Coolant Wetting Simulation on Simplified Stator Coil Model by the Phase-Field Lattice Boltzmann Method
Abstract
1. Introduction
2. Numerical Schemes
2.1. Governing Equations
2.2. Phase-Field Lattice Boltzmann Method
3. Wetting Boundary Condition
4. Model Structure and Computational Conditions
5. Validation
6. Results and Discussion
6.1. Wetting on Single-Layer—Effect of the Rod Gap and Wettability
6.2. Fluid Infiltration into the Layered Structure
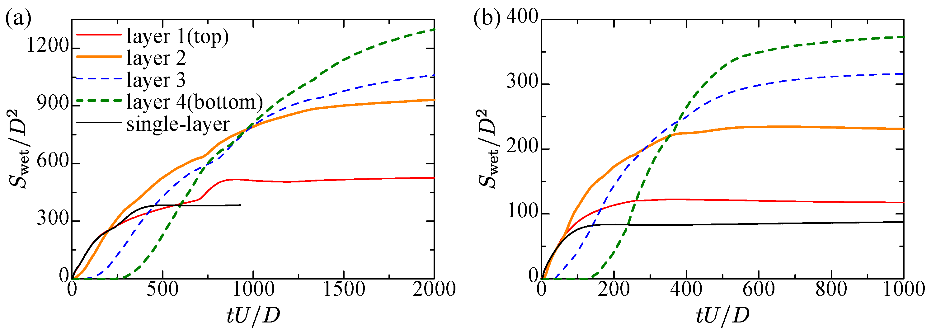
6.3. Transient Wetting Area of the Layered Structure
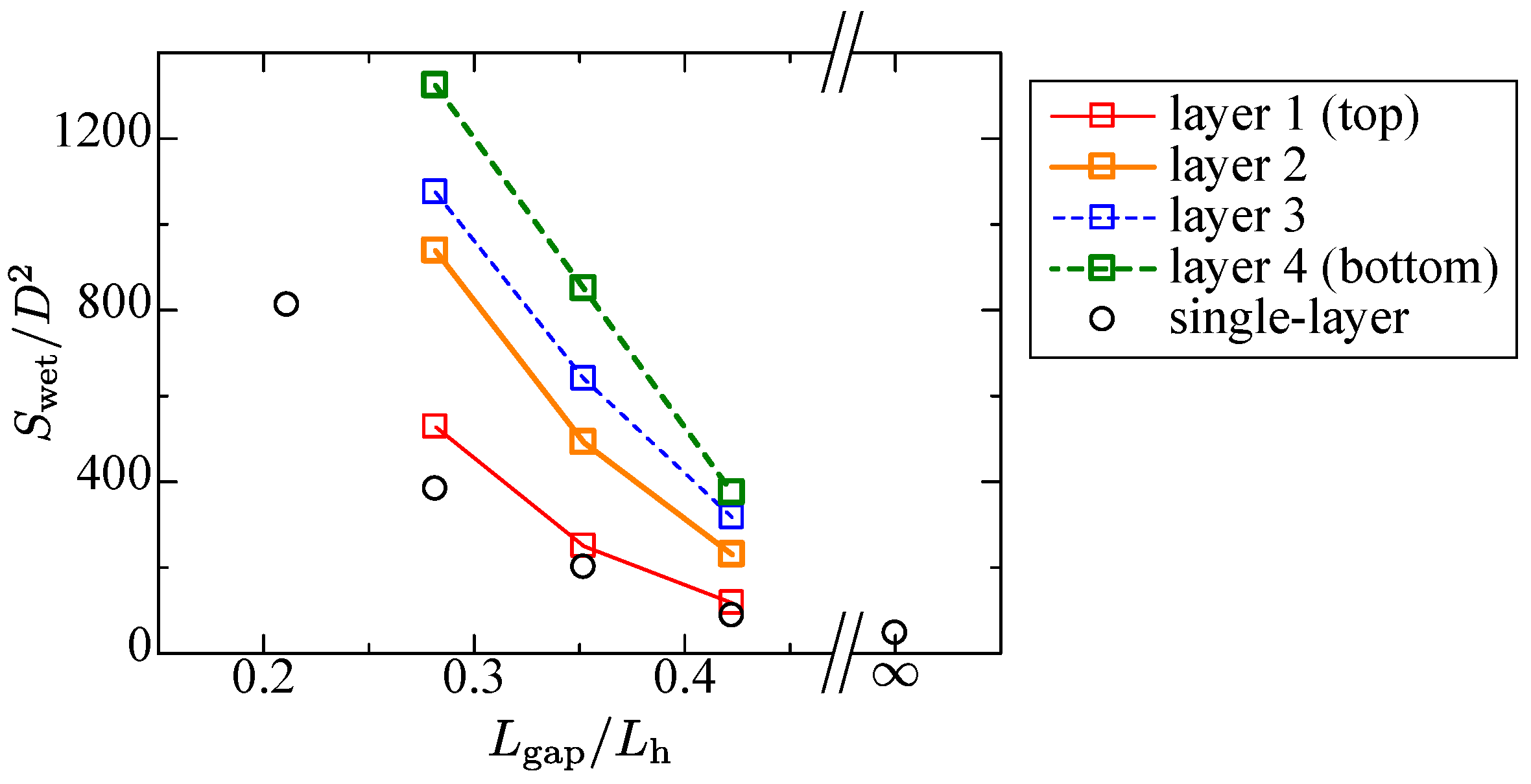
6.4. Steady-State Wetting Area in Layered Case
7. Conclusions
Author Contributions
Funding
Institutional Review Board Statement
Informed Consent Statement
Data Availability Statement
Acknowledgments
Conflicts of Interest
Abbreviations
| CBC | Cubic Boundary Condition | 
| LBE | Lattice Boltzmann Equation | 
| LBM | Lattice Boltzmann Method | 
| SRT | Single-Relaxation-Time | 
| WMRT | Weighted Multiple-Relaxation-Time | 
References
- Mi, C.; Slemon, G.; Bonert, R. Modeling of iron losses of permanent-magnet synchronous motors. IEEE Trans. Ind. Appl. 2003, 39, 734–742. [Google Scholar] [CrossRef]
 - Cezário, C.A.; Verardi, M.; Borges, S.S.; Silva, J.C.; Oliveira, A.A.M. Transient Thermal Analysis of an Induction Electric Motor. In Proceedings of the 18th International Congress of Mechanical Engineering, Ouro Preto, Brazil, 6–21 November 2005. [Google Scholar]
 - Cavazzuti, M.; Gaspari, G.; Pasquale, S.; Stalio, E. Thermal management of a Formula E electric motor: Analysis and optimization. Appl. Therm. Eng. 2019, 157, 113733. [Google Scholar] [CrossRef]
 - Fujita, H.; Itoh, A.; Urano, T. Newly Developed Motor Cooling Method Using Refrigerant. World Electr. Veh. J. 2019, 10, 38. [Google Scholar] [CrossRef]
 - Ha, T.; Kang, Y.; Kim, N.S.; Park, S.H.; Lee, S.H.; Kim, D.K.; Ryou, H.S. Cooling effect of oil cooling method on electric vehicle motors with hairpin winding. J. Mech. Sci. Technol. 2021, 35, 407–415. [Google Scholar] [CrossRef]
 - Martys, N.S.; Chen, H. Simulation of multicomponent fluids in complex three-dimensional geometries by the lattice Boltzmann method. Phys. Rev. E 1996, 53, 743–750. [Google Scholar] [CrossRef] [PubMed]
 - Gunstensen, A.K.; Rothman, D.H.; Zaleski, S.; Zanetti, G. Lattice Boltzmann model of immiscible fluids. Phys. Rev. A 1991, 43, 4320–4327. [Google Scholar] [CrossRef] [PubMed]
 - Shan, X.; Chen, H. Lattice Boltzmann model for simulating flows with multiple phases and components. Phys. Rev. E 1993, 47, 1815–1819. [Google Scholar] [CrossRef]
 - Swift, M.R.; Orlandini, E.; Osborn, W.R.; Yeomans, J.M. Lattice Boltzmann simulations of liquid-gas and binary fluid systems. Phys. Rev. E 1996, 54, 5041–5052. [Google Scholar] [CrossRef]
 - Zhang, A.; Guo, Z.p.; Xiong, S.m. Phase-field-lattice Boltzmann study for lamellar eutectic growth in a natural convection melt. China Foundry 2017, 14, 373–378. [Google Scholar] [CrossRef][Green Version]
 - Facci, A.L.; Lauricella, M.; Succi, S.; Villani, V.; Falcucci, G. Optimized Modeling and Design of a PCM-Enhanced H2 Storage. Energies 2021, 14, 1554. [Google Scholar] [CrossRef]
 - Sugimoto, M.; Kaneda, M.; Suga, K. Phase-field lattice Boltzmann simulation of minute droplet onto isotropic porous media. Trans. JSME 2020, 86, 20-00014. (In Japanese) [Google Scholar] [CrossRef][Green Version]
 - Liang, H.; Xu, J.; Chen, J.; Wang, H.; Chai, Z.; Shi, B. Phase-field-based lattice Boltzmann modeling of large-density-ratio two-phase flows. Phys. Rev. E 2018, 97, 033309. [Google Scholar] [CrossRef] [PubMed]
 - Jacqmin, D. Calculation of two-phase Navier-Stokes flows using phase-field modeling. J. Comput. Phys. 1999, 155, 96–127. [Google Scholar] [CrossRef]
 - Bhatnagar, P.L.; Gross, E.P.; Krook, M. A model for collision processes in gases. I. Small amplitude processes in charged and neutral one-component systems. Phys. Rev. 1954, 94, 511–525. [Google Scholar] [CrossRef]
 - Fakhari, A.; Bolster, D.; Luo, L.S. A weighted multiple-relaxation-time lattice Boltzmann method for multiphase flows and its application to partial coalescence cascades. J. Comput. Phys. 2017, 341, 22–43. [Google Scholar] [CrossRef]
 - Liang, H.; Shi, B.C.; Guo, Z.L.; Chai, Z.H. Phase-field-based multiple-relaxation-time lattice Boltzmann model for incompressible multiphase flows. Phys. Rev. E 2014, 89, 053320. [Google Scholar] [CrossRef] [PubMed]
 - Wang, H.; Yuan, X.; Liang, H.; Chai, Z.; Shi, B. A brief review of the phase-field-based lattice Boltzmann method for multiphase flows. Capillarity 2019, 2, 33–52. [Google Scholar] [CrossRef]
 - Suga, K.; Kuwata, Y.; Takashima, K.; Chikasue, R. A D3Q27 multiple-relaxation-time lattice Boltzmann method for turbulent flows. Comput. Math. Appl. 2015, 69, 518–529. [Google Scholar] [CrossRef]
 - Osher, S.; Sethian, J.A. Fronts propagating with curvature-dependent speed: Algorithms based on Hamilton-Jacobi formulations. J. Comput. Phys. 1988, 79, 12–49. [Google Scholar] [CrossRef]
 - Liu, L.; Lee, T. Wall free energy based polynomial boundary conditions for non-ideal gas lattice Boltzmann equation. Int. J. Mod. Phys. C 2009, 20, 1749–1768. [Google Scholar] [CrossRef]
 - Fakhari, A.; Bolster, D. Diffuse interface modeling of three-phase contact line dynamics on curved boundaries: A lattice Boltzmann model for large density and viscosity ratios. J. Comput. Phys. 2017, 334, 620–638. [Google Scholar] [CrossRef]
 - Bouzidi, M.; Firdaouss, M.; Lallemand, P. Momentum transfer of a Boltzmann-lattice fluid with boundaries. Phys. Fluids 2001, 13, 3452–3459. [Google Scholar] [CrossRef]
 - Lucas, R. Ueber das Zeitgesetz des kapillaren Aufstiegs von Flüssigkeiten. Kolloid-Zeitschrift 1918, 23, 15–22. [Google Scholar] [CrossRef]
 - Washburn, E.W. The Dynamics of Capillary Flow. Phys. Rev. 1921, 17, 273–283. [Google Scholar] [CrossRef]
 










Publisher’s Note: MDPI stays neutral with regard to jurisdictional claims in published maps and institutional affiliations.  | 
© 2022 by the authors. Licensee MDPI, Basel, Switzerland. This article is an open access article distributed under the terms and conditions of the Creative Commons Attribution (CC BY) license (https://creativecommons.org/licenses/by/4.0/).
Share and Cite
Sugimoto, M.; Miyazaki, T.; Kaneda, M.; Suga, K. Coolant Wetting Simulation on Simplified Stator Coil Model by the Phase-Field Lattice Boltzmann Method. Entropy 2022, 24, 219. https://doi.org/10.3390/e24020219
Sugimoto M, Miyazaki T, Kaneda M, Suga K. Coolant Wetting Simulation on Simplified Stator Coil Model by the Phase-Field Lattice Boltzmann Method. Entropy. 2022; 24(2):219. https://doi.org/10.3390/e24020219
Chicago/Turabian StyleSugimoto, Makoto, Tatsuya Miyazaki, Masayuki Kaneda, and Kazuhiko Suga. 2022. "Coolant Wetting Simulation on Simplified Stator Coil Model by the Phase-Field Lattice Boltzmann Method" Entropy 24, no. 2: 219. https://doi.org/10.3390/e24020219
APA StyleSugimoto, M., Miyazaki, T., Kaneda, M., & Suga, K. (2022). Coolant Wetting Simulation on Simplified Stator Coil Model by the Phase-Field Lattice Boltzmann Method. Entropy, 24(2), 219. https://doi.org/10.3390/e24020219
        
                                                
