Heavy-Ion Collisions toward High-Density Nuclear Matter
Abstract
:- Prologue
1. Introduction
2. Results from RHIC and LHC
2.1. Initial Data from RHIC
2.2. High pT Suppression
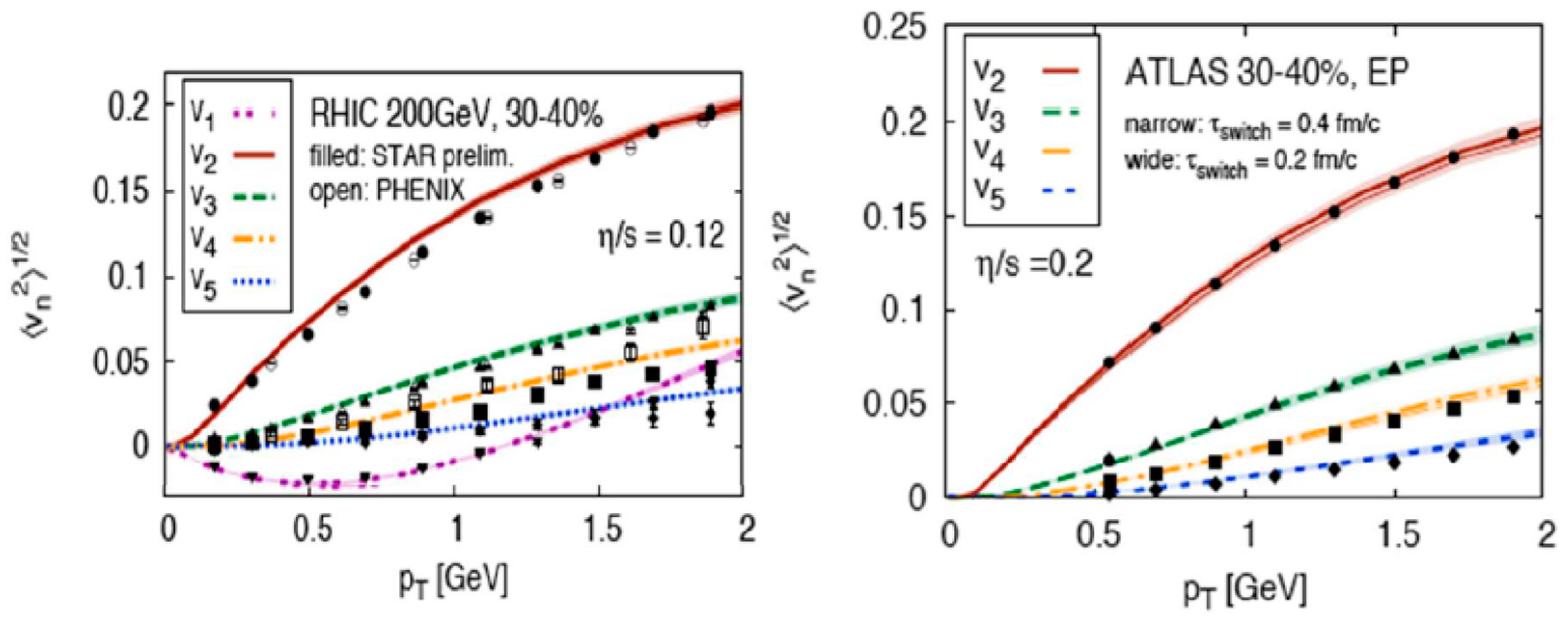
2.3. Quark Number Scaling and Perfect Fluidity of QGP
2.4. Debye Screening Effect (Melting of Quarkonium)
2.5. Chemical Freezeout and Hadronization
2.6. Summary at RHIC and LHC
3. Efforts toward High-Density Nuclear Matter
3.1. Can High-Density Nuclear Matter Be Formed?
3.2. Search for Critical Point by the STAR Beam Energy Scan
3.3. Bulk Properties (Chemical Equilibrium, Kinetic Equilibrium, Blast Wave Flow, and v2)
3.4. Strangeness Production and Formation of Hypernuclei
3.5. Crossover Transition vs. First-Order Phase Transition
4. New Accelerator Projects toward High-Density Matter
4.1. Current and Future Accelerator Projects in the World
4.2. NICA
4.3. FAIR
4.4. HIAF
4.5. J-PARC-HI
5. Final Remarks
Funding
Conflicts of Interest
References
- Nambu, Y.; Jona-Lasinio, G. A Dynamical Model of Elementary Particles based on an Analogy with Superconductivity I and II. Phys. Rev. 1961, 122, 345, Erratum in Phys. Rev. 1961, 124, 246. [Google Scholar] [CrossRef] [Green Version]
- Adcox, K.; Adler, S.S.; Ajitanand, N.N.; Akiba, Y.; Alexander, J.; Aphecetche, L.; Arai, Y.; Aronson, S.H.; Averbeck, R.; Awes, T.C.; et al. (PHENIX Collaboration), Suppression of Hadrons with Large Transverse Momentum in Central Au 1 Au Collisions at √sNN = 130 GeV. Phys. Rev. Lett. 2001, 88, 022301. [Google Scholar] [CrossRef] [PubMed] [Green Version]
- Ackermann, K.H.; Adams, N.; Adler, C.; Ahammed, Z.; Ahmad, S.; Allgower, C.; Amsbaugh, J.; Anderson, M.; Anderssen, E.; Arnesen, H.; et al. (STAR Collaboration), Elliptic Flow in Au + Au Collisions at √sNN = 130 GeV. Phys. Rev. Lett. 2001, 86, 402. [Google Scholar] [CrossRef] [PubMed] [Green Version]
- Wilczek, F. QCD made simple. Phys. Today 2000, 53, 22–28. [Google Scholar] [CrossRef]
- Adare, A.; Afanasiev, S.; Aidala, C.; Ajitanand, N.N.; Akiba, Y.; Al-Bataineh, H.; Alexander, J.; Al-Jamel, A.; Aoki, K.; Aphecetche, L.; et al. (PHENIX Collaboration), Enhanced production of direct photons in Au + Au collisions at √sNN = 200 GeV and implications for the initial temperature. Phys. Rev. Lett. 2010, 104, 132301. [Google Scholar] [CrossRef] [PubMed] [Green Version]
- Adare, A.; Afanasiev, S.; Aidala, C.; Ajitanand, N.N.; Akiba, Y.; Al-Bataineh, H.; Alexander, J.; Aoki, K.; Aramaki, Y.; Atomssa, E.T.; et al. (PHENIX Collaboration), Observation of Direct-Photon Collective Flow in Au + Au collisions at √sNN = 200 GeV. Phys. Rev. Lett. 2012, 109, 122302. [Google Scholar] [CrossRef] [Green Version]
- Burke, K.M.; Buzzatti, A.; Chang, N.-B.; Gale, C.; Gyulassy, M.; Heinz, U.W.; Jeon, S.; Majumder, A.; Müller, B.; Qin, G.-Y.; et al. (JET Collaboration), Extracting the jet transport coefficient from jet quenching in high-energy heavy-ion collisions. Phys. Rev. C 2014, 90, 014909. [Google Scholar] [CrossRef] [Green Version]
- Aad, G.; Abbott, B.; Abdallah, J.; Abdelalim, A.A.; Abdesselam, A.; Abdinov, O.; Abi, B.; Abolins, M.; Abramowicz, H.; Abreu, H.; et al. (ATLAS Collaboration), Observation of a Centrality-Dependent Dijet Asymmetry in Lead-Lead Collisions at √sNN = 2.76 TeV with the ATLAS Detector at the LHC. Phys. Rev. Lett. 2010, 105, 252303. [Google Scholar] [CrossRef] [Green Version]
- Chatrchyan, S.; Khachatryan, V.; Sirunyan, A.; Tumasyan, A.; Adam, W.; Bergauer, T.; Dragicevic, M.; Erö, J.; Fabjan, C.; Friedl, M.; et al. (CMS Collaboration), Jet momentum dependence of jet quenching in PbPb collisions at √sNN = 2.76 TeV. Phys. Lett. 2012, B712, 176–197. [Google Scholar] [CrossRef]
- Adams, J.; Adler, C.; Aggarwal, M.M.; Ahammed, Z.; Amonett, J.; Anderson, B.D.; Anderson, M.; Arkhipkin, D.; Averichev, G.S.; Badyal, S.K.; et al. (STAR Collaboration), Evidence from d + Au Measurements for Final-State Suppression of High-pT Hadrons in Au + Au Collisions at RHIC. Phys. Rev. Lett. 2003, 91, 072304. [Google Scholar] [CrossRef] [Green Version]
- Adler, S.S.; Afanasiev, S.; Aidala, C.; Ajitanand, N.N.; Akiba, Y.; Alexander, J.; Amirikas, R.; Aphecetche, L.; Aronson, S.H.; Averbeck, R.; et al. (PHENIX Collaboration), Elliptic Flow of Identified Hadrons in Au + Au Collisions at √sNN = 200 GeV. Phys. Rev. Lett. 2003, 91, 182301. [Google Scholar] [CrossRef] [PubMed] [Green Version]
- Adams, J.; Adler, C.; Aggarwal, M.M.; Ahammed, Z.; Amonett, J.; Anderson, B.D.; Anderson, M.; Arkhipkin, D.; Averichev, G.S.; Badyal, S.K.; et al. (STAR Collaboration), Particle-Type Dependence of Azimuthal Anisotropy and Nuclear Modification of Particle Production in Au + Au Collisions at √sNN = 200 GeV. Phys. Rev. Lett. 2004, 92, 052302. [Google Scholar] [CrossRef] [PubMed] [Green Version]
- Gale, C.; Jeon, S.; Schenke, B.; Tribedy, P.; Venugopalan, R. Event-by-Event Anisotropic Flow in Heavy-ion Collisions from Combined Yang-Mills and Viscous Fluid Dynamics. Phys. Rev. Lett. 2013, 110, 012302. [Google Scholar] [CrossRef] [PubMed] [Green Version]
- Bernhard, J.J.; Morel, S.; Bass, S.A. Bayesian estimation of the specific shear and bulk viscosity of quark–gluon plasma. Nat. Phys. 2019, 15, 1113–1117. [Google Scholar] [CrossRef]
- Matsui, T.; Satz, H. J/ψ suppression by quark-gluon plasma formation. Phys. Lett. 1986, B178, 416. [Google Scholar] [CrossRef]
- CMS Collaboration; Chatrchyan, S.; Khachatryan, V.; Sirunyan, A.M.; Tumasyan, A.; Amsler, C.; Chiochia, V.; De Visscher, S.; Favaro, C.; Rikova, M.I.; et al. Observation of Sequential Upsilon Suppression in PbPb Collisions. Phys. Rev. Lett. 2012, 109, 222301, Erratum in Phys. Rev. Lett. 2018, 120, 199903. [Google Scholar] [CrossRef] [Green Version]
- Faccioli, P.; Lourenço, C. The fate of quarkonia in heavy-ion collisions at LHC energies: A unified description of the sequential suppression patterns. Eur. Phys. J. C 2018, 78, 731. [Google Scholar] [CrossRef] [Green Version]
- Niida, T.; Miake, Y. Signatures of QGP at RHIC and LHC. AAPPS Bull. 2021, 31, 12. [Google Scholar] [CrossRef]
- Andronic, A.; Braun-Munzinger, P.; Redlich, K.; Stachel, J. Decoding the phase structure of QCD via particle production at high energy. Nature 2018, 561, 321–330. [Google Scholar] [CrossRef] [Green Version]
- HotQCD Collaboration. The equation of state in (2 + 1)-flavor QCD. Phys. Rev. D 2014, 90, 094503. [Google Scholar] [CrossRef] [Green Version]
- Hot QCD Collaboration. The QCD crossover at zero and non-zero baryon densities from Lattice QCD. Nucl. Phys. A 2019, 982, 847–850. [Google Scholar] [CrossRef]
- Bearden, I.G.; Beavis, D.; Besliu, C.; Budick, B.; Bøggild, H.; Chasman, C.; Christensen, C.H.; Christiansen, P.; Cibor, J.; Debbe, R.; et al. (BRAHMS Collaboration), Nuclear Stopping in Au + Au Collisions at √sNN = 200 GeV. Phys. Rev. Lett. 2004, 93, 102301. [Google Scholar] [CrossRef] [PubMed] [Green Version]
- Landau, L.D. On the multiple production of particles in high energy collisions. Izv. Akad. Nauk. SSSR Ser. Fiz. 1953, 17, 51. [Google Scholar]
- Weisskopf, V.F. The Visual Appearance of Rapidly Moving Objects. Phys. Today 1960, 13, 24–27. [Google Scholar] [CrossRef] [Green Version]
- Goldhaber, A.S. Large baryon densities attainable in high energy nuclear collisions. Nature 1978, 275, 114–115. [Google Scholar] [CrossRef] [Green Version]
- Onishi, A. Approaches to QCD phase diagram; effective models, strong-coupling lattice QCD, and compact stars. J. Phys. Conf. Ser. 2016, 668, 012004. [Google Scholar] [CrossRef]
- Gerstung, D.; Kaiser, N.; Weise, W. Hyperon–nucleon three-body forces and strangeness in neutron stars. Eur. Phys. J. A 2020, 56, 175. [Google Scholar] [CrossRef]
- Annala, E.; Gorda, T.; Kurkela, A.; Nättilä, J.; Vuorinen, A. Evidence for quark-matter cores in massive neutron stars. Nature Physics 2020, 16, 907–910. [Google Scholar] [CrossRef]
- Masuda, K.; Hatsuda, T.; Takatsuka, T. Hadron-quark crossover and hot neutron stars at birth. Prog. Theor. Exp. 2016, 2016, 021D01. [Google Scholar] [CrossRef] [Green Version]
- Baym, G.; Hatsuda, T.; Kojo, T.; Powell, P.D.; Song, Y.; Takatsuka, T. From hadrons to quarks in neutron stars: A review. Rep. Prog. Phys. 2018, 81, 056902–056960. [Google Scholar] [CrossRef] [Green Version]
- Xu, N.; Fukushima, K.; Mohanty, B. The little bang and the femto-nova in nucleus-nucleus collisions. AAPPS Bull. 2021, 31, 1. [Google Scholar] [CrossRef]
- Asakawa, M.; Yazaki, K. Chiral restoration at finite density and temperature. Nucl. Phys. A 1989, 504, 668–684. [Google Scholar]
- Fukushima, K.; Hatsuda, T. The phase diagram of dense QCD. Rep. Prog. Phys. 2011, 74, 014001–014028. [Google Scholar] [CrossRef] [Green Version]
- Adam, J.; Adamczyk, L.; Adams, J.R.; Adkins, J.K.; Agakishiev, G.; Aggarwal, M.M.; Ahammed, Z.; Alekseev, I.; Anderson, D.M.; Aparin, A.; et al. (STAR Collaboration), Nonmonotonic Energy Dependence of Net-Proton Number Fluctuations. Phys. Rev. Lett. 2021, 126, 092301. [Google Scholar] [CrossRef] [PubMed]
- Siemens, P.J.; Rasmussen, J.O. Evidence for a Blast Wave from Compressed Nuclear Matter. Phys. Rev. Lett. 1979, 42, 880. [Google Scholar] [CrossRef]
- Nagamiya, S.; Lemaire, M.-C.; Schnetzer, S.; Steiner, H.; Tanihata, I. Single-Particle Spectra Associated with High-Multiplicity Events in 800-Mev/Nucleon Ar on KC1 and Pb. Phys. Rev. Lett. 1980, 45, 603. [Google Scholar] [CrossRef]
- Adamczyk, L.; Adkins, J.K.; Agakishiev, G.; Aggarwal, M.M.; Ahammed, Z.; Ajitanand, N.N.; Alekseev, I.; Anderson, D.M.; Aoyama, R.; Aparin, A.; et al. (STAR Collaboration), Bulk properties of the medium produced in relativistic heavy-ion collisions from the beam energy scan program. Phys. Rev. C 2017, 96, 044904. [Google Scholar] [CrossRef] [Green Version]
- Abdallah, M.S.; Adam, J.; Adamczyk, L.; Adams, J.R.; Adkins, J.K.; Agakishiev, G.; Aggarwal, I.; Aggarwal, M.M.; Ahammed, Z.; Alekseev, I.; et al. (STAR Collaboration), Flow and interferometry results from Au + Au collisions at √sNN = 4.5 GeV. Phys. Rev. C 2021, 103, 034908. [Google Scholar] [CrossRef]
- Abbott, T.; Akiba, Y.; Alburger, D.; Beavis, D.; Betts, R.R.; Birstein, L.; Bloomer, M.A.; Bond, P.D.; Chasman, C.; Chu, Y.Y.; et al. Kaon and pion production in central Si + Au collisions at 14.6A GeV/c. Phys. Rev. Lett. 1990, 64, 847. [Google Scholar] [CrossRef]
- Randrup, J.; Cleymans, J. Maximum freezeout baryon density in nuclear collisions. Phys. Rev. C 2006, 74, 047901. [Google Scholar] [CrossRef] [Green Version]
- Cleymans, J.; Oeschler, H.; Redlich, K.; Wheaton, S. Transition from baryonic to mesonic freezeout. Phys. Lett. B 2005, 615, 50. [Google Scholar] [CrossRef]
- Gazdzicki, M.; Gorenstein, M.I. On the Early Stage of Nucleus-Nucleus Collisions. Acta Phys. Polon. B 1999, 30, 2705. [Google Scholar]
- Andronic, A.; Braun-Munzinger, P.; Stachel, J.; Stocker, H. Production of light nuclei, hypernuclei and their antiparticles in relativistic nuclear collisions. Phys. Lett. B 2011, 697, 203–207. [Google Scholar] [CrossRef] [Green Version]
- Borderie, B.; Frankland, J.D. Liquid–Gas phase transition in nuclei. Prog. Part. Nucl. Phys. 2019, 105, 82–138. [Google Scholar] [CrossRef] [Green Version]
- Hatsuda, T.; Tachibana, M.; Yamamoto, N.; Baym, G. New Critical Point Induced By the Axial Anomaly in Dense QCD. Phys. Rev. Lett. 2006, 97, 122001. [Google Scholar] [CrossRef] [Green Version]
- Masuda, K.; Hatsuda, T.; Takatsuka, T. Hyperon puzzle, hadron-quark crossover and massive neutron stars. Eur. Phys. J. A 2016, 52, 65. [Google Scholar] [CrossRef] [Green Version]
- Galatyuk, T. Future Facilities for high μB physics. Nucl. Phys. A 2019, 982, 163–169. [Google Scholar]
- Available online: https://nica.jinr.ru/complex.php (accessed on 15 October 2021).
- Chiba, J. PS-Collider, KEK Report. Natl. Lab. High Energy Phys. 1990, 4, 90. [Google Scholar]
- Available online: https://www.gsi.de/en/researchaccelerators/fair/the_machine (accessed on 15 October 2021).
- Available online: https://www.gsi.de/en/researchaccelerators/fair/research (accessed on 15 October 2021).
- Available online: http://hiaf.impcas.ac.cn/hiaf_en/public/p/ACCELERATOR%20COMPLEX (accessed on 15 October 2021).
- Available online: http://hiaf.impcas.ac.cn/hiaf_en/public/c/news.html (accessed on 15 October 2021).
- Sako, H. Studies of Dense Matter in Heavy-Ion Collisions at J-PARC. JPS Conf. Proc. 2020, 32, 010094. [Google Scholar]
- Gunji, T. Dielectron measurements in heavy-ion collisions at J-PARC with E16 upgrades. In Proceedings of the KEK/J-PARC PAC Proposal at the 32nd Meeting, Tsukuba, Japan, 15 April 2021. [Google Scholar]


























| (GeV2/fm) | η/s | TC | |
|---|---|---|---|
| RHIC 200 AGeV | 1.2 ± 0.3 | 0.12 | ~156 MeV |
| LHC 2.67 ATeV | 1.9 ± 0.7 | 0.2 |
Publisher’s Note: MDPI stays neutral with regard to jurisdictional claims in published maps and institutional affiliations. |
© 2022 by the author. Licensee MDPI, Basel, Switzerland. This article is an open access article distributed under the terms and conditions of the Creative Commons Attribution (CC BY) license (https://creativecommons.org/licenses/by/4.0/).
Share and Cite
Nagamiya, S. Heavy-Ion Collisions toward High-Density Nuclear Matter. Entropy 2022, 24, 482. https://doi.org/10.3390/e24040482
Nagamiya S. Heavy-Ion Collisions toward High-Density Nuclear Matter. Entropy. 2022; 24(4):482. https://doi.org/10.3390/e24040482
Chicago/Turabian StyleNagamiya, Shoji. 2022. "Heavy-Ion Collisions toward High-Density Nuclear Matter" Entropy 24, no. 4: 482. https://doi.org/10.3390/e24040482
APA StyleNagamiya, S. (2022). Heavy-Ion Collisions toward High-Density Nuclear Matter. Entropy, 24(4), 482. https://doi.org/10.3390/e24040482
