Investigation of Gas-Water-Sand Fluid Resistivity Property as Potential Application for Marine Gas Hydrate Production
Abstract
:1. Introduction
2. Experimental Section
2.1. Measurement Principle of the Combined Resistivity Method
2.2. Materials
2.3. Experimental Apparatus
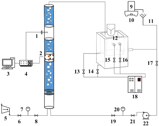
2.3.1. Multiphase Flow Loop Setup
2.3.2. Measurement Setup for Static Mixture
2.4. Experimental Procedures and Methods
2.4.1. Loop Experiment Measurement
2.4.2. Static Experiment Measurement
2.4.3. Data Processing Method
- (1)
- Calculation method of relative resistivity
- (2)
- Calibration method of phase fraction
- (3)
- Method for calculating phase fraction by resistivity
3. Results and Discussion
3.1. Optimal Design of Experimental Device
3.1.1. Selection of Excitation Frequency
3.1.2. Effect of the Pipelines Wall Material
3.1.3. Effect of the Electrode Shape
3.1.4. Axial Sensitive Field Range of the Opposite-Wall Electrodes
3.2. Resistivity Properties of Multiphase Fluid
3.2.1. Resistivity Properties of Gas-Water Fluid
- (1)
- Effect of gas phase fraction on resistivity properties
- (2)
- Effect of gas distribution on resistivity properties
3.2.2. Resistivity Properties of Water-Sand Fluid
- (1)
- Effect of Sand Phase Fraction on Resistivity Properties
- (2)
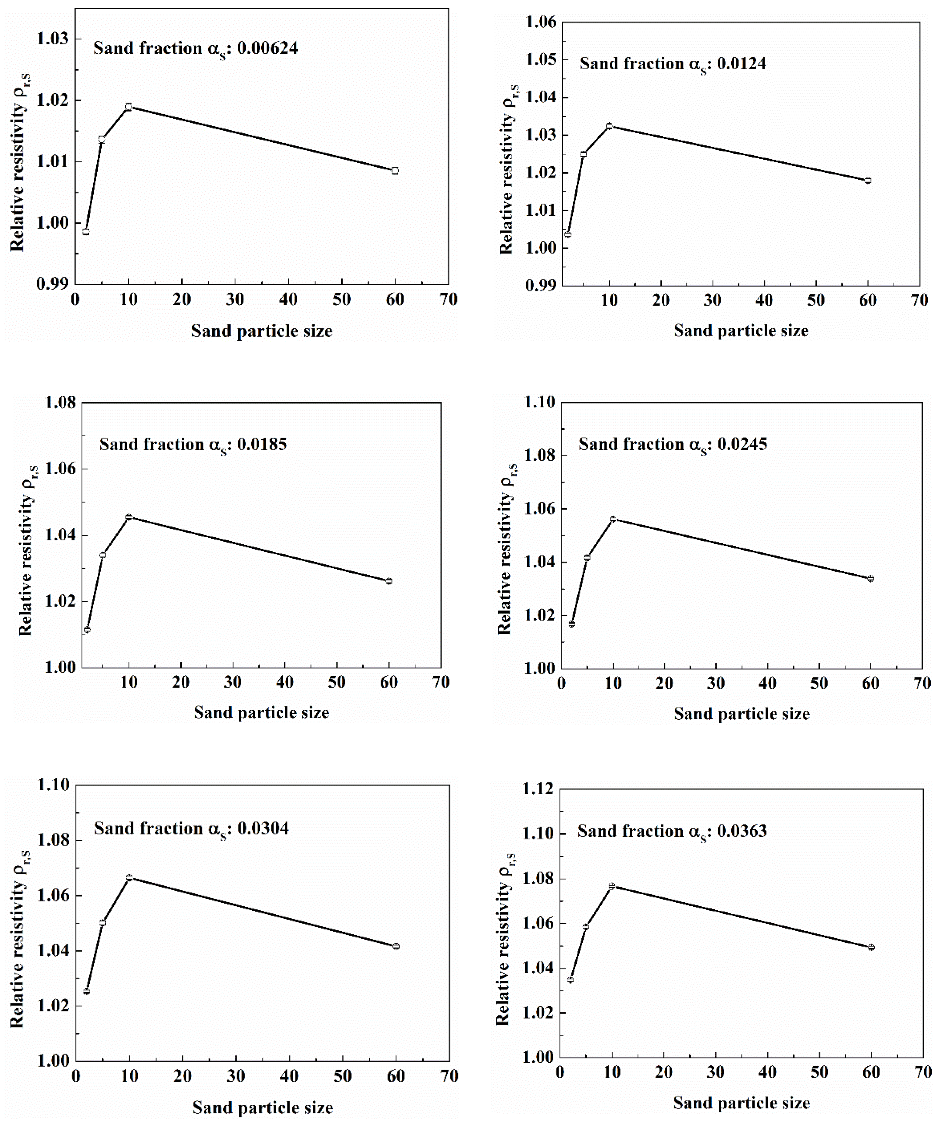
- Effect of Sand Particle Size on Resistivity Properties
3.2.3. Resistivity Properties of Gas-Water-Sand Fluid
3.3. Combined Resistivity Method
3.3.1. Measurement Effect of the Opposite-Wall Electrodes
3.3.2. Measurement Effect of the Side-Wall Electrode
3.3.3. Measurement Effect of the Micro Electrode
4. Conclusions
- (1)
- The relative resistivity of the gas containing fluid increases linearly with the increase of gas phase fraction in both gas-water and gas-water-sand fluid. And it is independent on the salinity, but decreases with the non-uniform spatial distribution and large bubble size of gas phase. For the gas supply of bubble stone, when the gas phase fraction is lower than 20%, the relationship between relative resistivity and gas phase fraction meets the following requirements: .The presence of sand particles doesn’t have obvious effect on the relationship between relative resistivity and gas phase fraction in gas-water-sand fluid. For the water-sand fluid, the relative resistivity increases linearly with the increase of sand phase fraction, and is affected by sand particle diameter. For water-sand fluid containing 60 μm quartz sand, when sand phase fraction is lower than 7%, the relationship between relative resistivity and sand phase fraction meets the following requirements: .
- (2)
- The electrical resistivity of the pipe wall material has a great influence on the electrical measurement. The inner wall of the measurement pipe section should be insulated to avoid wall leakage. The electrode shape doesn’t affect the relative resistivity measurement. The sensitive field of the opposite-wall electrodes with 4 mm diameter is concentrated on a flat cross-section with little axial extension in gas-water-sand fluid. The optimized excitation frequency is about 10 kHz.
- (3)
- The combined resistivity method employs three kinds of electrodes and an in-line gas-water separator, can effectively measure the sand fraction of the gas-water-sand fluids by a micro electrode and a side-wall electrode. The gas fraction could be measured accurately by using multiple pairs of opposite-wall electrodes to resolve the effect of gas non-uniform distribution. It will have a good application potential in marine natural gas hydrates exploitation.
Author Contributions
Funding
Conflicts of Interest
References
- Sloan, E.D., Jr.; Koh, C.A. Clathrate Hydrates of Natural Gases, 3rd ed.; CRC Press: Boca Raton, FL, USA, 2008. [Google Scholar]
- Chong, Z.R.; Yang, S.H.B.; Babu, P.; Linga, P.; Li, X.-S. Review of natural gas hydrates as an energy resource: Prospects and challenges. Appl. Energy 2016, 162, 1633–1652. [Google Scholar] [CrossRef]
- Kou, X.; Wang, Y.; Li, X.-S.; Zhang, Y.; Chen, Z.-Y. Influence of heat conduction and heat convection on hydrate dissociation by depressurization in a pilot-scale hydrate simulator. Appl. Energy 2019, 251, 113405. [Google Scholar] [CrossRef]
- Wang, X.; Dong, B.; Chen, C.; Li, W.; Song, Y. Pore-scale investigation on the influences of mass-transfer-limitation on methane hydrate dissociation using depressurization. Int. J. Heat Mass Transf. 2019, 144, 118656. [Google Scholar] [CrossRef]
- Cranganu, C. In-situ thermal stimulation of gas hydrates. J. Pet. Sci. Eng. 2009, 65, 76–80. [Google Scholar] [CrossRef]
- Kou, X.; Li, X.-S.; Wang, Y.; Zhang, Y.; Chen, Z.-Y. Distribution and reformation characteristics of gas hydrate during hydrate dissociation by thermal stimulation and depressurization methods. Appl. Energy 2020, 277, 115575. [Google Scholar] [CrossRef]
- Wang, Y.; Feng, J.-C.; Li, X.-S. Pilot-scale experimental test on gas production from methane hydrate decomposition using depressurization assisted with heat stimulation below quadruple point. Int. J. Heat Mass Transf. 2018, 131, 965–972. [Google Scholar] [CrossRef]
- Yang, M.; Zhao, J.; Zheng, J.-N.; Song, Y. Hydrate reformation characteristics in natural gas hydrate dissociation process: A review. Appl. Energy 2019, 256, 113878. [Google Scholar] [CrossRef]
- Li, B.; Xu, T.; Zhang, G.; Guo, W.; Liu, H.; Wang, Q.; Qu, L.; Sun, Y. An experimental study on gas production from fracture-filled hydrate by CO2 and CO2/N2 replacement. Energy Convers. Manag. 2018, 165, 738–747. [Google Scholar] [CrossRef]
- Xu, C.-G.; Cai, J.; Yu, Y.-S.; Yan, K.-F.; Li, X. Effect of pressure on methane recovery from natural gas hydrates by methane-carbon dioxide replacement. Appl. Energy 2018, 217, 527–536. [Google Scholar] [CrossRef]
- Zhou, S.; Chen, W.; Li, Q. The green solid fluidization development principle of natural gas hydrate stored in shallow layers of deep water. China Offshore Oil Gas 2014, 26, 1–7. [Google Scholar]
- Castaldi, M.J.; Zhou, Y.; Yegulalp, T.M. Down-hole combustion method for gas production from methane hydrates. J. Pet. Sci. Eng. 2007, 56, 176–185. [Google Scholar] [CrossRef]
- Cheng, C.; Jiang, T.; Kuang, Z.; Yang, C. Characteristics of Gas Hydrate System and Its Enlightenment to Gas Hydrate Ex-ploration in China. Geol. Sci. Technol. Inf. 2019, 38, 30–40. [Google Scholar]
- Ning, F.; Fang, X.; Li, Y.; Dou, X.; Wang, L.; Liu, Z.; Luo, Q.; Sun, J.; Zhao, Y.; Zhang, Z.; et al. Research status and perspective on wellbore sand production from hydrate reservoirs. Geol. Sci. Technol. Inf. 2020, 39, 137–148. [Google Scholar]
- Xu, Y.; Guan, Z.; Xu, C.; Zhang, H.; Zhang, H. Risk evaluation methods of gas hydrate formation in the wellbore of deep-water drilling. Acta Pet. Sin. 2015, 36, 633–640. [Google Scholar]
- Wang, H.; Hao, K.; Xu, L.; Ren, S. The Detection the Phase Volume Fraction for Multi-Phase Flow. Chin. J. Sci. Instrum. 2004, 25, 336–339. [Google Scholar]
- Deng, J.; Wang, G.; Xie, C.; Zhou, S.; Zhong, L. Design and experimental study of natural gas hydrate multiphase flow detec-tion tool. Acta Sci. Nat. Univ. Sunyatseni 2021, 60, 23–31. [Google Scholar]
- Kesana, N.R.; Grubb, S.A.; McLaury, B.S.; Shirazi, S.A. Ultrasonic Measurement of Multiphase Flow Erosion Patterns in a Standard Elbow. J. Energy Resour. Technol. 2013, 135, 032905. [Google Scholar] [CrossRef]
- Meribout, M.; Shehzad, F.; Kharoua, N.; Khezzar, L. An ultrasonic-based multiphase flow composition meter. Measurement 2020, 161, 107806. [Google Scholar] [CrossRef]
- Yu, H.; Tan, C.; Dong, F. Measurement of Particle Concentration by Multifrequency Ultrasound Attenuation in Liquid–Solid Dispersion. IEEE Trans. Ultrason. Ferroelectr. Freq. Control 2021, 68, 843–853. [Google Scholar] [CrossRef]
- Braaten, N.; Johnsen, R.; Sirnes, G.; Solberg, T.; Søntvedt, T. A New Concept for Sand Monitoring: Sand Probe Based on the ER Technique. In Proceedings of the Offshore Technology Conference, Houston, TX, USA, 4–7 May 1992. [Google Scholar] [CrossRef]
- Braaten, N.A.; Blakset, T.J.; Morton, D. Experience from Topside and Subsea Use of the Erosion Based Sand Monitoring System. In Proceedings of the SPE Annual Technical Conference and Exhibition, Dallas, TX, USA, 22–25 October 1995. [Google Scholar]
- Sharaf, S.; Da Silva, M.; Hampel, U.; Zippe, C.; Beyer, M.; Azzopardi, B. Comparison between wire mesh sensor and gamma densitometry void measurements in two-phase flows. Meas. Sci. Technol. 2011, 22, 104019. [Google Scholar] [CrossRef]
- Dos Santos, E.N.; Schleicher, E.; Reinecke, S.; Hampel, U.; Da Silva, M.J. Quantitative cross-sectional measurement of solid concentration distribution in slurries using a wire-mesh sensor. Meas. Sci. Technol. 2015, 27, 015301. [Google Scholar] [CrossRef]
- Dos Santos, E.N.; Rodrigues, R.; Pipa, D.R.; Morales, R.E.M.; da Silva, M.J. Three-Dimensional Bubble Shape Estimation in Two-phase Gas-liquid Slug Flow. IEEE Sens. J. 2017, 18, 1122–1130. [Google Scholar] [CrossRef]
- Bowden, R.C.; Lessard, É.; Yang, S.-K. Void fraction measurements of bubbly flow in a horizontal 90° bend using wire mesh sensors. Int. J. Multiph. Flow 2018, 99, 30–47. [Google Scholar] [CrossRef]
- Hossain, S.; Abir, T.; Alam, M.S.; Volakis, J.L.; Islam, M.A. An Algorithm to Image Individual Phase Fractions of Multiphase Flows Using Electrical Capacitance Tomography. IEEE Sens. J. 2020, 20, 14924–14931. [Google Scholar] [CrossRef]
- Yao, J.; Takei, M. Application of Process Tomography to Multiphase Flow Measurement in Industrial and Biomedical Fields: A Review. IEEE Sens. J. 2017, 17, 8196–8205. [Google Scholar] [CrossRef]
- Jin, H.; Han, Y.; Yang, S.; He, G. Electrical resistance tomography coupled with differential pressure measurement to determine phase hold-ups in gas–liquid–solid outer loop bubble column. Flow Meas. Instrum. 2010, 21, 228–232. [Google Scholar] [CrossRef]
- Jin, H.; Yuhuan, H.; Suohe, Y. Gas-Liquid flow characterization in bubble columns with various gas-liquid using electrical resistance tomography. J. Phys. Conf. Ser. 2009, 147, 012032. [Google Scholar] [CrossRef]
- Razzak, S.; Barghi, S.; Zhu, J.-X.; Mi, Y. Phase holdup measurement in a gas–liquid–solid circulating fluidized bed (GLSCFB) riser using electrical resistance tomography and optical fibre probe. Chem. Eng. J. 2009, 147, 210–218. [Google Scholar] [CrossRef]
- Muñoz-Cobo, J.L.; Chiva, S.; Méndez, S.; Monrós, G.; Escrivá, A.; Cuadros, J.L. Development of Conductivity Sensors for Multi-Phase Flow Local Measurements at the Polytechnic University of Valencia (UPV) and University Jaume I of Castellon (UJI). Sensors 2017, 17, 1077. [Google Scholar] [CrossRef] [Green Version]
- Wang, W. Voidage Measurement of Gas-Oil Two-phase Flow. Chin. J. Chem. Eng. 2007, 15, 339–344. [Google Scholar] [CrossRef]
- Ceccio, S.L.; George, D.L. A Review of Electrical Impedance Techniques for the Measurement of Multiphase Flows. J. Fluids Eng. 1996, 118, 391–399. [Google Scholar] [CrossRef]
- Shi, X.; Tan, C.; Dong, F.; dos Santos, E.N.; da Silva, M.J. Conductance Sensors for Multiphase Flow Measurement: A Review. IEEE Sens. J. 2020, 21, 12913–12925. [Google Scholar] [CrossRef]
- Tsochatzidis, N.; Karapantsios, T.; Kostoglou, M.; Karabelas, A. A conductance probe for measuring liquid fraction in pipes and packed beds. Int. J. Multiph. Flow 1992, 18, 653–667. [Google Scholar] [CrossRef]
- Coney, M.W.E. The theory and application of conductance probes for the measurement of liquid film thickness in two-phase flow. J. Phys. E Sci. Instrum. 1973, 6, 903. [Google Scholar] [CrossRef]
- Merilo, M.; DeChene, R.L.; Cichowlas, W.M. Void Fraction Measurement with a Rotating Electric Field Conductance Gauge. J. Heat Transf. 1977, 99, 330–332. [Google Scholar] [CrossRef]
- Tournaire, A. Dependence of the instantaneous response of impedance probes on the local distribution of the void fraction in a pipe. Int. J. Multiph. Flow 1986, 12, 1019–1024. [Google Scholar] [CrossRef]
- Liu, M.; Wang, T.; Yu, W.; Wang, J. An electrical conductivity probe method for measuring the local solid holdup in a slurry system. Chem. Eng. J. 2007, 132, 37–46. [Google Scholar] [CrossRef]
- Qing, C.; Song, W.; Xu, J.; Xiao, R.; Dong, K.; Feng, Z. Study on the solid fraction measurement of TBAB clathrate hyrate slurry (CHS) using a conductance probe. Chin. J. Sci. Instrum. 2009, 30, 542–547. [Google Scholar]
- Wang, D.-Y.; Jin, N.-D.; Zhai, L.-S.; Ren, Y.-Y. A novel online technique for water conductivity detection of vertical upward oil–gas–water pipe flow using conductance method. Meas. Sci. Technol. 2018, 29, 105302. [Google Scholar] [CrossRef]
- Wang, D.; Jin, N.; Zhai, L.; Ren, Y. Measurement of Liquid Film Thickness Using Distributed Conductance Sensor in Multiphase Slug Flow. IEEE Trans. Ind. Electron. 2019, 67, 8841–8850. [Google Scholar] [CrossRef]
- Wang, D.; Jin, N.; Zhai, L.; Ren, Y. Salinity Independent Flow Measurement of Vertical Upward Gas-Liquid Flows in a Small Pipe Using Conductance Method. Sensors 2020, 20, 5263. [Google Scholar] [CrossRef] [PubMed]
- Wang, D.; Jin, N.; Zhai, L.; Ren, Y. Measurement of Gas Holdup in Oil-Gas-Water Flows Using Combined Conductance Sensors. IEEE Sens. J. 2021, 21, 12171–12178. [Google Scholar] [CrossRef]
- Maxwell, J.C. A Treatise on Electricity and Magnetism; Oxford University Press: Oxford, UK, 1873. [Google Scholar]

























| Method | Advantage | Disadvantage | Object | Result |
|---|---|---|---|---|
| Erosion method [21,22] | Can measure the solid phase fraction in non-conductive fluid | The sheet metal needs to be replaced frequently | Oil-sand fluid | Sand phase fraction |
| Wire mesh sensor method [23,24,25,26] | The imaging algorithm is simple | It interferes with the fluid and the wire mesh is easy to be worn and damaged | Gas-water fluid | Gas phase distribution |
| Electrical tomography method [27,28,29,30,31] | Without disturbing the fluid flow, the spatial distribution information of phase fraction can be obtained. | The imaging algorithm is complex, requires high computational cost, and the imaging accuracy is low. | Gas-water fluid | Gas phase distribution |
| Conductance probe method [32] | It can be combined to measure the spatial distribution of phase fraction | It interferes with the fluid and the measurement range is very small | Gas-water fluid | Local gas phase fraction |
| Capacitively coupled contactless conductivity detection method [33] | The electrode is not in direct contact with the fluid, so it will not be corroded | Complete insulation of pipe wall material is required | Gas-water fluid | Gas phase fraction |
| Contacting electrical method [36] | The structure is simple and can be combined freely | The electrode is easily corroded | Gas-water fluid | Gas phase fraction |
Publisher’s Note: MDPI stays neutral with regard to jurisdictional claims in published maps and institutional affiliations. |
© 2022 by the authors. Licensee MDPI, Basel, Switzerland. This article is an open access article distributed under the terms and conditions of the Creative Commons Attribution (CC BY) license (https://creativecommons.org/licenses/by/4.0/).
Share and Cite
Zhang, Z.; Li, X.; Chen, Z.; Zhang, Y.; Peng, H. Investigation of Gas-Water-Sand Fluid Resistivity Property as Potential Application for Marine Gas Hydrate Production. Entropy 2022, 24, 624. https://doi.org/10.3390/e24050624
Zhang Z, Li X, Chen Z, Zhang Y, Peng H. Investigation of Gas-Water-Sand Fluid Resistivity Property as Potential Application for Marine Gas Hydrate Production. Entropy. 2022; 24(5):624. https://doi.org/10.3390/e24050624
Chicago/Turabian StyleZhang, Zhiwen, Xiaosen Li, Zhaoyang Chen, Yu Zhang, and Hao Peng. 2022. "Investigation of Gas-Water-Sand Fluid Resistivity Property as Potential Application for Marine Gas Hydrate Production" Entropy 24, no. 5: 624. https://doi.org/10.3390/e24050624
APA StyleZhang, Z., Li, X., Chen, Z., Zhang, Y., & Peng, H. (2022). Investigation of Gas-Water-Sand Fluid Resistivity Property as Potential Application for Marine Gas Hydrate Production. Entropy, 24(5), 624. https://doi.org/10.3390/e24050624

