from the single-objective optimization, reference point and multi-objective optimization.
Optimization ModePolicy DecisionOptimization VariablesOptimization ObjectivesDeviation Index
p in / MPa F T , in / mol s 1 Δ S ˙ tot / W K 1 Δ F C 10 H 20 / mol s 1
Multi-objectiveLINMAP2.84600.892221.50460.04300.4616
TOPSIS2.38240.601214.79990.03240.4542
Shannon Entropy2.03150.39099.82860.02360.4057
Single objective Δ S ˙ tot 2.00770.12.59820.00700.420891
Δ S ˙ Spec 2.00770.12.59820.00700.420891
Δ F C 10 H 20 4.0184246.80370.07910.5791
Ref——3123.97620.04670.7521
Publisher’s Note: MDPI stays neutral with regard to jurisdictional claims in published maps and institutional affiliations.

Share and Cite

MDPI and ACS Style

Yu, Y.; Xia, S.; Zhao, M. Thermodynamic Optimization of the Ethylene Oligomerization Chemical Process. Entropy 2022, 24, 660. https://doi.org/10.3390/e24050660

AMA Style

Yu Y, Xia S, Zhao M. Thermodynamic Optimization of the Ethylene Oligomerization Chemical Process. Entropy. 2022; 24(5):660. https://doi.org/10.3390/e24050660

Chicago/Turabian Style

Yu, Yajie, Shaojun Xia, and Ming Zhao. 2022. "Thermodynamic Optimization of the Ethylene Oligomerization Chemical Process" Entropy 24, no. 5: 660. https://doi.org/10.3390/e24050660

APA Style

Yu, Y., Xia, S., & Zhao, M. (2022). Thermodynamic Optimization of the Ethylene Oligomerization Chemical Process. Entropy, 24(5), 660. https://doi.org/10.3390/e24050660

Note that from the first issue of 2016, this journal uses article numbers instead of page numbers. See further details here.

Article Metrics

Back to TopTop