Optimizing Urgency of Information through Resource Constrained Joint Sensing and Transmission
Abstract
1. Introduction
2. System Model
3. Optimizing the Urgency of Information in
3.1. Lyapunov Function Definitions
3.2. Finding Appropriate Weights for the System
3.3. Deriving Lyapunov Optimal Decisions
| Algorithm 1 Decisions scheduling scheme based on Lyapunov optimization |
Input:
|
3.4. Solving for the Target Function and Lyapunov Gap
4. Numerical Results
4.1. Response to Urgency Levels
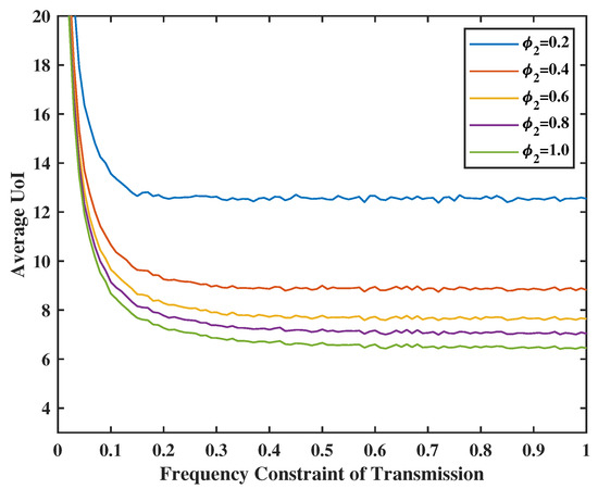
4.2. Tradeoff between UoI and System Parameters
4.3. Tradeoff between UoI and System Stability
4.4. Comparison of Lyapunov Optimal Performance with Other Algorithms
5. Conclusions
Author Contributions
Funding
Data Availability Statement
Conflicts of Interest
Appendix A
Appendix B
Appendix C
Appendix D
References
- Kaul, S.; Yates, R.; Gruteser, M. Real-time status: How often should one update? In Proceedings of the IEEE INFOCOM, Orlando, FL, USA, 10 May 2012; pp. 2731–2735. [Google Scholar]
- Miridakis, N.; Tsiftsis, T.; Yang, G. Non-Linear Age of Information: An Energy Efficient Receiver-Centric Approach. IEEE Wirel. Commun. Lett. 2022, 11, 655–659. [Google Scholar] [CrossRef]
- Abd-Elmagid, M.; Pappas, N.; Dhillon, H. On the role of age of information in the Internet of Things. IEEE Commun. Mag. 2019, 57, 72–77. [Google Scholar] [CrossRef]
- Kosta, A.; Pappas, N.; Ephremides, A.; Angelakis, V. The age of information in a discrete time queue: Stationary distribution and non-linear age mean analysis. IEEE J. Sel. Areas Commun. 2021, 39, 1352–1364. [Google Scholar] [CrossRef]
- Zheng, X.; Zhou, S.; Niu, Z. Context-Aware Information Lapse for Timely Status Updates in Remote Control Systems. In Proceedings of the 2019 IEEE Global Communications Conference (GLOBECOM), Waikoloa, HI, USA, 9–13 December 2019; pp. 1–6. [Google Scholar] [CrossRef]
- Zheng, X.; Zhou, S.; Niu, Z. Urgency of information for context-aware timely status updates in remote control systems. IEEE Trans. Wirel. Commun. 2020, 19, 7237–7250. [Google Scholar] [CrossRef]
- Neely, M.J. Stochastic network optimization with application to communication and queueing systems. Synth. Lect. Commun. Netw. 2010, 3. [Google Scholar]
- Georgiadis, L.; Neely, M.J.; Tassiulas, L. Resource allocation and cross-layer control in wireless networks. Found. Trends Netw. 2006, 1, 1–144. [Google Scholar] [CrossRef]
- Kam, C.; Kompella, S.; Ephremides, A. The Role of AoI in a Cognitive Radio Network: Lyapunov Optimization and Tradeoffs. In Proceedings of the IEEE MILCOM, San Diego, CA, USA, 29 November–2 December 2021; pp. 303–308. [Google Scholar]
- Fountoulakis, E.; Codreanu, M.; Ephremides, A.; Pappas, N. Joint sampling and transmission policies for minimizing cost under aoi constraints. arXiv 2021, arXiv:2103.15450. [Google Scholar]
- Zhong, J.; Yates, R.; Soljanin, E. Two freshness metrics for local cache refresh. In Proceedings of the IEEE ISIT, Vail, CO, USA, 17–22 June 2018; pp. 1924–1928. [Google Scholar]
- Yates, R.; Zhong, J.; Zhang, W. Updates with multiple service classes. In Proceedings of the IEEE ISIT, Paris, France, 7–12 July 2019; pp. 1017–1021. [Google Scholar]
- Champati, J.; Al-Zubaidy, H.; Gross, J. On the Distribution of AoI for the GI/GI/1/1 and GI/GI/1/2 Systems: Exact Expressions and Bounds. In Proceedings of the IEEE INFOCOM, Paris, France, 29 April–2 May 2019; pp. 37–45. [Google Scholar]
- Hu, L.; Chen, Z.; Dong, Y.; Jia, Y.; Liang, L.; Wang, M. Status update in IoT networks: Age-of-information violation probability and optimal update rate. IEEE Internet Things J. 2021, 8, 11329–11344. [Google Scholar] [CrossRef]
- Talak, R.; Kadota, I.; Karaman, S.; Modiano, E. Scheduling policies for age minimization in wireless networks with unknown channel state. In Proceedings of the IEEE ISIT, Vail, CO, USA, 17–22 June 2018; pp. 2564–2568. [Google Scholar]
- Talak, R.; Karaman, S.; Modiano, E. Optimizing age of information in wireless networks with perfect channel state information. In Proceedings of the IEEE WiOpt, Shanghai, China, 7–11 May 2018. [Google Scholar]
- Sun, J.; Jiang, Z.; Zhou, S.; Niu, Z. Age-Optimal Scheduling for Heterogeneous Traffic with Timely-Throughput Constraint. In Proceedings of the IEEE INFOCOM AoI Workshop, Beijing, China, 27 April 2020; pp. 317–322. [Google Scholar]
- Kadota, I.; Sinha, A.; Modiano, E. Optimizing age of information in wireless networks with throughput constraints. In Proceedings of the IEEE INFOCOM, Honolulu, HI, USA, 15–19 April 2018; pp. 1844–1852. [Google Scholar]
- Kadota, I.; Sinha, A.; Modiano, E. Scheduling algorithms for optimizing age of information in wireless networks with throughput constraints. IEEE/ACM Trans. Netw. 2019, 27, 1359–1372. [Google Scholar] [CrossRef]
- Bacinoglu, B.; Ceran, E.; Uysal-Biyikoglu, E. Age of information under energy replenishment constraints. In Proceedings of the IEEE ITA, Wrexham, UK, 8–11 September 2015; pp. 25–31. [Google Scholar]
- Bacinoglu, B.; Uysal-Biyikoglu, E. Scheduling status updates to minimize age of information with an energy harvesting sensor. In Proceedings of the IEEE ISIT, Aachen, Germany, 25–30 June 2017; pp. 1122–1126. [Google Scholar]
- Yates, R.D. Lazy is timely: Status updates by an energy harvesting source. In Proceedings of the IEEE ISIT, Hong Kong, China, 14–19 June 2015; pp. 3008–3012. [Google Scholar]
- Ceran, E.; Gündüz, D.; György, A. Average age of information with hybrid ARQ under a resource constraint. IEEE Trans. Wireless Comm. 2019, 18, 1900–1913. [Google Scholar] [CrossRef]
- Zhou, B.; Saad, W. Joint status sampling and updating for minimizing age of information in the Internet of Things. IEEE Trans. Commun. 2019, 67, 7468–7482. [Google Scholar] [CrossRef]
- Yates, R.; Kaul, S. Real-time status updating: Multiple sources. In Proceedings of the IEEE ISIT, Cambridge, MA, USA, 1–6 July 2012; pp. 2666–2670. [Google Scholar]
- Yates, R.; Kaul, S.K. The age of information: Real-time status updating by multiple sources. IEEE Trans. Inf. Theory 2018, 65, 1807–1827. [Google Scholar]
- Moltafet, M.; Leinonen, M.; Codreanu, M. On the age of information in multi-source queueing models. IEEE Trans. Commun. 2020, 68, 5003–5017. [Google Scholar] [CrossRef]
- Abd-Elmagid, M.; Dhillon, H. Distributional properties of age of information in energy harvesting status update systems. In Proceedings of the IEEE WiOpt, Virtual, 18–21 October 2021. [Google Scholar]
- Hirosawa, N.; Iimori, H.; de Abreu, G.; Ishibashi, K. Age-of-Information Minimization in Two-User Multiple Access Channel with Energy Harvesting. In Proceedings of the IEEE CAMSAP, Guadeloupe, France, 15–18 December 2019; pp. 361–365. [Google Scholar]
- Chen, Z.; Pappas, N.; Björnson, E.; Larsson, E. Age of information in a multiple access channel with heterogeneous traffic and an energy harvesting node. In Proceedings of the IEEE INFOCOM AoI Workshop, Paris, France, 29 April 2019; pp. 662–667. [Google Scholar]
- Yates, R.; Kaul, S. Status updates over unreliable multiaccess channels. In Proceedings of the IEEE ISIT, Aachen, Germany, 25–30 June 2017; pp. 331–335. [Google Scholar]
- Tang, H.; Wang, J.; Song, L.; Song, J. Minimizing age of information with power constraints: Multi-user opportunistic scheduling in multi-state time-varying channels. IEEE J. Sel. Areas Commun. 2020, 38, 854–868. [Google Scholar] [CrossRef]
- Champati, J.; Mamduhi, M.; Johansson, K.; Gross, J. Performance characterization using aoi in a single-loop networked control system. In Proceedings of the IEEE INFOCOM AoI Workshop, Paris, France, 29 April 2019; pp. 197–203. [Google Scholar]
- Li, J.; Zhou, Y.; Chen, H. Age of information for multicast transmission with fixed and random deadlines in IoT systems. IEEE Internet Things J. 2020, 7, 8178–8191. [Google Scholar] [CrossRef]
- Kadota, I.; Sinha, A.; Uysal-Biyikoglu, E.; Singh, R.; Modiano, E. Scheduling policies for minimizing age of information in broadcast wireless networks. IEEE/ACM Trans. Netw. 2018, 26, 2637–2650. [Google Scholar] [CrossRef]
- Hsu, Y.P.; Modiano, E.; Duan, L. Age of information: Design and analysis of optimal scheduling algorithms. In Proceedings of the IEEE ISIT, Aachen, Germany, 25–30 June 2017; pp. 561–565. [Google Scholar]
- Sun, Y.; Polyanskiy, Y.; Uysal-Biyikoglu, E. Remote estimation of the Wiener process over a channel with random delay. In Proceedings of the IEEE ISIT, Aachen, Germany, 25–30 June 2017; pp. 321–325. [Google Scholar]
- Ornee, T.; Sun, Y. Sampling for remote estimation through queues: Age of information and beyond. In Proceedings of the IEEE WiOPT, Avignon, France, 3–7 June 2019. [Google Scholar]
- Arafa, A.; Banawan, K.; Seddik, K.; Poor, H. Timely estimation using coded quantized samples. In Proceedings of the IEEE ISIT, Los Angeles, CA, USA, 21–26 June 2020; pp. 1812–1817. [Google Scholar]
- Tsai, C.H.; Wang, C.C. Unifying AoI minimization and remote estimation—Optimal sensor/controller coordination with random two-way delay. IEEE/ACM Trans. Netw. 2021, 30, 229–242. [Google Scholar] [CrossRef]
- Moltafet, M.; Leinonen, M.; Codreanu, M.; Yates, R. Status Update Control and Analysis under Two-Way Delay. arXiv 2022, arXiv:2208.06177. [Google Scholar]
- Feng, S.; Yang, J. Age of information minimization for an energy harvesting source with updating erasures: Without and with feedback. IEEE Trans. Commun. 2021, 69, 5091–5105. [Google Scholar] [CrossRef]
- Rafiee, P.; Ozel, O. Active Status Update Packet Drop Control in an Energy Harvesting Node. In Proceedings of the IEEE SPAWC, Atlanta, GA, USA, 26–29 May 2020. [Google Scholar]
- Rafiee, P.; Zou, P.; Ozel, O.; Subramaniam, S. Maintaining Information Freshness in Power-Efficient Status Update Systems. In Proceedings of the IEEE INFOCOM AoI Workshop, Virtual, 6–9 July 2020; pp. 31–36. [Google Scholar]
- Rafiee, P.; Oktay, M.; Ozel, O. Intermittent Status Updating with Random Update Arrivals. In Proceedings of the IEEE ISIT, Melbourne, Australia, 12–20 July 2021; pp. 3121–3126. [Google Scholar]
- Munari, A.; Badia, L. The Role of Feedback in AoI Optimization Under Limited Transmission Opportunities. arXiv 2022, arXiv:2208.14128. [Google Scholar]
- Ozel, O. Timely Status Updating Through Intermittent Sensing and Transmission. In Proceedings of the IEEE ISIT, Los Angeles, CA, USA, 21–26 June 2020; pp. 1788–1793. [Google Scholar]
- Ozel, O.; Rafiee, P. Intermittent Status Updating Through Joint Scheduling of Sensing and Retransmissions. In Proceedings of the IEEE INFOCOM AoI Workshop, Virtual, 10 May 2021. [Google Scholar]
- Ayan, O.; Vilgelm, M.; Klügel, M.; Hirche, S.; Kellerer, W. Age-of-information vs. value-of-information scheduling for cellular networked control systems. In Proceedings of the ACM/IEEE International Conference on Cyber-Physical Systems, Montreal, QC, Canada, 16–18 April 2019; pp. 109–117. [Google Scholar]
- Zou, P.; Ozel, O.; Subramaniam, S. On age and value of information in status update systems. In Proceedings of the IEEE WCNC, Seoul, Korea, 25–28 May 2020. [Google Scholar]
- Lin, W.; Wang, X.; Sun, X.; Chen, X. Average age of changed information in the Internet of Things. In Proceedings of the IEEE WCNC, virtual, 25–28 May 2020. [Google Scholar]
- Ildiz, M.E.; Yavascan, O.T.; Uysal, E.; Kartal, O.T. Pull or wait: How to optimize query age of information. arXiv 2021, arXiv:2111.02309. [Google Scholar]
- Chiariotti, F.; Holm, J.; Kalør, A.E.; Soret, B.; Jensen, S.; Pedersen, T.; Popovski, P. Query age of information: Freshness in pull-based communication. IEEE Trans. Commun. 2022, 70, 1606–1622. [Google Scholar] [CrossRef]
















| Symbol | Description |
|---|---|
| Error in Service Center | |
| Error in Terminal | |
| Transmission Frequency Virtual Queue | |
| Sensing Frequency Virtual Queue | |
| Number of Time Slots since Last Sense | |
| Channel Situation | |
| Transmission/Sensing Decision | |
| Set of Decisions | |
| Transmission/Sensing Frequency Constraints | |
| Weight of Urgency | |
| Average Weight of Urgency | |
| Weight of in Drift Function | |
| M | Weight of in Target Function |
| R | Weight of Penalty Compared with Drift |
| Summation of all the Queues | |
| Lyapunov Drift | |
| Lyapunov Penalty | |
| Set of Given Parameters in Time Slot |
Publisher’s Note: MDPI stays neutral with regard to jurisdictional claims in published maps and institutional affiliations. |
© 2022 by the authors. Licensee MDPI, Basel, Switzerland. This article is an open access article distributed under the terms and conditions of the Creative Commons Attribution (CC BY) license (https://creativecommons.org/licenses/by/4.0/).
Share and Cite
Ju, Z.; Rafiee, P.; Ozel, O. Optimizing Urgency of Information through Resource Constrained Joint Sensing and Transmission. Entropy 2022, 24, 1624. https://doi.org/10.3390/e24111624
Ju Z, Rafiee P, Ozel O. Optimizing Urgency of Information through Resource Constrained Joint Sensing and Transmission. Entropy. 2022; 24(11):1624. https://doi.org/10.3390/e24111624
Chicago/Turabian StyleJu, Zhuoxuan, Parisa Rafiee, and Omur Ozel. 2022. "Optimizing Urgency of Information through Resource Constrained Joint Sensing and Transmission" Entropy 24, no. 11: 1624. https://doi.org/10.3390/e24111624
APA StyleJu, Z., Rafiee, P., & Ozel, O. (2022). Optimizing Urgency of Information through Resource Constrained Joint Sensing and Transmission. Entropy, 24(11), 1624. https://doi.org/10.3390/e24111624

