Abstract
We study the steady-state thermodynamics of a cascaded collision model where two subsystems and collide successively with an environment R in the cascaded fashion. We first formulate general expressions of thermodynamics quantities and identify the nonlocal forms of work and heat that result from cascaded interactions of the system with the common environment. Focusing on a concrete system of two qubits, we then show that, to be able to unidirectionally influence the thermodynamics of , the former interaction of should not be energy conserving. We finally demonstrate that the steady-state coherence generated in the cascaded model is a kind of useful resource in extracting work, quantified by ergotropy, from the system. Our results provide a comprehensive understanding on the thermodynamics of the cascaded model and a possible way to achieve the unidirectional control on the thermodynamics process in the steady-state regime.
1. Introduction
Recent years have seen increasing interests in the study of quantum thermodynamics (QT) [1,2] which exploits an open quantum system [3] as a working substance to implement thermodynamic tasks. The main purposes of QT are to examine fundamental laws of classical thermodynamics in the quantum level and to reveal the influences of various quantum resources and/or quantum effects on thermodynamics processes, among others. The applications of quantum resources such as quantum coherence and correlation in QT have attracted much attention since the pioneering work of Scully et al. [4]. In Ref. [4], by conveying the atomic beam with coherence through the cavity field and interacting with the field mode for a short duration, Scully et al. have shown that the field can arrive at a larger temperature than the situation where the atoms are prepared in regular thermal states. As a result, the efficiency of the photonic Carnot engine driven by a coherent bath can outperform its classical counterpart [4]. Subsequently, the effects of quantum coherence and correlation have been applied to improve the performance of thermal machines [5,6,7,8,9,10,11,12,13,14], enhance the extraction of work [15,16,17], and increase the thermalization temperature of a quantum system [18,19,20].
Apart from specific quantum resources and quantum effects, researchers also try to explore quantum thermodynamics by engineering the couplings of a quantum system with external environments. The simultaneous couplings of several systems with a common environment lead to the noise-induced interference, which proves to be useful in enhancing the thermodynamics tasks [21,22,23,24]. Manzano et al. show that it is possible to improve the machine performance by virtue of common noise sources [22]. Albeit surrounded by a common environment, unidirectional (one-way) influence of two systems, say, and , can be achieved by the so-called cascaded model [25,26,27,28,29]. In this model, and successively interact with the common environment R in such a way that the interaction of takes place first, which is then followed by resulting in the one-way influence of to the dynamics of . The cascaded model is an efficient tool to depict the ordered interactions of individual subsystems with a common environment. For instance, in the cavity QED, the unidirectional exchange of information (energy) between a linear array of cavities and the successively injected atoms can be described by this framework [26]. The cascaded fashion of interaction is also applied in QT to study the dynamics of heat current [25,28,29]. In Ref. [25], Lorenzo et al. explore the non-Markovian dynamics of heat current and the effects of quantum correlations in dissipative cascaded systems. It turns out that, in clear contrast to the configuration with each subsystem being independently coupled to the reservoir, the heat flow under the cascaded interaction exhibits a non-exponential time behavior [25]. In these studies of the cascaded model [25,26,27,28,29], the system–environment interactions are assumed to be energy conserving so that all the energy changes are accounted for by heat without the contribution of work. In this paper, we relax the assumption of energy conservation of the system–environment interaction to make a comprehensive exploration on the thermodynamics of cascaded model involving both heat and work.
The quantum master equation (QME) is the most popular tool in the study of the dynamics of an open quantum system even with several approximations. Since QME cannot capture information about the global state of the system and environment, applications of QME in dealing with QT in some cases might lead to the occurrence of thermodynamic inconsistencies [30,31,32,33,34,35,36,37,38,39,40,41]. In Ref. [41], Levy and Kosloff have considered a model consisting of two subsystems embedded in two independent thermal reservoirs with different temperatures. It is found that the heat flows automatically from cold to hot reservoirs, i.e., the second law of thermodynamics is violated, if the local QME is used to describe the system’s dynamics [41]. A possible way to overcome this weakness is the collision model (CM) [42] where the environment is modeled as a collection of identically prepared ancillas and at each time step the system interacts/collides with a fresh ancilla. The CM has been used as an alternative tool in the study of dynamics of an open quantum system [43,44,45,46,47,48,49,50] for a long time. In particular, the CM is more efficient in the simulation of non-Markovian dynamics through several strategies, such as the introduction of either initial correlations between ancillas or ancilla–ancilla collisions between two successive system–ancilla collisions [51,52,53,54,55,56,57,58,59,60,61]. An advantage of the CM over the QME is that it can track the information of environment. In the field of QT [62,63,64,65,66,67,68,69,70,71,72,73,74], CM resolves some thermodynamics inconsistencies and makes the most fundamental definitions of thermodynamic quantities, such as heat and work, possible. It has been recognized that, in the CM, a certain amount of work should be supplied to maintain the successive collisions of the system and environment [62]. By taking the extra work cost of maintaining the successive collisions into account, the local QME is shown to comply again with thermodynamics [63]. By means of CM, the effects of non-Markovianity on the laws of thermodynamics and on the performances of thermal machines have also been studied [28,75,76,77,78,79].
In this work, we address the thermodynamics of a cascaded model where two subsystems and collide successively with an environment R. Thanks to the framework of CM, we can construct general formulations of thermodynamics quantities from the most fundamental definitions. Nonlocal forms of work and heat are identified as a result of cascaded interaction of the subsystems with the common environment. We then demonstrate the features of steady-state thermodynamics concentrating on a two-qubit system. It turns out that, only when the interaction of does not satisfy strict energy conservation, can it have a one-way effect on the thermodynamics regarding . We also show that the cascaded interaction leads to steady-state coherence of the system, which can be recognized as a kind of resource in extracting useful work from the system.
2. The Model and Master Equation
We consider that the system S consists of two uncoupled subsystems and with the free Hamiltonian (). In terms of CM, the environment R is modeled as a series of identical ancillas described by the Hamiltonian . Note that we use to represent both the environment and ancillas therein. The system–environment interactions adopt the cascaded manner in such a way that at each time step collides with an ancilla for a short duration , which is followed by another collision of with that ancilla for the same time , as depicted in Figure 1. The environment is assumed to be sufficiently large so that the system never collides twice with the same ancilla. Although there is no direct coupling between these two subsystems, the cascaded model results in unidirectional influences of to but no backward actions.
Figure 1.
Schematic diagram of the cascaded model. The system consists of two subsystems and , while the environment is modeled as a collection of ancillas with the nth one being labeled as . In the nth round of the collision, collides with for a duration , which is then followed by another collision of with for the same duration.
The total Hamiltonian of the system plus environment can be expressed as
where , is the interaction Hamiltonian of with R and we have scaled it by the interaction time for the convenience of taking continuous time limit although not necessary. The step function in Equation (1) denotes the time-dependence of the system–environment collisions and has the value 1 when with the number of collisions and zero otherwise. After a round of collision, the state of the system at time t will be transformed to at time as
in which is the unitary time evolution operator and is the initial state of the environment, which has been assumed to be prepared in the thermal state at inverse temperature with as the corresponding partition function. We set here and throughout the paper. By expanding to the second order of , we derive the master equation governing the system’s dynamics as
where
stands for the local dissipation of being consistent with the situation when only exists without the involvement of other subsystems, and
characterizes the collective actions of the environment on the two subsystems owning to the cascaded interactions.
3. Thermodynamic Quantities of the Cascaded Model
In quantum thermodynamics, the work is generally defined as the change of energy induced by the change of the time-dependent Hamiltonian of the total system. In the CM, the successive couplings and decouplings of the system with the environment lead to the time dependence of the interaction Hamiltonian, as shown in Equation (1); therefore, the energetic cost of sustaining such successive collisions is supplied in the form of work. In a round of collisions started from t to , the work performed on the system can be formulated as
in which and are the total state of the system and environment at time t and , respectively. Since , the Formulation (6) is further reduced to
where and the two components and constituting the total work can be formulated as
and
We thus identify two types of work, i.e., the local one and nonlocal one , which sustain the local collisions of with R and the cascaded collisions of and with R, respectively. Although can be formally derived by the collision model as if only exists in the absence of the other one, embodies the unique one-way influence of the cascaded model.
By means of Equations (7)–(9) and after taking the continuous time limit, we obtain the current of work as
with
and
The heat in a collision can be unambiguously defined as the change in the energy of environment being of the form
with
and
Obviously, the total heat can be divided into local heat and nonlocal heat , which are related to the local collision of with R and the nonlocal collision of and with R. Though is generated by the collective collisions, it completely contributes to the heat of due to the unidirectional effect of the cascaded model [25].
By taking continuous time limit, the heat current can be derived as
where
and
With the expression of internal energy of the system
we can confirm that the derived thermodynamics quantities fulfill the first law of thermodynamics, i.e., . Note that, by definition, the negative means the heat flowing from the environment to the system.
4. Demonstration by Two-Level System
In order to demonstrate our results, we consider a fundamental configuration that both the system and ancillas are two-level systems (qubits) described by the free Hamiltonians and , respectively, with () the frequency of subsystem (ancilla R). The interaction between and R is given as
where , and are the usual Pauli operators acting on A.
The system’s dynamics is governed by the master Equation (3) with the dissipation terms being of the forms
and
The currents of local and nonlocal heat are derived as
and
while the currents of local and nonlocal work are expressed as
and
From the expressions of local currents of heat and work, i.e., in Equation (23) and in (25), we can see that the prior interaction of will exert a one-way influence on the local currents of if any, through affecting the reduced state of and eventually the term . The condition for the disappearance of is and meanwhile (i.e., ) with the steady-state inverse temperature of . As for , it will vanish when the interaction of satisfies strict energy conservation, namely, and . From Equations (24) and (26), we can see that the nonlocal currents of heat and work are closely related to the establishment of correlations between and in terms of . Moreover, the formulation of (26) indicates that the nonlocal work current is bound to vanish if and , i.e., ; however, this does not imply that is only determined by the interaction of since even when , a finite nonzero nonlocal work current requires the existence of correlations of and .
In the following, we shall demonstrate the behaviors of steady-state currents of heat and work in detail by considering whether the interactions of and satisfy energy conservation or not. A simple situation is that both interactions of and are energy preserving in the sense that and for . The system will then relax towards the equilibrium stationary state (ESS) [25]
so that both the currents of heat and work vanish in the stationary regime. Albeit the steady-state feature in this case is trivial, the memory effects on the dynamics of heat current exhibit rich phenomenons as discussed in Ref. [25].
If the interaction of is energy preserving with and , we find that apart from the vanishing currents of work and heat regarding , i.e., , the nonlocal currents also become zero, i.e., as no correlations can be constructed in this case. Moreover, the prior interaction of does not exert any influences on in other words, the steady-state currents of are not influenced by manifesting behaviors as if the interaction of does not exist; therefore, only the energy conservation of does not hold, as it has an impact on , which is to be discussed in the following.
4.1. The Interaction of Is Energy-Preserving
We first consider the situation that the interaction of is not energy-conserving, while the interaction of still satisfies strict energy conservation with and . In this case, the steady-state correlation between and can be established, which makes fail to reach ESS although the interaction of is energy-conserving. Eventually, both and reach NESS with effective inverse temperatures and that could deviate from of the environment to different extents. The effective temperature of can be defined as with being the stationary population of the ground (excited) state of the subsystem . As shown in Equations (25) and (26), the strict energy conservation of the interaction of means , namely, no work is provided through the interaction of ; therefore, the NESS of , alternatively speaking, the total NESS of and is sustained by the work invested via . We also note that in this case ; nevertheless, the nonlocal heat current so that the total heat current associated with stays zero, being consistent with the vanishing and .
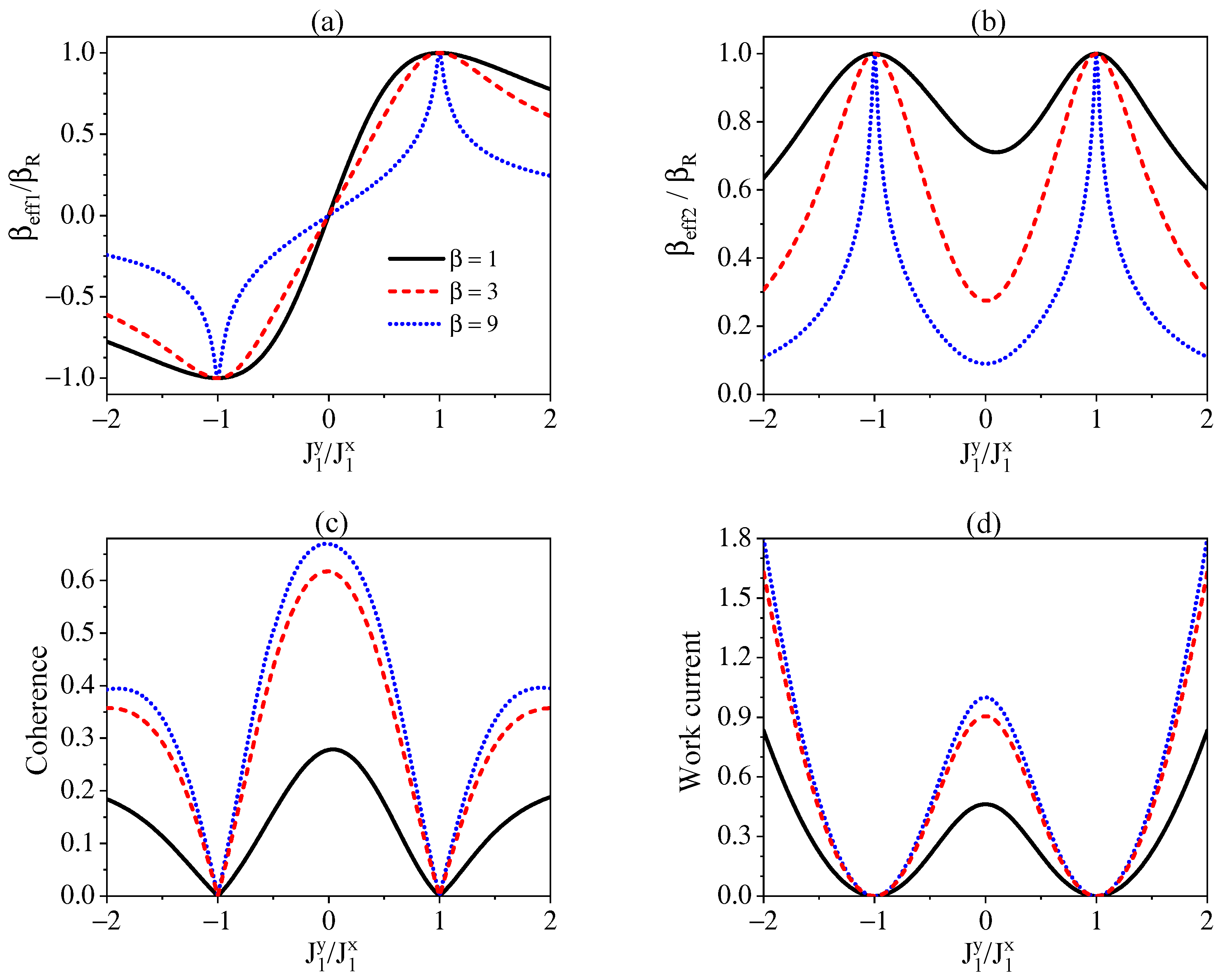
In Figure 2a,b, we illustrate deviations of effective inverse temperatures of and from that of the environment in terms of the ratios and . A comparison between and in Figure 2a,b shows that can reach ESS with only at the point of and the negative temperatures are achieved when , whereas can arrive at ESS with at the two points of . The nonconservation of energy for induces steady-state correlations between and , which is quantified by the norm of coherence defined as with the matrix elements of density operator [80]. Apart from the effective temperature, the existence of correlation is also a signature of the system reaching NESS. The coherence of and as a function of is demonstrated in Figure 2c. By comparing Figure 2a, Figure 2b, and Figure 2c, we observe that the farther the individual subsystem () deviates from equilibrium, i.e., the smaller the ratios , the larger the coherence. We also note that the lower the temperature of environment, the larger the coherence. The NESS of the total system, which is characterized now by both the effective temperatures of individual subsystems and the coherence, should be sustained by the work current supplied by an external agent. In Figure 2d, our displays of the work current show that the work cost is consistent with the extent of the system deviating from the ESS, namely, the smaller the ratio and the larger the coherence, the more the work current.
Figure 2.
The ratios of effective inverse temperatures and of (a) and (b) to that of environment , the coherence of the system (c), and the work current (d) as a function of for different . We set and .
4.2. Both the Interactions of and Are Not Energy-Preserving
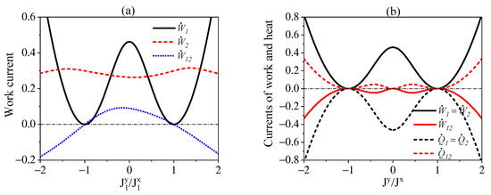
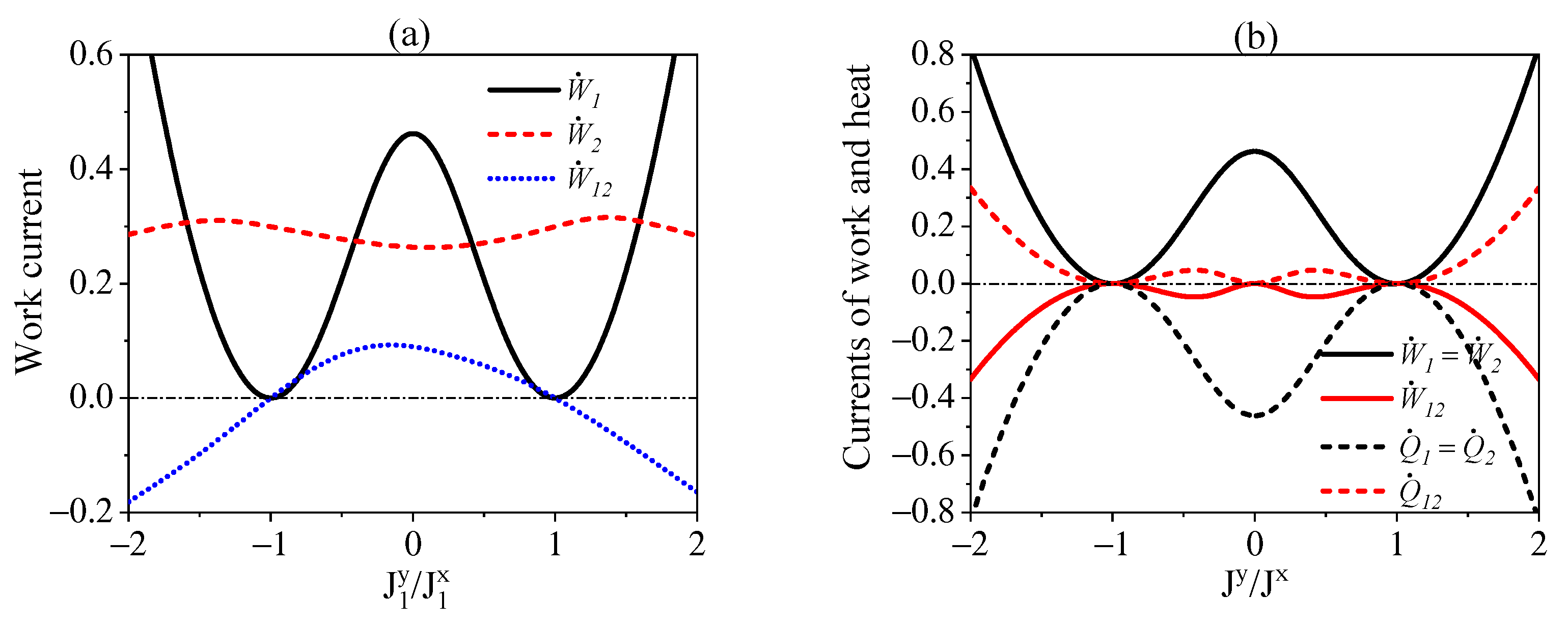
We finally consider the scenario where both the interactions of and are not energy-preserving, for which the nonlocal steady-state currents of work and heat might appear as indicated in Equations (24) and (26). Here, we are interested in the one-way influences of the interaction of on the steady-state currents of . For this purpose, we demonstrate in Figure 3a the local and nonlocal currents regarding both and against the interaction of in terms of . We can clearly observe the variations of and with respect to implying influences of the interaction of on the work currents of . Moreover, the nonlocal current can be transformed between positive and negative values, which means that the interaction of is able to control the direction of . The currents of heat exhibit similar behaviors to that of the work, which is not shown here. We also note that the symmetric interactions of and with and can lead to and , as demonstrate in Figure 3b. This implies that the local currents of work and heat for the symmetric interactions are the same as that would be obtained in the independent interactions for each subsystem with the environment. Since in this case the nonlocal current of work always take opposite directions to the local ones, the total cost of work in the presence of cascaded interactions, i.e., , are always less than that with only independent interactions, i.e., , in the sense that .
Figure 3.
(a) The work currents against for , . (b) The currents of heat and work against for the symmetric couplings of and with , . We set and .
5. The Extractable Work in Cascaded Model
From above discussions, we recognize that steady-state coherence of the system can be available due to cascaded interactions of subsystems with the common environment, exhibiting striking contrast to the situation of independent interactions where no any coherence can be generated; therefore, it is interesting to study the role of coherence in extracting useful work from the system. The maximum work that can be extracted from a quantum system via cyclic and unitary operations is quantified by the so-called ergotropy [81], which is given as the difference between the energy of the initial state and that of the final state with the minimum average energy through all possible unitary operations. For a quantum system described by Hamiltonian and density operator such that and , the ergotropy can be defined as
where is called the passive state. By plugging the explicit form of in (28), we obtain the well-known expression of ergotropy as
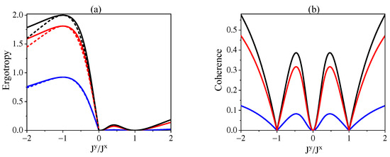
Here, we make a comparison for the ergotropy in two configurations, namely, the cascaded interactions and the independent interactions of and with R. For this purpose, we consider the symmetric interactions of and with R with and . Moreover, for the independent interactions, we define the total ergotropy as with the state of . The behavior of ergotropy is illustrated in Figure 4a for different temperatures of the environment. We observe that at the region of a finite nonzero ergotropy appears for both cascaded and independent interactions of and with magnitude of the former case is always larger than that of the latter case. By contrast, for the region of , the ergotropy retains a nonzero value only for the cascaded interactions. The results can be understood by recalling that the ergotropy under independent interactions is contributed totally by the population inversions of the subsystems with negative effective temperatures, which can occur only in the region of (cf. Figure 2a). By contrast, the ergotropy under cascaded interactions is contributed by both the population inversions of individual subsystems and the coherence of the total system. As a result, the ergotropy of cascaded interactions in the region of is always larger than that of independent interactions and arises also in the region of where the correlations can be established. To have a visualized picture, we plot the coherence of system under the cascaded interaction in Figure 4b. A comparison between Figure 4a and Figure 4b actually confirms our explanations according to the following observations. At the point of , the coherence becomes zero so that the ergotropy in cascaded and independent interactions coincide with each other. In the region of , the ergotropy is completely contributed by the coherence and the larger the coherence with the lower temperature of the environment, the larger the ergotropy. At the point of , the zero coherence leads to vanishing ergotropy. Moreover, the larger the coherence-based ergotropy, the greater the difference for the ergotropy in these two configurations, as shown in the region of .
Figure 4.
(a) The ergotropy for cascaded interactions (solid lines) and independent interactions (dashed lines) of and with R against . (b) The corresponding coherence of the system under cascaded interactions. We set symmetric couplings of and with and . The other parameters are set as (black lines), (red lines), (blue lines), and .
6. Conclusions
In conclusion, by virtue of collision model, we have studied the thermodynamics of a bipartite system with subsystems and interacting with an environment R in the cascaded fashion, namely, the environment R collides/interacts firstly with and subsequently with . Thanks to the framework of the collision model, we have constructed the general forms of work and heat of the system in both discrete steps and continuous time limit from their most fundamental definitions. The constructed formulations allow us to identify the local and nonlocal components of the work and heat and discuss their features due to the cascaded interactions. Focusing on the two-qubit system and concrete form of system–environment interactions, we have demonstrated our results and revealed the necessary condition for the unidirectional influence of the prior interaction of to the thermodynamics of in the steady-state regime. It turns out that the one-way influence occurs only when the interaction of does not fulfill energy conservation. With the influence of prior interaction, subsystem cannot arrive at ESS even when the interaction of satisfies strict energy conservation. In case the interaction of does not satisfy energy conservation at the same time, the interaction of will have an impact on both the local work regarding and nonlocal work. We also show that the steady-state coherence generated by the cascaded interaction is a useful resource in extracting work in terms of ergotropy from the system. Our results thus reveal the unique thermodynamics features in the cascaded model and particularly provide a possible way to achieve the one-way control on the thermodynamics process in the steady-state regime.
Author Contributions
Conceptualization, Z.-X.M. and Y.-J.X.; methodology, L.L.; software, L.L.; writing—original draft preparation, L.L.; writing—review and editing, Z.-X.M.; supervision, Z.-X.M. All authors have read and agreed to the published version of the manuscript.
Funding
This work was funded by the National Natural Science Foundation (China) under Grant No. 11974209, Taishan Scholar Project of Shandong Province (China) under Grant No. tsqn201812059, Youth Technological Innovation Support Program of Shandong Provincial Colleges and Universities under Grant No. 2019KJJ015.
Institutional Review Board Statement
Not applicable.
Informed Consent Statement
Not applicable.
Data Availability Statement
Not applicable.
Conflicts of Interest
The authors declare no conflict of interest.
References
- Gemma, G.; Michel, M.; Mahler, G. Quantum Thermodynamics; Springer: Berlin/Heidelberg, Germany, 2004. [Google Scholar]
- Kosloff, R. Quantum Thermodynamics: A Dynamical Viewpoint. Entropy 2013, 15, 2100. [Google Scholar] [CrossRef] [Green Version]
- Breuer, H.; Petruccione, F. The Theory of Open Quantum Systems; Oxford University Press: Oxford, NY, USA, 2002. [Google Scholar]
- Scully, M.O.; Zubairy, M.S.; Agarwal, G.S.; Walther, H. Extracting Work from a Single Heat Bath via Vanishing Quantum Coherence. Science 2003, 299, 862. [Google Scholar] [CrossRef]
- Türkpençe, D.; Müstecaplıoǧlu, O.E. Quantum fuel with multilevel atomic coherence for ultrahigh specific work in a photonic Carnot engine. Phys. Rev. E 2016, 93, 012145. [Google Scholar] [CrossRef] [PubMed] [Green Version]
- Shi, Y.H.; Shi, H.L.; Wang, X.H.; Hu, M.L.; Liu, S.Y.; Yang, W.L.; Fan, H. Quantum coherence in a quantum heat engine. J. Phys. A 2020, 53, 085301. [Google Scholar] [CrossRef] [Green Version]
- Mehta, V.; Johal, R.S. Quantum Otto engine with exchange coupling in the presence of level degeneracy. Phys. Rev. E 2017, 96, 032110. [Google Scholar] [CrossRef] [Green Version]
- Dillenschneider, R.; Lutz, E. Energetics of quantum correlations. EPL (Europhys. Lett.) 2009, 88, 50003. [Google Scholar] [CrossRef] [Green Version]
- Brandner, K.; Bauer, M.; Schmid, M.T.; Seifert, U. Coherence-enhanced efficiency of feedback-driven quantum engines. New J. Phys. 2015, 17, 065006. [Google Scholar] [CrossRef]
- Brunner, N.; Huber, M.; Linden, N.; Popescu, S.; Silva, R.; Skrzypczyk, P. Entanglement enhances cooling in microscopic quantum refrigerators. Phys. Rev. E 2014, 89, 032115. [Google Scholar] [CrossRef] [Green Version]
- Niedenzu, W.; Gelbwaser-Klimovsky, D.; Kofman, A.G.; Kurizki, G. On the operation of machines powered by quantum non-thermal baths. New J. Phys. 2016, 18, 083012. [Google Scholar] [CrossRef] [Green Version]
- Uzdin, R. Coherence-Induced Reversibility and Collective Operation of Quantum Heat Machines via Coherence Recycling. Phys. Rev. Appl. 2016, 6, 024004. [Google Scholar] [CrossRef]
- Doyeux, P.; Leggio, B.; Messina, R.; Antezza, M. Quantum thermal machine acting on a many-body quantum system: Role of correlations in thermodynamic tasks. Phys. Rev. E 2016, 93, 022134. [Google Scholar] [CrossRef] [PubMed] [Green Version]
- Latune, C.; Sinayskiy, I.; Petruccione, F. Quantum coherence, many-body correlations, and non-thermal effects for autonomous thermal machines. Sci. Rep. 2019, 9, 3191. [Google Scholar] [CrossRef] [Green Version]
- Åberg, J. Catalytic Coherence. Phys. Rev. Lett. 2014, 113, 150402. [Google Scholar] [CrossRef] [PubMed] [Green Version]
- Korzekwa, K.; Lostaglio, M.; Oppenheim, J.; Jennings, D. The extraction of work from quantum coherence. New J. Phys. 2016, 18, 023045. [Google Scholar] [CrossRef]
- Li, H.; Zou, J.; Yu, W.L.; Xu, B.M.; Li, J.G.; Shao, B. Quantum coherence rather than quantum correlations reflect the effects of a reservoir on a system’s work capability. Phys. Rev. E 2014, 89, 052132. [Google Scholar] [CrossRef] [Green Version]
- Liao, J.Q.; Dong, H.; Sun, C.P. Single-particle machine for quantum thermalization. Phys. Rev. A 2010, 81, 052121. [Google Scholar] [CrossRef] [Green Version]
- Manatuly, A.; Niedenzu, W.; Román-Ancheyta, R.; Çakmak, B.; Müstecaplıoğlu, O.E.; Kurizki, G. Collectively enhanced thermalization via multiqubit collisions. Phys. Rev. E 2019, 99, 042145. [Google Scholar] [CrossRef] [PubMed] [Green Version]
- Daǧ, C.B.; Niedenzu, W.; Ozaydin, F.; Müstecaplıoǧlu, O.E.; Kurizki, G. Temperature Control in Dissipative Cavities by Entangled Dimers. J. Phys. Chem. C 2019, 123, 4035. [Google Scholar] [CrossRef] [Green Version]
- Karimi, B.; Pekola, J.P. Correlated versus uncorrelated noise acting on a quantum refrigerator. Phys. Rev. B 2017, 96, 115408. [Google Scholar] [CrossRef] [Green Version]
- Manzano, G.; Giorgi, G.L.; Fazio, R.; Zambrini, R. Boosting the performance of small autonomous refrigerators via common environmental effects. New J. Phys. 2019, 21, 123026. [Google Scholar] [CrossRef]
- Wang, C.; Xu, D.; Liu, H.; Gao, X. Thermal rectification and heat amplification in a nonequilibrium V-type three-level system. Phys. Rev. E 2019, 99, 042102. [Google Scholar] [CrossRef] [Green Version]
- Man, Z.X.; Tavakoli, A.; Brask, J.B.; Xia, Y.J. Improving autonomous thermal entanglement generation using a common reservoir. Phys. Scr. 2019, 94, 075101. [Google Scholar] [CrossRef] [Green Version]
- Lorenzo, S.; Farace, A.; Ciccarello, F.; Palma, G.M.; Giovannetti, V. Heat flux and quantum correlations in dissipative cascaded systems. Phys. Rev. A 2015, 91, 022121. [Google Scholar] [CrossRef]
- Giovannetti, V.; Palma, G.M. Master Equations for Correlated Quantum Channels. Phys. Rev. Lett. 2012, 108, 040401. [Google Scholar] [CrossRef] [Green Version]
- Giovannetti, V.; Palma, G.M. Master equation for cascade quantum channels: A collisional approach. J. Phys. B 2012, 45, 154003. [Google Scholar] [CrossRef]
- Lorenzo, S.; McCloskey, R.; Ciccarello, F.; Paternostro, M.; Palma, G.M. Landauer’s Principle in Multipartite Open Quantum System Dynamics. Phys. Rev. Lett. 2015, 115, 120403. [Google Scholar] [CrossRef]
- Man, Z.X.; Xia, Y.J.; An, N.B. Heat fluxes in a two-qubit cascaded system due to coherences of a non-thermal bath. J. Phys. B 2020, 53, 205505. [Google Scholar] [CrossRef]
- Stockburger, J.T.; Motz, T. Thermodynamic deficiencies of some simple lindblad operators. Fortschr. Phys. 2016, 65, 1600067. [Google Scholar] [CrossRef] [Green Version]
- Kołodyński, J.; Brask, J.B.; Perarnau-Llobet, M.; Bylicka, B. Adding dynamical generators in quantum master equations. Phys. Rev. A 2018, 97, 062124. [Google Scholar] [CrossRef] [Green Version]
- Correa, L.A.; Palao, J.P.; Alonso, D. Internal dissipation and heat leaks in quantum thermodynamic cycles. Phys. Rev. E 2015, 92, 032136. [Google Scholar] [CrossRef] [Green Version]
- Hofer, P.P.; Perarnau-Llobet, M.; Miranda, L.D.M.; Haack, G.; Silva, R.; Brask, J.B.; Brunner, N. Markovian master equations for quantum thermal machines: Local versus global approach. New J. Phys. 2017, 19, 123037. [Google Scholar] [CrossRef]
- Mitchison, M.T.; Plenio, M.B. Non-additive dissipation in open quantum networks out of equilibrium. New J. Phys. 2018, 20, 033005. [Google Scholar] [CrossRef] [Green Version]
- Naseem, M.T.; Xuereb, A.; Müstecaplıoğlu, O.E. Thermodynamic consistency of the optomechanical master equation. Phys. Rev. A 2018, 98, 052123. [Google Scholar] [CrossRef] [Green Version]
- Purkayastha, A.; Dhar, A.; Kulkarni, M. Out-of-equilibrium open quantum systems: A comparison of approximate quantum master equation approaches with exact results. Phys. Rev. A 2016, 93, 062114. [Google Scholar] [CrossRef] [Green Version]
- Wichterich, H.; Henrich, M.J.; Breuer, H.P.; Gemmer, J.; Michel, M. Modeling heat transport through completely positive maps. Phys. Rev. E 2007, 76, 031115. [Google Scholar] [CrossRef] [Green Version]
- Cattaneo, M.; Giorgi, G.L.; Maniscalco, S.; Zambrini, R. Local versus global master equation with common and separate baths: Superiority of the global approach in partial secular approximation. New J. Phys. 2019, 21, 113045. [Google Scholar] [CrossRef]
- Scali, S.; Anders, J.; Correa, L.A. Local master equations bypass the secular approximation. arXiv 2009, arXiv:2009.11324. [Google Scholar] [CrossRef]
- Hewgill, A.; De Chiara, G.; Imparato, A. Quantum thermodynamically consistent local master equations. Phys. Rev. Res. 2021, 3, 013165. [Google Scholar] [CrossRef]
- Levy, A.; Kosloff, R. The local approach to quantum transport may violate the second law of thermodynamics. EPL (Europhys. Lett.) 2014, 107, 20004. [Google Scholar] [CrossRef] [Green Version]
- Rau, J. Relaxation Phenomena in Spin and Harmonic Oscillator Systems. Phys. Rev. 1963, 129, 1880. [Google Scholar] [CrossRef]
- Cattaneo, M.; De Chiara, G.; Maniscalco, S.; Zambrini, R.; Giorgi, G.L. Collision Models Can Efficiently Simulate Any Multipartite Markovian Quantum Dynamics. Phys. Rev. Lett. 2021, 126, 130403. [Google Scholar] [CrossRef]
- Scarani, V.; Ziman, M.; Stelmachovic, P.; Gisin, N.; Bužek, V. Thermalizing Quantum Machines: Dissipation and Entanglement. Phys. Rev. Lett. 2002, 88, 097905. [Google Scholar] [CrossRef] [PubMed] [Green Version]
- Ziman, M.; Stelmachovic, P.; Bužek, V.; Hillery, M.; Scarani, V.; Gisin, N. Diluting quantum information: An analysis of information transfer in system-reservoir interactions. Phys. Rev. A 2002, 65, 042105. [Google Scholar] [CrossRef] [Green Version]
- Ziman, M.; Bužek, V. All (qubit) decoherences: Complete characterization and physical implementation. Phys. Rev. A 2005, 72, 022110. [Google Scholar] [CrossRef] [Green Version]
- Benenti, G.; Palma, G.M. Reversible and irreversible dynamics of a qubit interacting with a small environment. Phys. Rev. A 2007, 75, 052110. [Google Scholar] [CrossRef] [Green Version]
- Gennaro, G.; Benenti, G.; Palma, G.M. Relaxation due to random collisions with a many-qudit environment. Phys. Rev. A 2009, 79, 022105. [Google Scholar] [CrossRef] [Green Version]
- Campbell, S.; Vacchini, B. Collision models in open system dynamics: A versatile tool for deeper insights? EPL 2021, 133, 60001. [Google Scholar] [CrossRef]
- Ciccarello, F.; Lorenzo, S.; Giovannetti, V.; Palma, G.M. Quantum collision models: Open system dynamics from repeated interactions. Phys. Rep. 2022, 954, 1–70. [Google Scholar] [CrossRef]
- Ciccarello, F.; Palma, G.M.; Giovannetti, V. Collision-model-based approach to non-Markovian quantum dynamics. Phys. Rev. A 2013, 87, 040103. [Google Scholar] [CrossRef]
- Kretschmer, S.; Luoma, K.; Strunz, W.T. Collision model for non-Markovian quantum dynamics. Phys. Rev. A 2016, 94, 012106. [Google Scholar] [CrossRef] [Green Version]
- Lorenzo, S.; Ciccarello, F.; Palma, G.M. Class of exact memory-kernel master equations. Phys. Rev. A 2016, 93, 052111. [Google Scholar] [CrossRef] [Green Version]
- Bernardes, N.K.; Carvalho, A.R.R.; Monken, C.H.; Santos, M.F. Coarse graining a non-Markovian collisional model. Phys. Rev. A 2017, 95, 032117. [Google Scholar] [CrossRef] [Green Version]
- Çakmak, B.; Pezzutto, M.; Paternostro, M.; Müstecaplioğlu, O.E. Non-Markovianity, coherence, and system-environment correlations in a long-range collision model. Phys. Rev. A 2017, 96, 022109. [Google Scholar] [CrossRef] [Green Version]
- Lorenzo, S.; Ciccarello, F.; Palma, G.M. Composite quantum collision models. Phys. Rev. A 2017, 96, 032107. [Google Scholar] [CrossRef] [Green Version]
- Filippov, S.N.; Piilo, J.; Maniscalco, S.; Ziman, M. Divisibility of quantum dynamical maps and collision models. Phys. Rev. A 2017, 96, 032111. [Google Scholar] [CrossRef] [Green Version]
- Mccloskey, R.; Paternostro, M. Non-Markovianity and system-environment correlations in a microscopic collision model. Phys. Rev. A 2014, 89, 052120. [Google Scholar] [CrossRef] [Green Version]
- Bernardes, N.K.; Carvalho, A.R.R.; Monken, C.H.; Santos, M.F. Environmental correlations and Markovian to non-Markovian transitions in collisional models. Phys. Rev. A 2014, 90, 032111. [Google Scholar] [CrossRef] [Green Version]
- Jin, J.; Yu, C.S. Non-Markovianity in the collision model with environmental block. New J. Phys. 2018, 20, 053026. [Google Scholar] [CrossRef]
- Man, Z.X.; Xia, Y.J.; Lo Franco, R. Temperature effects on quantum non-Markovianity via collision models. Phys. Rev. A 2018, 97, 062104. [Google Scholar] [CrossRef] [Green Version]
- Barra, F. The thermodynamic cost of driving quantum systems by their boundaries. Sci. Rep. 2015, 5, 14873. [Google Scholar] [CrossRef] [Green Version]
- Chiara, G.D.; Landi, G.; Hewgill, A.; Reid, B.; Ferraro, A.; Roncaglia, A.J.; Antezza, M. Reconciliation of quantum local master equations with thermodynamics. New J. Phys. 2018, 20, 113024. [Google Scholar] [CrossRef]
- Karevski, D.; Platini, T. Quantum Nonequilibrium Steady States Induced by Repeated Interactions. Phys. Rev. Lett. 2009, 102, 207207. [Google Scholar] [CrossRef] [Green Version]
- Barra, F.; Lledó, C. Stochastic thermodynamics of quantum maps with and without equilibrium. Phys. Rev. E 2017, 96, 052114. [Google Scholar] [CrossRef] [Green Version]
- Cusumano, S.; Cavina, V.; Keck, M.; De Pasquale, A.; Giovannetti, V. Entropy production and asymptotic factorization via thermalization: A collisional model approach. Phys. Rev. A 2018, 98, 032119. [Google Scholar] [CrossRef] [Green Version]
- Seah, S.; Nimmrichter, S.; Scarani, V. Nonequilibrium dynamics with finite-time repeated interactions. Phys. Rev. E 2019, 99, 042103. [Google Scholar] [CrossRef] [Green Version]
- Arısoy, O.; Campbell, S.; Müstecaplıoǧlu, O.E. Thermalization of Finite Many-Body Systems by a Collision Model. Entropy 2019, 21, 1182. [Google Scholar] [CrossRef] [Green Version]
- Landi, G.T.; Novais, E.; de Oliveira, M.J.; Karevski, D. Flux rectification in the quantum XXZ chain. Phys. Rev. E 2014, 90, 042142. [Google Scholar] [CrossRef] [Green Version]
- Seah, S.; Nimmrichter, S.; Grimmer, D.; Santos, J.P.; Scarani, V.; Landi, G.T. Collisional Quantum Thermometry. Phys. Rev. Lett. 2019, 123, 180602. [Google Scholar] [CrossRef] [Green Version]
- Barra, F. Dissipative Charging of a Quantum Battery. Phys. Rev. Lett. 2019, 122, 210601. [Google Scholar] [CrossRef] [Green Version]
- Daǧ, C.B.; Niedenzu, W.; Müstecaplıoǧlu, O.E.; Kurizki, G. Multiatom Quantum Coherences in Micromasers as Fuel for Thermal and Nonthermal Machines. Entropy 2016, 18, 244. [Google Scholar] [CrossRef] [Green Version]
- Hewgill, A.; González, J.O.; Palao, J.P.; Alonso, D.; Ferraro, A.; De Chiara, G. Three-qubit refrigerator with two-body interactions. Phys. Rev. E 2020, 101, 012109. [Google Scholar] [CrossRef] [PubMed] [Green Version]
- De Chiara, G.; Antezza, M. Quantum machines powered by correlated baths. Phys. Rev. Res. 2020, 2, 033315. [Google Scholar] [CrossRef]
- Pezzutto, M.; Paternostro, M.; Omar, Y. Implications of non-Markovian quantum dynamics for the Landauer bound. New J. Phys. 2016, 18, 123018. [Google Scholar] [CrossRef]
- Man, Z.X.; Xia, Y.J.; Lo Franco, R. Validity of the Landauer principle and quantum memory effects via collisional models. Phys. Rev. A 2019, 99, 042106. [Google Scholar] [CrossRef] [Green Version]
- Zhang, Q.; Man, Z.X.; Xia, Y.J. Non-Markovianity and the Landauer principle in composite thermal environments. Phys. Rev. A 2021, 103, 032201. [Google Scholar] [CrossRef]
- Pezzutto, M.; Paternostro, M.; Omar, Y. An out-of-equilibrium non-Markovian quantum heat engine. Quantum Sci. Technol. 2019, 4, 025002. [Google Scholar] [CrossRef] [Green Version]
- Abah, O.; Paternostro, M. Implications of non-Markovian dynamics on information-driven engine. J. Phys. Commun. 2020, 4, 085016. [Google Scholar] [CrossRef]
- Baumgratz, T.; Cramer, M.; Plenio, M.B. Quantifying Coherence. Phys. Rev. Lett. 2014, 113, 140401. [Google Scholar] [CrossRef] [Green Version]
- Allahverdyan, A.E.; Balian, R.; Nieuwenhuizen, T.M. Maximal work extraction from finite quantum systems. EPL (Europhys. Lett.) 2004, 67, 565. [Google Scholar] [CrossRef] [Green Version]
Publisher’s Note: MDPI stays neutral with regard to jurisdictional claims in published maps and institutional affiliations. |
© 2022 by the authors. Licensee MDPI, Basel, Switzerland. This article is an open access article distributed under the terms and conditions of the Creative Commons Attribution (CC BY) license (https://creativecommons.org/licenses/by/4.0/).



