Influence of Source Parameters on the Polarization Properties of Beams for Practical Free-Space Quantum Key Distribution
Abstract
:1. Introduction
2. Propagation Modeling and Key Rate Estimation
2.1. Propagation Modeling
2.1.1. Rotation of Polarization Angle
2.1.2. Beam Depolarization
2.2. Key Rate Estimation
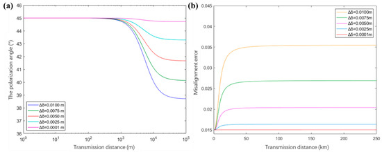
3. Results
4. Conclusions
Author Contributions
Funding
Institutional Review Board Statement
Informed Consent Statement
Data Availability Statement
Acknowledgments
Conflicts of Interest
References
- Lo, H.-K.; Chau, H.F. Unconditional security of quantum key distribution over arbitrarily long distances. Science 1999, 283, 2050. [Google Scholar] [CrossRef] [Green Version]
- Bennett, C.H.; Brassard, G.; Mermin, N.D. Quantum cryptography without Bell’s theorem. Phys. Rev. Lett. 1992, 68, 557–559. [Google Scholar] [CrossRef] [PubMed]
- Mayers, D. Unconditional security in quantum cryptography. JACM 2001, 48, 351–406. [Google Scholar] [CrossRef]
- Chen, J.P.; Zhang, C.; Liu, Y.; Jiang, C.; Zhang, W.J.; Han, Z.Y.; Ma, S.Z.; Hu, X.L.; Li, Y.H.; Liu, H.; et al. Twin-field quantum key distribution over 511 km optical fiber linking two distant metropolitans. arXiv 2021, arXiv:2102.00433. [Google Scholar]
- Bennett, C.H.; Bessette, F.; Brassard, G.; Salvail, L.; Smolin, J. Experimental quantum cryptography. J. Cryptol. 1992, 5, 3. [Google Scholar] [CrossRef]
- Buttler, W.T.; Hughes, R.J.; Kwiat, P.G.; Lamoreaux, S.K.; Simmons, C.M. Practical free-space quantum key distribution over 1 km. Phys. Rev. Lett. 1998, 81, 3283–3286. [Google Scholar] [CrossRef] [Green Version]
- Buttler, W.T.; Hughes, R.J.; Lamoreaux, S.K.; Morgan, G.L.; Nordholt, J.E.; Peterson, C.G. Daylight quantum key distribution over 1.6 km. Phys. Rev. Lett. 2000, 84, 5652–5655. [Google Scholar] [CrossRef] [Green Version]
- Hughes, R.J.; Nordholt, J.E.; Derkacs, D.; Peterson, C.G. Practical free-space quantum key distribution over 10 km in daylight and at night. New J. Phys. 2002, 4, 43. [Google Scholar] [CrossRef] [Green Version]
- Schmitt-Manderbach, T.; Weier, H.; Fuerst, M.; Ursin, R.; Tiefenbacher, F.; Scheidl, T.; Perdigues, J.; Sodnik, Z.; Kurtsiefer, C.; Rarity, J.G. Experimental demonstration of free-space decoy-state quantum key distribution over 144 km. Phys. Rev. Lett. 2007, 98, 010504. [Google Scholar] [CrossRef]
- Bedington, R.; Arrazola, J.M.; Ling, A. Progress in satellite quantum key distribution. NPJ Quantum Inf. 2017, 3, 30. [Google Scholar] [CrossRef]
- Wang, W.; Xu, F.; Lo, H.K. Prefixed-threshold real-time selection method in free-space quantum key distribution. Phys. Rev. A 2018, 97, 032337. [Google Scholar] [CrossRef] [Green Version]
- Zhu, Z.D.; Dong, C.; Zhao, S.H.; Zhang, Q.H.; Xi, J.H. Real-time selection for free-space measurement device independent quantum key distribution. Quantum Inf. Process. 2019, 18, 33. [Google Scholar] [CrossRef]
- Wang, X.Y.; Zhao, S.H.; Dong, C.; Zhu, Z.D.; Gu, W.Y. Orbital angular momentum-encoded measurement device independent quantum key distribution under atmospheric turbulence. Quantum Inf. Process. 2019, 18, 304. [Google Scholar] [CrossRef]
- Bonato, C.; Tomaello, A.; Da Deppo, V.; Naletto, G.; Villoresi, P. Feasibility of satellite quantum key distribution. New J. Phys. 2009, 11, 045017. [Google Scholar] [CrossRef] [Green Version]
- Bonato, C.; Aspelmeyer, M.; Jennewein, T.; Pernechele, C.; Zeilinger, A. Influence of satellite motion on polarization qubits in a Space-Earth quantum communication link. Opt. Express 2006, 14, 100500. [Google Scholar] [CrossRef] [PubMed]
- Muga, N.J.; Ferreira, M.F.S.; Pinto, A.N. QBER Estimation in QKD Systems with Polarization Encoding. J. Light. Technol. 2011, 29, 355. [Google Scholar] [CrossRef] [Green Version]
- Hwang, W.Y. Quantum key distribution with high loss: Toward global secure communication. Phys. Rev. Lett. 2003, 91, 057901. [Google Scholar] [CrossRef] [PubMed] [Green Version]
- Wang, X.B. Beating the photon-number-splitting attack in practical quantum cryptography. Phys. Rev. Lett. 2005, 94, 230503. [Google Scholar] [CrossRef] [Green Version]
- Lo, H.-K.; Ma, X.; Chen, K. Decoy-state quantum key distribution. Phys. Rev. Lett. 2005, 94, 230504. [Google Scholar] [CrossRef] [PubMed] [Green Version]
- Zhou, C.; Bao, W.S.; Zhang, H.L.; Li, H.W.; Wang, Y.; Li, Y.; Wang, X. Biased decoy-state measurement-device-independent quantum key distribution with finite resources. Phys. Rev. A 2015, 91, 022313. [Google Scholar] [CrossRef] [Green Version]
- Salem, M.; Korotkova, O.; Dogariu, A.; Wolf, E. Polarization changes in partially coherent electromagnetic beams propagating through turbulent atmosphere. Waves Random Media 2004, 14, 513. [Google Scholar] [CrossRef] [Green Version]
- Zhao, X.; Yao, Y.; Sun, Y.; Liu, C. Condition for Gaussian Schell-model beam to maintain the state of polarization on the propagation in free space. Opt. Express 2009, 17, 17888. [Google Scholar] [CrossRef]
- Wang, J.; Ke, X.; Wang, M. Influence of source parameters and atmospheric turbulence on the polarization properties of partially coherent electromagnetic vortex beams. Appl. Optics 2019, 58, 1446. [Google Scholar] [CrossRef] [PubMed]
- Björk, G.; Söderholm, J.; Sánchez-Soto, L.L.; Klimov, A.B.; Ghiu, I.; Marian, P.; Marian, T.A. Quantum degrees of polarization. Opt. Commun. 2010, 283, 4440. [Google Scholar] [CrossRef] [Green Version]
- Baykal, Y. Coherence length in non-Kolmogorov satellite links. Opt. Commun. 2013, 308, 105–108. [Google Scholar] [CrossRef]
- Wang, Y.G.; Zhang, Y.X.; Wang, J.Y.; Jia, J.J. Degree of polarization for single-photon beam in a turbulent atmosphere. Opt. Commun. 2011, 284, 3221. [Google Scholar] [CrossRef]
- Korotkova, O.; Wolf, E. Changes in the state of polarization of a random electromagnetic beam on propagation. Opt. Commun. 2005, 246, 35. [Google Scholar] [CrossRef]
- Khalighi, M.A.; Uysal, M. Survey on free space optical communication: A communication theory perspective. IEEE Commun. Surv. Tutor. 2014, 16, 2231–2258. [Google Scholar] [CrossRef]
- Neumann, S.P.; Joshi, S.; Fink, M.; Scheidl, T.; Ursin, R. Q3Sat: Quantum communications uplink to a 3U CubeSat feasibility & design. EPJ Quantum Technol. 2018, 5, 4. [Google Scholar]
- Liorni, C.; Kampermann, H.; Bruss, D. Satellite-based links for quantum key distribution: Beam effects and weather dependence. New J. Phys. 2009, 11, 045017. [Google Scholar] [CrossRef] [Green Version]
- Wang, Y.G.; Zhang, Y.X.; Wang, J.Y.; Jia, J.J. Degree of polarization for quantum light field propagating through non-Kolmogorov turbulence. Opt. Laser Technol. 2011, 43, 776. [Google Scholar] [CrossRef]
- Kok, P.; Nemoto, K.; Ralph, T.C.; Dowling, J.P.; Milburn, G.J. Linear optical quantum computing with photonic qubits. Rev. Mod. Phys. 2007, 79, 135. [Google Scholar] [CrossRef] [Green Version]
- Xu, F.; Curty, M.; Qi, B.; Lo, H.-K. Practical aspects of measurement-device-independent quantum key distribution. New J. Phys. 2013, 15, 113007. [Google Scholar] [CrossRef]
- Yu, Z.W.; Zhou, Y.H.; Wang, X.B. Three-intensity decoy-state method for measurement-device-independent quantum key distribution. Phys. Rev. A 2013, 88, 062339. [Google Scholar] [CrossRef] [Green Version]
- Wang, X.B. Three-intensity decoy-state method for device-independent quantum key distribution with basis-dependent errors. Phys. Rev. A 2013, 87, 012320. [Google Scholar] [CrossRef] [Green Version]
- Zhou, Y.H.; Yu, Z.W.; Wang, X.B. Making the decoy-state measurement-device-independent quantum key distribution practically useful. Phys. Rev. A 2016, 93, 042324. [Google Scholar] [CrossRef] [Green Version]



| Symbol | Name | Value |
|---|---|---|
| λ | wavelength of the laser beam | 1550 nm |
| waist of the laser beam | 3.5 cm | |
| total number of signals | 1014 | |
| detection efficiency | 50% | |
| error probability of dark counts | 0.5 | |
| error probability of optical misalignment | 0.015 | |
| Error correction efficiency | 1.16 | |
| background rate | 3 × 10−6 | |
| security bound | 10−7 |
Publisher’s Note: MDPI stays neutral with regard to jurisdictional claims in published maps and institutional affiliations. |
© 2021 by the authors. Licensee MDPI, Basel, Switzerland. This article is an open access article distributed under the terms and conditions of the Creative Commons Attribution (CC BY) license (https://creativecommons.org/licenses/by/4.0/).
Share and Cite
Wu, T.; Pan, Q.; Lin, C.; Shi, L.; Zhao, S.; Zhang, Y.; Wang, X.; Dong, C. Influence of Source Parameters on the Polarization Properties of Beams for Practical Free-Space Quantum Key Distribution. Entropy 2021, 23, 1224. https://doi.org/10.3390/e23091224
Wu T, Pan Q, Lin C, Shi L, Zhao S, Zhang Y, Wang X, Dong C. Influence of Source Parameters on the Polarization Properties of Beams for Practical Free-Space Quantum Key Distribution. Entropy. 2021; 23(9):1224. https://doi.org/10.3390/e23091224
Chicago/Turabian StyleWu, Tianyi, Qing Pan, Chushan Lin, Lei Shi, Shanghong Zhao, Yijun Zhang, Xingyu Wang, and Chen Dong. 2021. "Influence of Source Parameters on the Polarization Properties of Beams for Practical Free-Space Quantum Key Distribution" Entropy 23, no. 9: 1224. https://doi.org/10.3390/e23091224
APA StyleWu, T., Pan, Q., Lin, C., Shi, L., Zhao, S., Zhang, Y., Wang, X., & Dong, C. (2021). Influence of Source Parameters on the Polarization Properties of Beams for Practical Free-Space Quantum Key Distribution. Entropy, 23(9), 1224. https://doi.org/10.3390/e23091224

