Abstract
Quantum thermal machines make use of non-classical thermodynamic resources, one of which include interactions between elements of the quantum working medium. In this paper, we examine the performance of a quasi-static quantum Otto engine based on two spins of arbitrary magnitudes subject to an external magnetic field and coupled via an isotropic Heisenberg exchange interaction. It has been shown earlier that the said interaction provides an enhancement of cycle efficiency, with an upper bound that is tighter than the Carnot efficiency. However, the necessary conditions governing engine performance and the relevant upper bound for efficiency are unknown for the general case of arbitrary spin magnitudes. By analyzing extreme case scenarios, we formulate heuristics to infer the necessary conditions for an engine with uncoupled as well as coupled spin model. These conditions lead us to a connection between performance of quantum heat engines and the notion of majorization. Furthermore, the study of complete Otto cycles inherent in the average cycle also yields interesting insights into the average performance.
1. Introduction
Thermodynamics originated as an empirical study of steam engines, which blossomed into a framework of exceptional generality and simplicity. Quantum thermodynamics is an emerging research field that aims to extend classical thermodynamics and statistical physics into the quantum realm, offering new challenges and opportunities in the wake of a host of non-classical features. A dominant interest is to understand energy-conversion processes at length scales and temperatures where quantum effects become imperative. Inspired by our enhanced capabilities towards nanoscale design and control, this endeavour is being pursued by scientists from diverse backgrounds, such as statistical physics, quantum information, quantum optics, many-body physics and so on. In order to lay foundations for technological breakthroughs, a variety of fundamental questions are being addressed, ranging from issues of thermalisation of quantum systems to examining the validity of thermodynamic concepts, such as the definitions of work, heat, efficiency and power at the nanoscale. The accord between quantum mechanics and thermodynamics is yet to fully unfold [1,2,3]. Its fundamental implications have inspired numerous proposals for thermal machines based on quantum working media [4,5,6,7,8,9,10,11,12,13,14,15,16,17,18,19,20,21,22,23,24,25,26,27,28,29,30,31,32,33,34,35,36,37,38,39,40,41,42,43,44,45,46,47,48,49,50]. Two major issues which are addressed in such proposals are as follows: What are the performance bounds of heat engines working in quantum regime and what are the thermodynamic properties of these quantum systems which control these bounds? The performance analysis of various quantum analogues of classical heat engines serve as a test bed to study different extensions of thermodynamic ideas in the quantum world. With the recent development of quantum information technology [51,52,53,54] and a number of interesting results, the study of quantum heat engines (QHEs) has drawn much interest. In fact, the past few years witnessed conducive studies exploring how quantum statistics, discreteness of energy levels, quantum adiabaticity, quantum coherence, quantum measurement and entanglement affect the operation of heat engines and cycles in various experimental set-ups, including trapped ions, transmon qubits and more [55,56,57,58,59,60,61,62,63,64,65,66,67,68,69,70,71,72,73,74,75,76,77,78,79,80,81,82,83,84].
Finite time thermodynamic cycles [31,33,85,86,87,88,89,90,91,92,93,94,95,96,97,98] and the study of open quantum systems [99,100,101,102,103,104,105,106] have drawn significant attention in the recent years. These studies aim to arrive at more practical estimates of the performance measures for these machines. However, the importance of quasi-static models of QHEs lies in the fact that they provide a benchmark against which we can compare the behaviour of finite time or more realistic models of heat engines. A range of quantum working substances has been used to model these QHEs. Amongst these, the study of simple, coupled quantum systems [6,18,29,30,107,108,109,110,111,112,113,114,115,116] can yield important insights into the role of quantum interactions in enhancing the performance of model thermal machines. In particular, an upper bound () for quantum Otto efficiency using two coupled spin- particles has been obtained which is tighter than the Carnot bound () [6,18]. However, this upper bound was shown to be violated for a spin-1/2 particle coupled with an arbitrary spin [111].
In this paper, we generalise the above model and treat two arbitrary spins which are coupled through XXX interaction. We derive conditions ensuring the operation of Otto engine with an arbitrary spin (uncoupled model) as well as for the coupled model. We are able to analytically show that coupling can enhance thermal efficiency and derive a new spin-dependent upper bound to the Otto efficiency, which generalizes and obtains, as a special case, the previous bound of Reference [6]. The new bound is dependent on the magnitude of the total spin quantum number . Given the arbitrary magnitudes of the spins and complex nature of the energy spectrum, we focus on the worst-case or best-case scenarios (WCS/BCS) to approach the problem. By proceeding in this manner, we observe that WCS implies a certain majorization relation between the canonical probability distributions of the working medium relative to hot and cold reservoirs. Thus, we discover a robust connection between the performance of our thermal machine and the property of majorization.
We also establish the consistency of our model with the second law. As a novel tool, we study complete Otto cycles (COCs) in order to characterise the performance of our engine. For a COC, the working medium starts and ends in the same state. We notice a subtle difference in the sense in which second law may be applied at the COC level compared to the average level. We show that COCs that follow the second law under a certain operation (say as an engine) suggest conditions applicable for the average performance of the machine. In this manner, COCs offer a potentially handy tool of estimating parameters for the operating regime of the machine.
It is apparent that as the quantum working medium becomes complex, an exact analysis becomes intractable. This is especially true when the working medium is neither a few-particles system having a simple energy spectrum nor a medium close to thermodynamic limit where some scaling law may aid in mathematical simplicity [117]. Thus, in order to target this intermediate regime, it is pragmatic to formulate heuristics. A significant motivation for our paper is to explore the use of heuristics in view of the complexity of the given problem. Heuristics have been employed in various disciplines such as cognitive science, behavioural economics and computer science to name a few. A heuristic is a rule of thumb providing insights into the behaviour of a system in the face of complexity or uncertainty [118,119,120]. It must be appreciated that the value of a heuristic lies in providing a shortcut method that requires a simpler analysis, thus trading accuracy and completeness for speed.
The paper is organized as follows. In Section 2, we introduce our model of two coupled spins () as the working substance of the Quantum Otto engine. In Section 2.1, various stages of the heat cycle are described, and the positive work condition for the uncoupled model is discussed. The proof for the same is sketched in Appendix Appendix A. In Section 3, the spins are coupled, and we find the coupling range in which positive work extraction is ensured (proofs are sketched in Appendix B and Appendix C), which is related to the notion of majorization in Section 3.1 and further used to order the system’s energy levels for in Section 3.2. In Section 4, the conditions for maximum enhancement of coupled system’s efficiency over the uncoupled model are discussed. An upper bound to engine’s efficiency is also calculated in the considered domain of coupling. A detailed proof for the positive entropy production for the coupled system is sketched in Appendix D. In Section 5, an analysis is carried out by using the notion of complete Otto cycles. Finally, we discuss the results of our analysis in Section 6.
2. Quantum Otto Cycle
The working substance consists of two spins with arbitrary magnitudes, and , coupled by 1-D isotropic Heisenberg exchange interaction in the presence of an externally applied magnetic field of magnitude B along the z-axis. The system Hamiltonian in the first Stage of the cycle can be written as follows:
where is the strength of the anti-ferromagnetic coupling. and are the spin operators for the first and the second spin, respectively. is the interaction Hamiltonian, and is the free Hamiltonian. We have taken Bohr magneton , and the gyromagnetic ratio for both spins has been taken to be two [121].
Let n = be the total number of energy levels with as the corresponding energy eigenstates. When the system is in thermodynamic equilibrium with a heat bath at temperature T, the density matrix for the working substance can be written as follows:
where are the occupation probabilities of the energy levels, and is the partition function for the system. We have rendered the Boltzmann constant equal to unity.
Let us consider the case where one spin is an integer, and the other is a half integer. Some examples of such spin combinations are and . The energy eigenvalues of the Hamiltonian for a general () coupling are shown in Figure 1. It is to be noted that a term common in all the eigenvalues has been neglected as the physical properties of the system would be independent of it. The ordering of these energy levels would depend upon the conditions on the parameters which the positive work condition for the system would provide, which will be discussed in the coming sections.
Figure 1.
The above figure shows the energy levels of the two-spins () system for (a) and (b) . The degeneracy in the energy levels is lifted as the interaction is switched on (). Here, and .
2.1. The Heat Cycle
The four stages constituting the Otto cycle are as follows.
- Stage 1:
- The system is at thermal equilibrium with a heat reservoir at temperature with energy for which its occupation probabilities are , and the corresponding density matrix is (here, we are considering two non interacting spins with energy eigenvalues denoted by and occupation probabilities by ).
- Stage 2:
- The system undergoes a quantum adiabatic process after it is isolated from the hot bath, and the magnetic field is changed from to a smaller value . Here, the quantum adiabatic theorem is assumed to hold according to which the process should be slow enough so that no transitions are induced as the energy levels change from to .
- Stage 3:
- Here, the system is brought in contact with a cold bath at temperature (<). The energy eigenvalues remain at , and the occupation probabilities change from to with the external magnetic field at , and the density matrix of the system is .
- Stage 4:
- The system is detached from the cold bath, and the magnetic field is changed from to with occupation probabilities remaining unchanged at and energy eigenvalues changing back from to such that only work is performed on the system during this step. Finally, the system is attached to the hot bath again, and the cycle is completed such that the average heat absorbed is , and the net work performed per cycle is . Here, denotes the trace operation, and . In this paper, we consider the free Hamiltonian of the form (), where is an operator. We now have ; therefore, the efficiency in the absence of interaction is as follows.
Let us first discuss the positive work condition when and are non-interacting. The energy eigenvalues () of the free Hamiltonian, written in the order of increasing energy (if one spin is integer and the other is half integer), are listed in Table 1, and as it can be observed many energy levels for the non-interacting system are degenerate. There is only one level with energy proportional to as well as s, two levels with energy proportional to as well as and so on (the proportionality constant always being ). Therefore, denoting the degeneracy by , we have the following from Table 1:
such that the total number of energy levels are as follows.
Table 1.
Levels indicating degeneracy and energy eigenvalues () for two uncoupled spins. Here, with and .
The Stage 1 occupation probabilities are written as , where is the partition function of the system, which can be expressed as follows.
The average heat exchanged with the hot reservoir is as follows:
where the primed probabilities are tabulated at and . The average heat exchanged with the cold bath is as follows.
Thus, the work performed on average is the following.
The explicit expression of v is given by Equation (A1). Since is assumed, the system works as an engine on average if and only if . We prove in Appendix A that the condition required to satisfy is the following:
where . Furthermore, as proved in Appendix A, Equation (9) implies as well as the following.
From the above conditions, we can make the following inferences. Positive work extraction is favoured when the occupancy of ground (top) level is more (less) at the cold bath than at the hot bath, which suggests that heat is absorbed at the hot bath, decreasing (increasing) the occupancy of the ground (top) level, while heat is released at the cold bath, thus increasing (decreasing) the occupancy of the ground (top) level.
Since the working medium returns to its initial state (restoring the Hamiltonian as well as coming to be in equilibrium with the hot reservoir), the net change in entropy is due to the entropy changes only in the heat baths. The decrease in the entropy of the hot bath is and increase in entropy of the cold bath is . Thus, the net entropy change in one cycle is the following.
We have seen that or requires Equation (9) to hold. Under these conditions, it follows that , and the consistency with the second law is established at the level of average performance as an engine. Similarly, we observe that the efficiency satisfies the following. .
3. The Coupled Model
Let us now couple the two spins, with being the anti-ferromagnetic coupling strength. The corresponding energy eigenvalues are shown in Figure 1b, where the ordering of the eigenvalues can be considered when the coupling parameter J is small. Moreover, as the coupling is switched on, the degeneracy of the previously degenerate levels is now lifted. Let us express an energy eigenvalue of the coupled system as , where and can only take positive values including zero, as shown in Table A2 in Appendix C. The values and depend on the index k, but we have omitted it here for brevity of notation.
Now, the average heat absorbed from the hot bath (), the heat rejected to the cold bath () and the average work performed in one cycle, , are given as follows:
where the following is the case.
The spin dependent factors and are obtained from the expressions of the equilibrium occupation probabilities of the energy levels (shown in Figure 1), which in general are written as follows.
For explicit expressions of , refer to Table A1 in Appendix B. is the Stage 1 partition function of the system for which its expression may be rewritten as follows:
where . Similarly, we can define , the canonical probabilities due to cold bath, by replacing and in the above expressions for .
For the proof of PWC for the coupled model (Appendix B), we show that for the so-called worst case scenario (WCS) is given by the following:
along with Equation (9). It follows that . Consistent with Equations (15) and (A25), we then calculate the strictest condition on the allowed range of J (Appendix C), which is given by the following.
Therefore, we conclude that or PWC is satisfied under Equations (9) and (16), with the latter constituting the sufficient condition for the coupled system to work as an engine.
3.1. Majorization
Majorization [122] is a powerful mathematical concept that defines a preorder on the vectors of real numbers. It is particularly useful to compare two probability distributions. We will highlight its occurance in the context of the working regime of our engine by comparing the two equilibrium probability distributions.
Now, for the uncoupled model, the relevant probability distributions are the canonical probabilities and , which, at finite temperatures, are ordered as and , respectively. In Lemma A2 of Appendix B, we proved that Equation (9) is a necessary condition that ensures in the regime of the so-called worst case scenario (WCS), given by the following:
where the equality holds for . Therefore, the above relations imply the following.
The above set of conditions (M) is summarised by stating that majorizes and denoted as . As a powerful tool, majorization can be used to prove other results. Intuitively, it indicates that the distribution is more mixed than . Thus, as an important consequence, implies that , where is the Shannon entropy of the distribution (proportional to the thermodynamic entropy of the working medium in equilibrium with a reservoir). In fact, this is expected, since the flow of heat for the engine is on the average from hot to cold. Then, along with heat, thermodynamic entropy is also lost to the cold reservoir. However, the condition of majorization is more general than the above mentioned relation between the entropies.
Similarly for the coupled model, we have shown that Equations (9) and (16) ensure under the following conditions: and . In general, we may write the following.
Thus, for the coupled model, we can also write down the set of conditions equivalent to Equation (M), and infer that , which implies . In other words, if the Stage 3 equilibrium distribution majorizes Stage 1 equilibrium distribution, then we have positive work extraction from the coupled system.
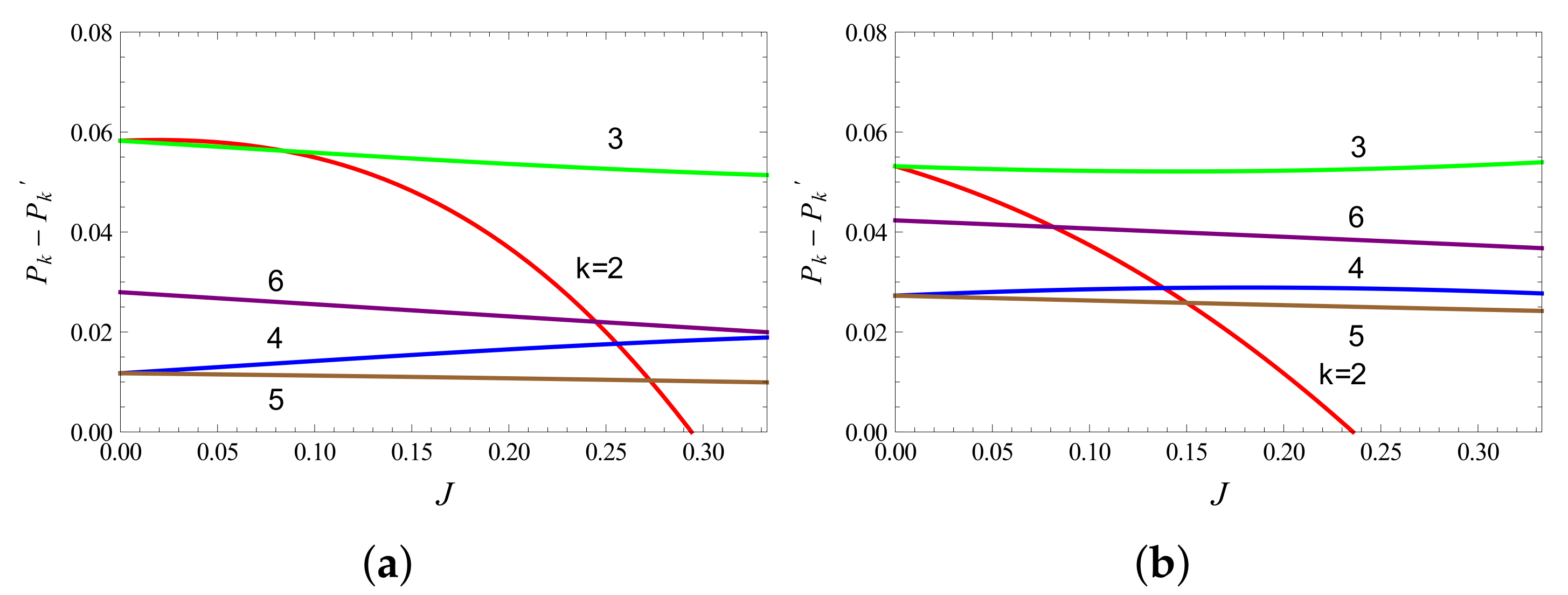
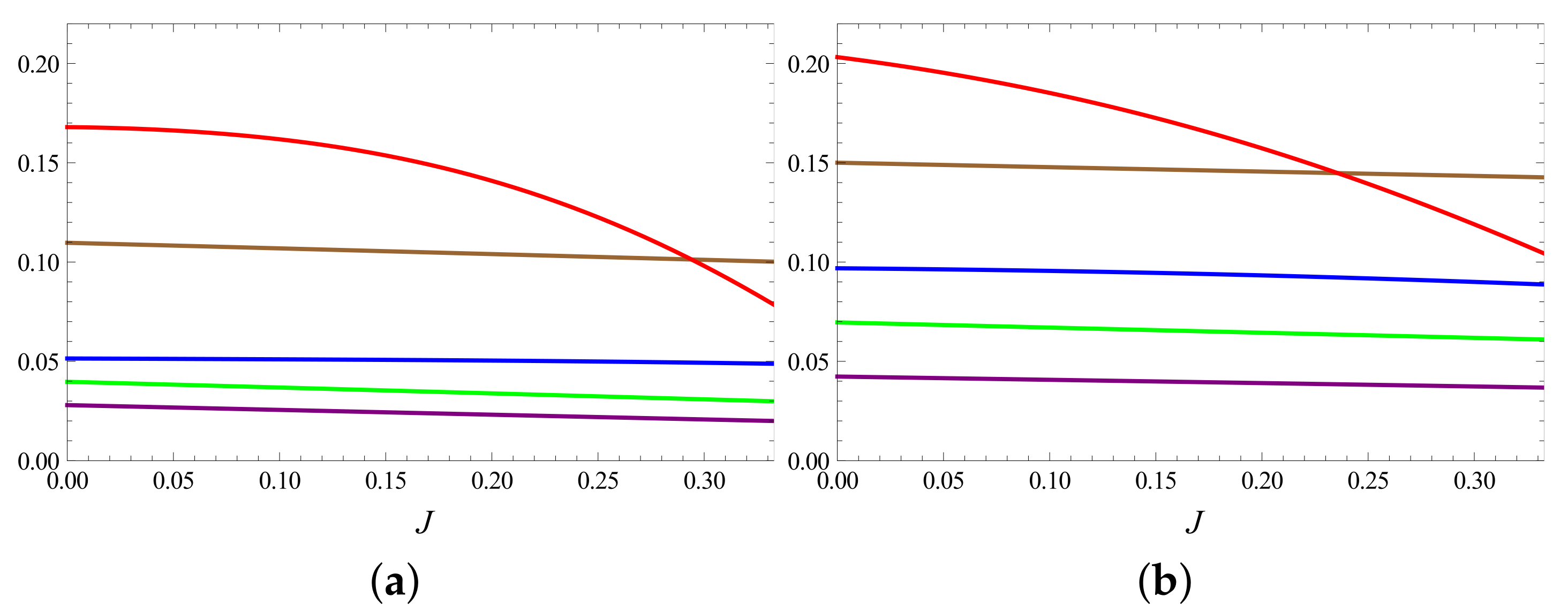
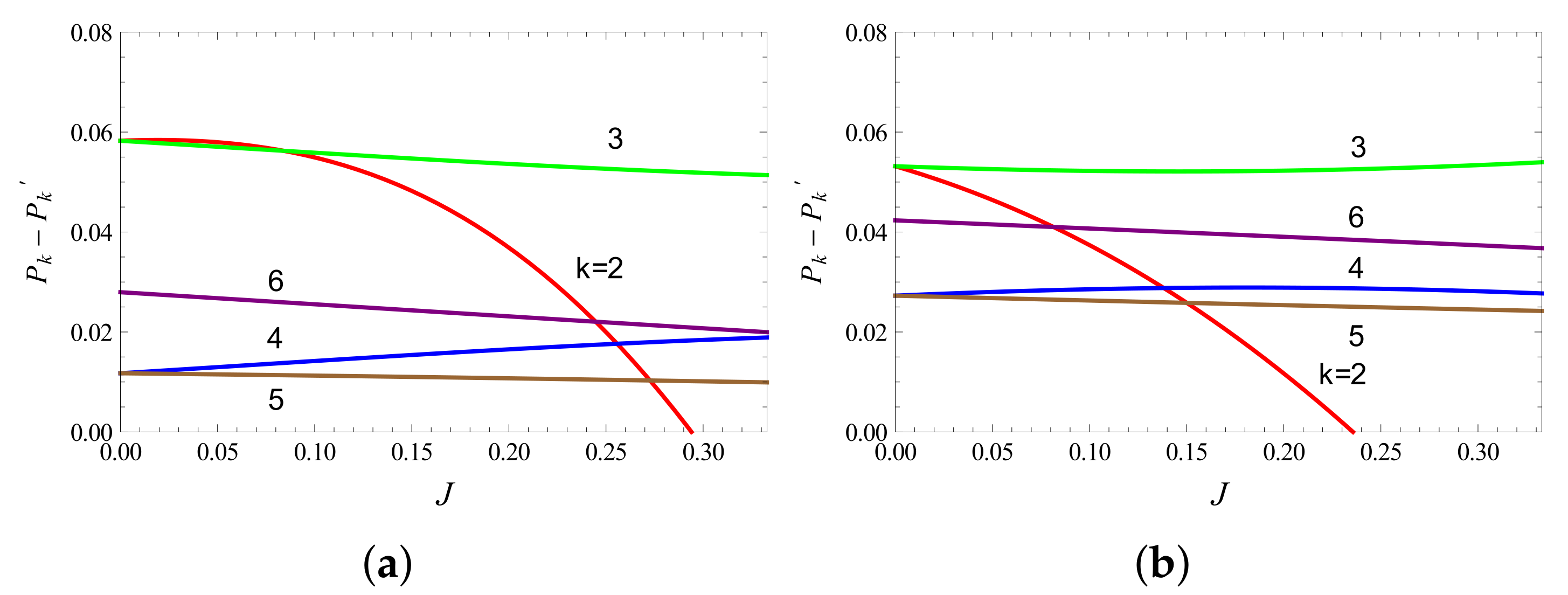
It is possible to find a range of parameter values which satisfy Equation (17). In Figure 2, we show the behaviour of for () system. It is observed that changes sign within the range , indicating that every condition of Equation (17) may not hold in this range, especially at high bath temperatures. However, we observe that the majorization conditions continue to hold and , even if (see Figure 3).
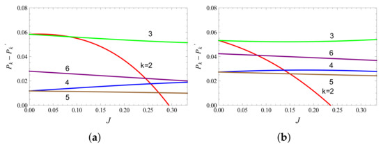
Figure 2.
(a) Variation of with the coupling factor J for system, with k values ranging from 2 to 6. The parameters are set at , with temperatures (a) and (b) . Here, . The value of J for which (red curve) changes sign (from positive to negative) approaches for lower temperatures (see also Figure 3).
Figure 3.
Majorization conditions shown by positivity of all quantities (purple), (green), (blue), (brown) and (red) as function of the coupling strength J for () system of Figure 2. The parameters are set at , with temperatures (a) and (b) . The point where the red curve intersects the lower curve is where . It is observed that for higher bath temperatures (for a given ratio ), this point shifts to lower J values.
3.2. Energy Level Ordering
The actual arrangement of the energy eigenvalues depends on the positive work conditions derived above. As for the relative position of energy level, it will not change, because it is the highest energy eigenvalue of the system regardless of the coupling strength J. The ground state or the minimum energy state will be decided as follows.
There are two energy levels and which can possibly form the ground state of the coupled system, and their energy gap is . Given that and , we can check that the following is the case.
The above implies that , thereby making the lowest energy of the system and the energy of the first excited state. Now, Equation (18) opens different possibilities for the arrangement of other energy levels. For example, the levels and have an energy gap of , and either of them can be at higher energy state than the other, and both the arrangements are acceptable. For the sake of concreteness, we assume the condition that there is no level crossing when is changed to a lower value . One method of arranging the energy levels, in accordance with Equation (18), is shown in Figure 1, which is assumed for the discussion that follows. The net entropy production in one cycle for the coupled system can be written as follows.
In the above expression, due to Equation (9), the first term is always positive, but since , the sign of the second term depends on Y which may not be positive. We will consider the WCS whereby under Equation (15), all terms in the defining sum Y (Equation (12)) are negative, thus making Y negative definite (note that for all k). By defining the following:
we have . The condition, given by Equation (16), on the coupling strength which ensures implies that . Then, for , we have shown in Appendix D that PWC for the coupled system encapsulated in Equations (9) and (16) suffice to prove and hence . This establishes the consistency of our engine with the second law in the considered domain.
4. Efficiency Enhancement and the Upper Bound
In the above, we have established conditions for work extraction in the quantum Otto cycle for the coupled system and verified consistency with the second law. In this section, we explore how the coupling between the spins may enhance the efficiency of the engine.
The heat absorbed from the hot reservoir is given by , where X and Y are as defined in Equation (12). From the energy levels diagram, it is clear that the contribution to the exchanged heat comes solely from levels which depend on parameter J apart from the field B. Now, since , this ’extra’ contribution to heat is not available for conversion into work, and it is wasted if . However, it may be utilized to enhance the efficiency of the cycle if , thus effectively decreasing the heat absorbed from the hot reservoir. Remarkably, the WCS considered earlier implies that all terms entering the sum for Y are negative, and so we have with . Thus, the WCS directly results in a regime where we can expect an enhancement of the efficiency. Thus, for the operational regime discussed in previous sections, we can rewrite the expression for efficiency, as follows:
where . We have proved in Appendix D that . With (Equation (18)), we obtain the following:
where the second inequality follows due to the permissible range of J (Equation (16)). Thus, the expression of the following:
constitutes an upper bound to the system’s efficiency, which is tighter than the Carnot efficiency, and is within the coupling range .
The above expression bounding the efficiency of the Otto cycle is our main result of the paper. This expression is validated with numerical calculations in the discussion section. Note that given by Equation (22) is dependent solely on the field values and the total spin of the two particles, while it is independent of the bath temperatures. This expression generalizes the upper bound derived earlier in Reference [6] for the system.
We close this section with a remark on the three possible spin combinations for our () system:
- When one spin value is a half-integer and the other is an integer;
- When both values are half-integer or both are integers;
- When both are of the same magnitude (both as half-integer or integer).
In this paper, we have discussed the first case only. The only difference between the present case and the other two cases is that, for the latter, when the spins are uncoupled, an energy level with zero energy and -fold degeneracy occurs but that does not affect the performance of the system. The reason is that after the coupling is turned on between the spins, this energy state splits into non-degenerate energy levels, which depend only on the coupling factor J. Since J is kept fixed during the cycle, these levels do not shift in a cycle and hence do not contribute to the average work resulting in the same PWC as already derived for the first case. Similarly, it can be observed that these levels do not change the condition for maximal efficiency enhancement, and same upper bound can be obtained whatever the spin combination may be.
5. Complete Otto Cycles
The working medium for the classical Otto cycle is usually a macroscopic system amenable to thermodynamic treatment. This medium may be a collection of statistically independent, non-interacting individual quantum systems or elements, such as spin- particles or harmonic oscillators and so on. In the adiabatic step of the Otto cycle, the thermodynamic entropy of the working medium stays constant. This implies that there is no intrinsic control on the transitions experienced by individual elements of the working medium.
On the other hand, the working medium of a quantum Otto engine consists of individual elements. In a quasi-static cycle, the isochoric steps are stochastic while the adiabatic steps are deterministic. The quantum adiabatic step is executed slowly enough such that no transition is induced between energy levels of the element, which continues to occupy its initial state throughout the process. Thus, at the level of the ensemble, the occupation probabilities do not change during this process. Thus, such a process imposes maximal control on the evolution of the isolated element, and it is described by a quantum unitary process.
Still, due to the stochastic nature of the contact with the reservoirs, the element may not return to its initial state after the four steps of the cycle. Usually, we are interested in the average properties of the cycle by which the quantities such as heat and work are defined at the ensemble level. In this section, we focus on the complete Otto cycles (COCs) inherent in the average Otto cycle considered in earlier sections. The reason that Otto cycle is so often studied in the quantum thermodynamics literature is that the contributions towards heat and work can be clearly separated into different steps, which helps in the analysis. This distinction also holds at the level of COCs; the interaction of the working medium with a reservoir involves only the exchange of heat with the reservoir, whereas the quantum adiabatic step involves only work.
Consider the COC shown as an engine in Figure 4. If the working medium starts at energy level , then by the end of the four stages it is again found at level . Such a cycle can either run forward as an engine or backwards as a refrigerator. Analysing the performance of COCs is much easier since we are dealing with only two levels at a time without invoking occupation probabilities of the levels and any average quantities.
Figure 4.
Schematic of a complete Otto cycle (COC) as an engine using two heat reservoirs (), involving two energy levels of the working medium. The heat absorbed from the hot reservoir is , while the heat rejected to the cold bath is . The work extracted per complete cycle is .
Let us represent an energy eigenvalue of the uncoupled system as , where varies from . Based on the final (f) and initial (i) values of , let us define the quantity , ranging as . Let denote the heat exchanged with the hot bath, cold bath and the work performed, respectively.
With , we have and if . It is clear that for (), a COC runs as an engine (refrigerator). The net entropy change () is contributed only by the reservoirs. Thereby, we obtain the following.
Now, for , the condition ensures that , or we may say that the second law is then satisfied at the level of COC. Note that there is a subtle difference in the statement about the second law at the level of a COC versus the average performance level. In the former case, guarantees the operation of an engine, whereas the additional condition (9), i.e., makes this operation consistent with the second law. On the other hand, for the average operation as an engine, we require , which itself requires the condition (9). The latter then automatically ensures consistency with the second law at the level of average performance.
Moreover, note that we do not impose the second law at the level of a COC, and the net entropy change for a COC may be negative, as for instance with or a COC operating as a refrigerator if . Thus, we do not imply that COCs with do not happen. These observations result in the following interesting conclusion about the uncoupled model. A consistency with the second law for the average performance as engine ensures consistency with the second law for a COC as engine and vice versa.
Let us next study the effect of coupling between the spins. Now, there are no degenerate levels. Let us express an energy eigenvalue of the coupled system as , where the values are given in Table A2. The levels with same were originally degenerate in the uncoupled model. For the coupled model, energy levels belong to the same band if they have the same value of but have different values of . Furthermore, note that in every band there is one level that stays at the same energy even after the coupling is switched on. Now, for a COC between any two energy levels of the coupled system, the general forms of heat exchanged with the reservoirs, and and the work performed, , can be written as follows:
with and . The net entropy change in one cycle is the following.
We discuss the possible COCs as below stated below.
- : These cycles occur between any two different energy bands having the same . Therefore, if such a cycle proceeds as an engine (), its efficiency is . From Equation (24), this COC is consistent with the second law for .
- : These cycles are possible between energy levels of the same band, i.e., having same . The work performed is zero, and the heat exchanged is . Thus, for , the corresponding efficiency is also zero.
- with the same sign: These cycles are possible between different bands for levels with different and . If such cycles proceed as engine, i.e., (and ), then the corresponding efficiency is the following.From Equation (24), this type of COC is consistent with the second law for , without imposing any further condition on the coupling strength . Therefore, if the second law allows COCs with , then it also allows COCs with .
- with opposite signs: These cycles occur between energy levels of different bands with different and . If for such cycles (and ), the corresponding efficiency is as follows.
From Equation (24), this COC is allowed by the second law if and the following is the case.
Now, we look for the values of x and y which place the most stringent condition on the second law (Equation (24)) or, in other words, render as the least positive. This will be the worst-case scenario (WCS) in this context, as other values of x and y would yield a larger upper bound . Thus, the range imposed by the WCS will hold for all COCs, making all of them consistent with the second law.
The first term in Equation (24) takes the minimum value if . For the second term, let denote the minimum value of y. Then, we obtain . Substituting the above values of x and y in Equation (27), we obtain the following range of J.
Therefore, it follows that for and within the range , all the COCs perform as an engine and satisfy the second law.
Now, from the probabilistic or average analysis, we concluded that the conditions and the coupling range ensure the average performance as an engine. In order to compare the two ranges for J, note that , where the equality is obtained for implying that, in general, . This has the following important consequence. The range for the parameter J in which the machine behaves as an engine on average subsumes the range for J in which all COCs, performing as an engine, are also consistent with the second law. Conversely, if we restrict to the range , allowing all COCs running as engine to follow the second law, then the average operation as an engine in that range of parameters is also consistent with the second law.
Moreover from Section 5, we learn that out of all the possible COCs with , the maximum possible value of efficiency is obtained from Equation (26) for minimum x, i.e., and , given by the following.
This cycle is allowed by the second law for the condition and in the range of coupling. Interestingly, the coupling range required for goes beyond since . The case of is obtained when we substitute in Equation (27), and out of all the COCs allowed in this range, the maximum efficiency is given as follows: . The latter value is same as the upper bound, , inferred by analysing the average performance of the system. As it can be observed, . For the special case of working medium, and values coincide irrespective of the value of , resulting in .
6. Discussion
We have analyzed the performance of a quantum Otto engine based on a working medium with a complex energy spectrum. An insight into the possible operational regimes is hard to obtain analytically for such a system. Using a heuristic-based approach and employing techniques such as worst-case/best-case reasoning, we have highlighted a regime in which the machine definitely works as an engine on average. These set of conditions can be related to the concept of majorization for the given model. Thereby, we find that majorization serves as a more robust criterion for positive work extraction from our engine.
We also introduced an analysis based on complete Otto cycles (COCs). Compared to the probabilistic analysis, the COC approach is much simpler and straightforward. The latter utilizes much less information than the ’average’ analysis, and the conclusions so obtained may not be as general. However, as a starting point, the criteria for COCs may serve as a useful heuristic to gain insight into the average performance of the Otto machine. As we have observed, there is an interesting correspondence between the COCs and the average Otto cycle with regard to the validity of the second law. One of our main results is an explicit expression for the upper bound of Otto efficiency for the coupled system. This expression reduces to the one found for the () case, with [6], or to the case of coupled, effective two-level systems [18]. The dependence of the average efficiency on coupling factor J and validity of the upper bound is demonstrated in Figure 5.
Figure 5.
Variation of efficiency (solid lines) for different values of spin , with and . The corresponding upper bounds () have been shown by dashed lines. The uncoupled efficiency () is shown by the horizontal black line.
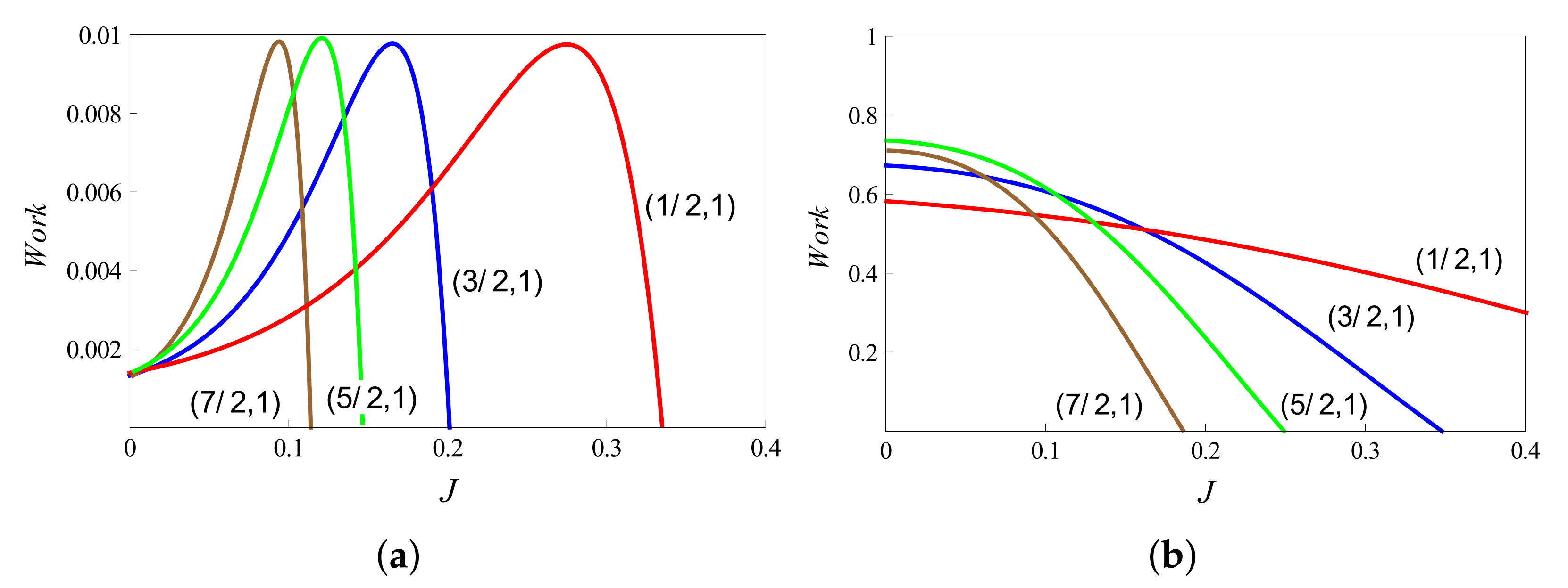
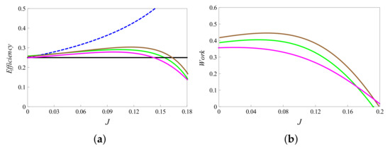
In addition to the above analytic approaches, we may also numerically study the implications of using higher spins on the performance of thermal machines. In order to make a few observations, we note that the higher values shift the maximum of work to the weak coupling regimes as shown in Figure 6a. Thus, higher magnitudes of spin may be a useful resource to achieve more work output for weak coupling strengths. Numerical analysis also shows that increasing the bath temperatures may increase the work output by orders of magnitude (see Figure 6b). We also observe an extended regime of positive work extraction from the system at high temperatures and this effect is more pronounced for lower “s” values. Along these lines, variations of the efficiency and work output with the coupling factor J may be studied, where and are varied for a fixed s value. Figure 7 shows different cases for the case of . Note that and (which depend on s and not on the values of individual spins) are the same for a given s.
Figure 6.
Variation of extracted work with coupling strength J for different spin combinations (). The fields are set at values , and the bath temperatures are as follows: (a) ,; (b) .
Figure 7.
Variation of (a) efficiency and (b) work with coupling strength J for different spin combinations (), where is held fixed. The solid pink, green and brown lines show the variation for and cases, respectively. The parameters are set at values and . Here, . The upper bound and the uncoupled efficiency are shown by dashed blue and black lines in (a), respectively. The Carnot efficiency is .
Finally, other possible domains of operation such as the refrigerator and accelerator may be addressed by using the techniques explored in this paper. The study of local thermodynamics of individual spins relative to the global performance, and other models of coupled spins featuring different interactions are some of the potential avenues of future inquiry.
Author Contributions
V.M. performed the calculations and developed the main proofs. R.S.J. developed the concept of majorization and complete Otto cycles. The paper was written jointly by the authors. All authors have read and agreed to the published version of the manuscript.
Funding
This research received no external funding.
Institutional Review Board Statement
Not applicable.
Informed Consent Statement
Not applicable.
Data Availability Statement
Not applicable.
Conflicts of Interest
The authors declare no conflict of interest.
Appendix A. PWC for the Coupled Model
The net work extracted from the system when and are uncoupled is given as . Since we assume , we need to find conditions for to hold. In other words, we have the following:
where . Let us denote the term in v with the largest coefficient s as follows.
We will show that implies . In other words, if the term with largest coefficient in is negative, the system cannot work as an engine.
Lemma A1.
implies .
Let us look at the explicit expression of :
where is the partition function for the system given by Equation (5). The above expression is of the following form.
Let us observe the function . First, due to canonical form of probabilities, we know that , and so . Then, for a given value , if we increase the temperature , thereby decreasing , we know that the difference decreases and vice versa. This implies that is a monotonically increasing function of . The same is also true for .
Since is a monotonic increasing function of , so if , the following condition must hold.
The above condition further implies , and so we have the following.
We now rewrite the expression of v as follows.
Now, if and Equation (A4) holds, then in the first term above accompanying the coefficient s, we have the following.
Similarly, in the second term of the expression for v, we have the following:
and so on until we have the following in the last term.
It is important to note that Equation (A4) does not imply any definite relation between and for . On the other hand, it is clear from Equation (A7) that for all would favor the case . Thus, assuming , we will now consider the BCS (Best Case Scenario), mathematically written as the following:
and show that . The proof is as follows.
Proof.
It has been noted earlier that implies Equation (A4) and . From inspection of the form of canonical probabilities, this further results in , ∀. Using these relations in the normalization condition of probabilities given as we have along with the following.
Moreover, under BCS, we have the following.
□
Adding all the above inequalities, we arrive at the result , thereby proving Lemma A1.
Lemma A2.
implies .
Using the monotonic property of L, it is obvious that if , the following must hold.
It can be observed that the above condition implies and . Equation (A9) favors as it results in the following condition:
in all the terms in Equation (A7), as for all the upper-half levels, i.e., for (see Table A2). Moreover, under Equation (A9), positivity of Equation (A7) is always favored irrespective of the relation between and for all . As for the rest of the occupation probabilities, Equation (A9) does not imply any relation between them except for . However, it is obvious from Equation (A7) that for all would not favor .
Thus, assuming , we will now consider the WCS (Worst Case Scenario), mathematically written as the following:
and then show that . This would prove Lemma A2.
Proof.
The condition yields Equation (A9), resulting in , which further implies the following.
□
Thus, we can write the following.
These inequalities, along with the normalization of each probability distribution, imply the following.
Now, by using Equation (A11) and the normalization of probability distributions, we can write the following:
along with the following conditions.
Moreover, under WCS, we have the following.
Adding all the above inequalities, we obtain , thereby proving Lemma 2 and concluding that , or Equation (A9), is a necessary and sufficient condition for positive work extraction from the uncoupled spin system.
Appendix B. PWC for the Coupled Model
When the spins are interacting, the work extracted is given as follows:
where . The explicit expressions of occupation probabilities are given in Table A1. With , we need to find the condition for which we have , where the following is the case.
As shown in Appendix A, for the uncoupled spins case, the term with the largest coefficient (s) must be positive, i.e., , for the system to run as an engine and that is possible if the system’s parameters satisfy Equation (A9). Now, we are interested in seeking additional conditions which ensure positive work extraction for the coupled case, provided that the uncoupled model works as an engine.
For completeness, we first show that the same conditions as (A9) also serve as PWC for the coupled model. In order to prove it, consider the term . We will first show that the opposite condition, given by Equation (A4), yields and so . Assuming Equation (A4), we have as well as the following.
Now, it can be observed from the explicit expressions of and that for , Equation (A4) implies . Therefore, we conclude that, under Equation (A4), is negative definite. Consider now the expression of X, rewritten as the following.
As it can be observed, Equation (A4) or implies that the following conditions:
hold in all the terms in Equation (A16) since . Similar to the uncoupled case, the sign of X does not depend on the relation between and for all . However, a definite relation between and for is not apparent under Equation (A4). By considering the BCS that is mathematically written as follows:
and then showing will prove that or Equation (A4) cannot make the coupled system work as an engine.
Now Equation (A17) results in the following conditions.
In this manner, all the relations given by Equation (A18) follow from Equations (A4) and (A17). Moreover, as noted above, Equation (A4) implies . Therefore, using all these relations in the normalization condition of probabilities, we obtain the following.
Relations (A18) along with imply the following.
Under BCS, we have the following.
Adding all the above inequalities, we obtain the result that . This means that under Equation (A4), and X are negative definite.
On the other hand, Equation (A9) implies , which further yields . However, unlike the case with the uncoupled model, this does not determine the relative magnitudes of the ground state probabilities and (explicit expressions of these probabilities are given in Table A1). Therefore, here, we cannot be sure of the sign of the quantity . Now, due to Equation (A9), we note that
holds in all the terms in Equation (A16). Moreover, note that is always favored under this condition irrespective of the relation between and for all . The relation between and for is also not apparent under Equation (A9). As in the uncoupled case, here we will also consider the WCS written as follows.
Now, WCS results in the following conditions.
For example, by using Equation (A9) and (from (A19)), we have the following:
and, thus, all the relations given by Equation (A20) follow from Equations (A9) and (A19). Moreover, Equation (A9) implies , as shown above. Thus, in total, we obtain the following.
Thereby, due to the normalization condition on probabilities, we conclude the following.
Table A1.
Stage 1 occupation probabilities of the energy levels of the coupled spin system. is smaller of the two spins in the terms involving the factor .
In this manner, the WCS provides definite relations between the two probability distributions. We may combine Equations (A21) and (A22) to write the following.
Now, as shown in Appendix C, the above inequality yields the strictest condition on the permissible range of J, which is obtained for , and is given as follows.
It implies that for J to be in the above range, all inequalities (A23) hold good.
Now, using Equation (A20) and in the normalization condition of probabilities, we have the following.
Adding all the above inequalities, we have . Therefore, we conclude that, for WCS, the following conditions ensure : and , where .
Let us sum up the above discussion. There are two relevant cases.
- (a)
- , which implies the following:
- 1
- ;
- 2
- , thereby proving that under , it is not possible for the coupled system to work as an engine at all.
- (b)
- , which implies the following:
- 1
- does not bear a definite sign. Although the term () in is positive definite, yet the sign of the other term () is not definite;
- 2
- Under WCS, we are able to prove for , thereby implying that it is a necessary condition for . However, WCS also demands or . Therefore, the latter constitutes a sufficient condition for .
- 3
- When does not hold, does not have definite sign. Thus, depending on the control parameters, other terms in X can be positive. In this case, we cannot predict the sign of .
Therefore, we conclude the following regarding positive work extraction for the coupled model.
- a
- If (which happens for ), then .
- b
- If (which happens for and ), then .
- c
- If no definite sign can be assigned to (which may happen even when holds, but with no condition on the range of J), the system may or may not work as an engine.
Appendix C. Condition on J from Wav > 0
From the conditions given by Equations (A21) and (A22), we obtained Equation (A23), which results in the following.
The above condition yields different possible ranges for J corresponding to different energies . Out of these, the shortest range will clearly be permissible for all energy levels. Thus, we will find the strictest condition on J that ensures . Let us express an energy eigenvalue as the following.
As can be observed from Figure 1, there are energy bands in the spectrum of the coupled system such that the energy levels corresponding to the same band have an identical value of , but different values of . From the spectrum, we observe that varies from the minimum value of up to , while can only take positive values (see Table A2).
Table A2.
Spin dependent factors and when the energy eigenvalues of the coupled system are expressed as the following: . The energy levels “k” which fall within the same band (i.e., having same ) have also been specified.
Equation (A25) now takes the following form.
Now within one band (fixed value of ), it is obvious that the highest value will give the strictest condition on J. Now, by referring to the spectrum, we infer that for where , the largest value of denoted by is
Substituting these values on R.H.S of Equation (A27), we obtain the upper limit on J as the following.
Now, the strictest condition on the range of J will be obtained for the lowest permissible value of q, i.e., (since for ). Thus, we obtain the following.
Therefore, we conclude that for the above range, we have . Note that Equation (A28) is obtained for and , which corresponds to the first excited state of the coupled system.
Appendix D. Proof for X > Y1
As discussed in the main text, for proving we need to show the following:
for a case where all the terms of are negative.
We will show that the PWCs, given by Equations (9) and (16), derived for the coupled model are enough to show the above relation and hence . As already proved in the previous sections that with , the condition is obtained by combining the following set of conditions and then substituting .
Equation (A29) also implies maximally negative Y. will now be proved using Equation (A29) where X and Y are given by Equation (12).
Before starting the proof, note that all the levels contribute to X but only the J dependent levels contribute to . The steps followed for proving under relations Equation (A29) are as follows:
- We first consider the lower half levels. With being negative for all (see Table A2), the total contribution from these levels to X takes the following form.Similarly, the coefficients of these terms in can be calculated from Table A2 as (note that holds for all k).Now, we add these to obtain the coefficients of these terms in U, denoted by , which have been listed in Table A3. As can be observed, has a positive part given by "s" and a negative part, say . The total contribution from the lower half levels to U is therefore written as follows.With , the second part is positive because of Equation (A29), and the first part is considered later on.
Table A3.
Coefficients of the terms () in U with k varying from .
- 2.
- We now consider the upper half levels. The total contribution of these levels to X and is considered separately. The former is given as the following.With being positive (Table A2) for all , the above expression is positive because of Equation (A29).As for these levels’ contribution to , it is given as the following.
Table A4.
Coefficients (obtained from Table A2) of the terms () in with k running over all upper half energy levels i.e., .
- 3.
- Adding up the total contribution to U from all the energy levels we have the following.From the first and second points, we now have two parts which are yet to be proved positive. Their sum is given as follows.Using relations such as and (from Equation (A29)) and in the normalization condition of the following probabilities:we have the following.As shown below, . Therefore, with , we can safely replace s by in the above inequality, thereby proving .
Proof for m5 < s
In order to prove , consider as an example the level, the explicit expression of the occupation probability is the following:
and (see Table A4). On carefully observing the energy spectrum, it can be observed that the energy level corresponding to this occupation probability exists only if the sum of spins in the power of the exponent satisfies . Similarly, holds in and holds in . Thus, this is true for all the energy eigenvalues. Since (Equation (A29)), we therefore have the following.
Similarly, we have the following.
The last inequality follows from the fact . This proves .
As an illustration of the above proof for the upper bound of Otto efficiency, we consider the () coupled system (Figure A1), where .
Figure A1.
Energy levels of the coupled two-spins system , where .
The Stage 1 equilibrium occupation probabilities of these levels are of the form: , where the spin-dependent factors and have been specified in Table A5. The partition function is as follows
with
Table A5.
Spin dependent factors and for the coupled system when the energy eigenvalues are expressed as: .
The heat absorbed from the hot bath and average works are given as follows:
where
Proof.
Proof for □
As discussed in the main text, we will be proving by using Equation (A29) and the condition . Note that all levels contribute to X but only the J dependent levels ( and ) contribute to Y. The steps followed for proving under relations Equation (A29) are as follows.
- We first consider the lower half () of the levels. With being negative (see Table A5), the total contribution from these levels to X takes the form of the following.Similarly, contribution of lower half levels to is written as follows.The total contribution of the lower half levels to U is as follows.The second part is positive because of Equation (A29), and the first part is considered later on.
- We now consider the upper half levels. The total contribution of these levels to X and is considered separately. The former is given as follows.The above expression is positive because of Equation (A29).As for these levels’ contribution to , it is given as the following.This part is negative and will be considered later on.
- From points one and two the following terms in U are yet to be shown positive.Using relations such , (from Equation (A29)) and in the normalization condition of probabilities, given as the following:we have the following.With and ( for the present case), we can safely replace s by 1 in the the above expression, thereby proving .
References
- Gemmer, J.; Michel, M.; Mahler, G. Quantum Thermodynamics: Emergence of Thermodynamic Behavior within Composite Quantum Systems; Springer: Berlin/Heidelberg, Germany, 2009; Volume 784. [Google Scholar]
- Kosloff, R. Quantum thermodynamics: A dynamical viewpoint. Entropy 2013, 15, 2100–2128. [Google Scholar] [CrossRef] [Green Version]
- Binder, F.; Correa, L.A.; Gogolin, C.; Anders, J.; Adesso, G. Thermodynamics in the quantum regime. Fundam. Theor. Phys. 2018, 195. [Google Scholar] [CrossRef]
- Quan, H.T.; Liu, Y.X.; Sun, C.P.; Nori, F. Quantum thermodynamic cycles and quantum heat engines. Phys. Rev. E 2007, 76, 031105. [Google Scholar] [CrossRef] [Green Version]
- Allahverdyan, A.E.; Johal, R.S.; Mahler, G. Work extremum principle: Structure and function of quantum heat engines. Phys. Rev. E 2008, 77, 041118. [Google Scholar] [CrossRef] [PubMed] [Green Version]
- Thomas, G.; Johal, R.S. Coupled quantum Otto cycle. Phys. Rev. E 2011, 83, 031135. [Google Scholar] [CrossRef] [Green Version]
- Esposito, M.; Kumar, N.; Lindenberg, K.; Van den Broeck, C. Stochastically driven single-level quantum dot: A nanoscale finite-time thermodynamic machine and its various operational modes. Phys. Rev. E 2012, 85, 031117. [Google Scholar] [CrossRef] [PubMed] [Green Version]
- Kolář, M.; Gelbwaser-Klimovsky, D.; Alicki, R.; Kurizki, G. Quantum bath refrigeration towards absolute zero: Challenging the unattainability principle. Phys. Rev. Lett. 2012, 109, 090601. [Google Scholar] [CrossRef] [Green Version]
- Levy, A.; Kosloff, R. Quantum absorption refrigerator. Phys. Rev. Lett. 2012, 108, 070604. [Google Scholar] [CrossRef] [PubMed] [Green Version]
- Hewgill, A.; Ferraro, A.; De Chiara, G. Quantum correlations and thermodynamic performances of two-qubit engines with local and common baths. Phys. Rev. A 2018, 98, 042102. [Google Scholar] [CrossRef] [Green Version]
- Agarwal, G.S.; Chaturvedi, S. Quantum dynamical framework for Brownian heat engines. Phys. Rev. E 2013, 88, 012130. [Google Scholar] [CrossRef] [PubMed] [Green Version]
- Correa, L.A.; Palao, J.P.; Adesso, G.; Alonso, D. Performance bound for quantum absorption refrigerators. Phys. Rev. E 2013, 87, 042131. [Google Scholar] [CrossRef] [Green Version]
- Del Campo, A.; Goold, J.; Paternostro, M. More bang for your buck: Super-adiabatic quantum engines. Sci. Rep. 2014, 4, 1–5. [Google Scholar]
- Gelbwaser-Klimovsky, D.; Alicki, R.; Kurizki, G. Minimal universal quantum heat machine. Phys. Rev. E 2013, 87, 012140. [Google Scholar] [CrossRef] [PubMed] [Green Version]
- Venturelli, D.; Fazio, R.; Giovannetti, V. Minimal self-contained quantum refrigeration machine based on four quantum dots. Phys. Rev. Lett. 2013, 110, 256801. [Google Scholar] [CrossRef] [Green Version]
- Long, R.; Liu, W. Performance of quantum Otto refrigerators with squeezing. Phys. Rev. E 2015, 91, 062137. [Google Scholar] [CrossRef] [PubMed]
- Ou, C.; Abe, S. Exotic properties and optimal control of quantum heat engine. EPL (Europhys. Lett.) 2016, 113, 40009. [Google Scholar] [CrossRef] [Green Version]
- Mehta, V.; Johal, R.S. Quantum Otto engine with exchange coupling in the presence of level degeneracy. Phys. Rev. E 2017, 96, 032110. [Google Scholar] [CrossRef] [Green Version]
- Erdman, P.A.; Mazza, F.; Bosisio, R.; Benenti, G.; Fazio, R.; Taddei, F. Thermoelectric properties of an interacting quantum dot based heat engine. Phys. Rev. B 2017, 95, 245432. [Google Scholar] [CrossRef] [Green Version]
- Watanabe, G.; Venkatesh, B.P.; Talkner, P.; del Campo, A. Quantum Performance of Thermal Machines over Many Cycles. Phys. Rev. Lett. 2017, 118, 050601. [Google Scholar] [CrossRef] [Green Version]
- Chand, S.; Biswas, A. Measurement-induced operation of two-ion quantum heat machines. Phys. Rev. E 2017, 95, 032111. [Google Scholar] [CrossRef] [Green Version]
- Agarwalla, B.K.; Jiang, J.H.; Segal, D. Quantum efficiency bound for continuous heat engines coupled to noncanonical reservoirs. Phys. Rev. B 2017, 96, 104304. [Google Scholar] [CrossRef] [Green Version]
- Niedenzu, W.; Mukherjee, V.; Ghosh, A.; Kofman, A.G.; Kurizki, G. Quantum engine efficiency bound beyond the second law of thermodynamics. Nat. Commun. 2018, 9, 1–13. [Google Scholar] [CrossRef] [Green Version]
- Zhang, K.; Zhang, W. Quantum optomechanical straight-twin engine. Phys. Rev. A 2017, 95, 053870. [Google Scholar] [CrossRef] [Green Version]
- Türkpençe, D.; Altintas, F. Coupled quantum Otto heat engine and refrigerator with inner friction. Quantum Inf. Process. 2019, 18, 255. [Google Scholar] [CrossRef]
- Çakmak, B.; Müstecaplıoğlu, Ö.E. Spin quantum heat engines with shortcuts to adiabaticity. Phys. Rev. E 2019, 99, 032108. [Google Scholar] [CrossRef] [PubMed] [Green Version]
- Xu, H.; Yung, M.H. Unruh quantum Otto heat engine with level degeneracy. Phys. Lett. B 2020, 801, 135201. [Google Scholar] [CrossRef]
- de Assis, R.J.; Sales, J.S.; Mendes, U.C.; de Almeida, N.G. Two-level quantum Otto heat engine operating with unit efficiency far from the quasi-static regime under a squeezed reservoir. J. Phys. B At. Mol. Opt. Phys. 2021, 54, 095501. [Google Scholar] [CrossRef]
- Huang, X.; Yang, A.; Zhang, H.; Zhao, S.; Wu, S. Two particles in measurement-based quantum heat engine without feedback control. Quantum Inf. Process. 2020, 19, 1–14. [Google Scholar] [CrossRef]
- Zhang, Y. Optimization performance of quantum Otto heat engines and refrigerators with squeezed thermal reservoirs. Phys. A Stat. Mech. Its Appl. 2020, 559, 125083. [Google Scholar] [CrossRef]
- Lee, S.; Ha, M.; Park, J.M.; Jeong, H. Finite-time quantum Otto engine: Surpassing the quasistatic efficiency due to friction. Phys. Rev. E 2020, 101, 022127. [Google Scholar] [CrossRef] [PubMed] [Green Version]
- Chand, S.; Biswas, A. Critical-point behavior of a measurement-based quantum heat engine. Phys. Rev. E 2018, 98, 052147. [Google Scholar] [CrossRef] [Green Version]
- Hong, Y.; Xiao, Y.; He, J.; Wang, J. Quantum Otto engine working with interacting spin systems: Finite power performance in stochastic thermodynamics. Phys. Rev. E 2020, 102, 022143. [Google Scholar] [CrossRef]
- Dey, A.; Bhakuni, D.S.; Agarwalla, B.K.; Sharma, A. Quantum entanglement and transport in a non-equilibrium interacting double-dot system: The curious role of degeneracy. J. Phys. Condens. Matter 2019, 32, 075603. [Google Scholar] [CrossRef] [Green Version]
- Latune, C.L.; Sinayskiy, I.; Petruccione, F. Apparent temperature: Demystifying the relation between quantum coherence, correlations, and heat flows. Quantum Sci. Technol. 2019, 4, 025005. [Google Scholar] [CrossRef] [Green Version]
- Halpern, N.Y.; White, C.D.; Gopalakrishnan, S.; Refael, G. Quantum engine based on many-body localization. Phys. Rev. B 2019, 99, 024203. [Google Scholar] [CrossRef] [Green Version]
- de Assis, R.J.; de Mendonça, T.M.; Villas-Boas, C.J.; de Souza, A.M.; Sarthour, R.S.; Oliveira, I.S.; de Almeida, N.G. Efficiency of a quantum Otto heat engine operating under a reservoir at effective negative temperatures. Phys. Rev. Lett. 2019, 122, 240602. [Google Scholar] [CrossRef] [PubMed] [Green Version]
- Park, J.M.; Lee, S.; Chun, H.M.; Noh, J.D. Quantum mechanical bound for efficiency of quantum Otto heat engine. Phys. Rev. E 2019, 100, 012148. [Google Scholar] [CrossRef] [Green Version]
- Johnson, C.V. Holographic heat engines as quantum heat engines. Class. Quantum Gravity 2020, 37, 034001. [Google Scholar] [CrossRef] [Green Version]
- Abiuso, P.; Miller, H.J.; Perarnau-Llobet, M.; Scandi, M. Geometric optimisation of quantum thermodynamic processes. Entropy 2020, 22, 1076. [Google Scholar] [CrossRef]
- Abah, O.; Paternostro, M.; Lutz, E. Shortcut-to-adiabaticity quantum Otto refrigerator. Phys. Rev. Res. 2020, 2, 023120. [Google Scholar] [CrossRef]
- Singh, V.; Pandit, T.; Johal, R.S. Optimal performance of a three-level quantum refrigerator. Phys. Rev. E 2020, 101, 062121. [Google Scholar] [CrossRef]
- Myers, N.M.; Deffner, S. Bosons outperform fermions: The thermodynamic advantage of symmetry. Phys. Rev. E 2020, 101, 012110. [Google Scholar] [CrossRef] [Green Version]
- Wang, Q. Performance of quantum heat engines under the influence of long-range interactions. Phys. Rev. E 2020, 102, 012138. [Google Scholar] [CrossRef]
- Makarov, D.N. Quantum entanglement and reflection coefficient for coupled harmonic oscillators. Phys. Rev. E 2020, 102, 052213. [Google Scholar] [CrossRef]
- Peña, F.J.; Zambrano, D.; Negrete, O.; De Chiara, G.; Orellana, P.A.; Vargas, P. Quasistatic and quantum-adiabatic Otto engine for a two-dimensional material: The case of a graphene quantum dot. Phys. Rev. E 2020, 101, 012116. [Google Scholar] [CrossRef] [PubMed] [Green Version]
- Shirai, Y.; Hashimoto, K.; Tezuka, R.; Uchiyama, C.; Hatano, N. Non-Markovian effect on quantum Otto engine: Role of system-reservoir interaction. Phys. Rev. Res. 2021, 3, 023078. [Google Scholar] [CrossRef]
- Camati, P.A.; Santos, J.F.G.; Serra, R.M. Employing non-Markovian effects to improve the performance of a quantum Otto refrigerator. Phys. Rev. A 2020, 102, 012217. [Google Scholar] [CrossRef]
- Gelbwaser-Klimovsky, D.; Kopylov, W.; Schaller, G. Cooperative efficiency boost for quantum heat engines. Phys. Rev. A 2019, 99, 022129. [Google Scholar] [CrossRef] [Green Version]
- Jiao, G.; Zhu, S.; He, J.; Ma, Y.; Wang, J. Fluctuations in irreversible quantum Otto engines. Phys. Rev. E 2021, 103, 032130. [Google Scholar] [CrossRef] [PubMed]
- Adesso, G.; Ragy, S.; Lee, A.R. Continuous variable quantum information: Gaussian states and beyond. Open Syst. Inf. Dyn. 2014, 21, 1440001. [Google Scholar] [CrossRef] [Green Version]
- Scappucci, G.; Kloeffel, C.; Zwanenburg, F.A.; Loss, D.; Myronov, M.; Zhang, J.J.; De Franceschi, S.; Katsaros, G.; Veldhorst, M. The germanium quantum information route. Nat. Rev. Mater. 2020, 1–18. [Google Scholar] [CrossRef]
- Goold, J.; Huber, M.; Riera, A.; Del Rio, L.; Skrzypczyk, P. The role of quantum information in thermodynamics—A topical Rev. J. Phys. A Math. Theor. 2016, 49, 143001. [Google Scholar] [CrossRef]
- Liu, X.; Hersam, M.C. 2D materials for quantum information science. Nat. Rev. Mater. 2019, 4, 669–684. [Google Scholar] [CrossRef]
- Roßnagel, J.; Dawkins, S.T.; Tolazzi, K.N.; Abah, O.; Lutz, E.; Schmidt-Kaler, F.; Singer, K. A single-atom heat engine. Science 2016, 352, 325–329. [Google Scholar] [CrossRef] [PubMed] [Green Version]
- Maslennikov, G.; Ding, S.; Hablützel, R.; Gan, J.; Roulet, A.; Nimmrichter, S.; Dai, J.; Scarani, V.; Matsukevich, D. Quantum absorption refrigerator with trapped ions. Nat. Commun. 2019, 10, 1–8. [Google Scholar] [CrossRef] [PubMed]
- Ono, K.; Shevchenko, S.; Mori, T.; Moriyama, S.; Nori, F. Analog of a quantum heat engine using a single-spin qubit. Phys. Rev. Lett. 2020, 125, 166802. [Google Scholar] [CrossRef]
- Cimini, V.; Gherardini, S.; Barbieri, M.; Gianani, I.; Sbroscia, M.; Buffoni, L.; Paternostro, M.; Caruso, F. Experimental characterization of the energetics of quantum logic gates. NPJ Quantum Inf. 2020, 6, 1–8. [Google Scholar] [CrossRef]
- Benenti, G.; Casati, G.; Saito, K.; Whitney, R.S. Fundamental aspects of steady-state conversion of heat to work at the nanoscale. Phys. Rep. 2017, 694, 1–124. [Google Scholar] [CrossRef] [Green Version]
- Gelbwaser-Klimovsky, D.; Niedenzu, W.; Kurizki, G. Thermodynamics of quantum systems under dynamical control. In Advances In Atomic, Molecular, and Optical Physics; Elsevier: Amsterdam, The Netherlands, 2015; Volume 64, pp. 329–407. [Google Scholar]
- Roßnagel, J.; Abah, O.; Schmidt-Kaler, F.; Singer, K.; Lutz, E. Nanoscale heat engine beyond the Carnot limit. Phys. Rev. Lett. 2014, 112, 030602. [Google Scholar] [CrossRef]
- Gelbwaser-Klimovsky, D.; Bylinskii, A.; Gangloff, D.; Islam, R.; Aspuru-Guzik, A.; Vuletic, V. Single-atom heat machines enabled by energy quantization. Phys. Rev. Lett. 2018, 120, 170601. [Google Scholar] [CrossRef] [Green Version]
- Zheng, Y.; Poletti, D. Quantum statistics and the performance of engine cycles. Phys. Rev. E 2015, 92, 012110. [Google Scholar] [CrossRef] [Green Version]
- Brantut, J.P.; Grenier, C.; Meineke, J.; Stadler, D.; Krinner, S.; Kollath, C.; Esslinger, T.; Georges, A. A thermoelectric heat engine with ultracold atoms. Science 2013, 342, 713–715. [Google Scholar] [CrossRef] [PubMed] [Green Version]
- Roulet, A.; Nimmrichter, S.; Arrazola, J.M.; Seah, S.; Scarani, V. Autonomous rotor heat engine. Phys. Rev. E 2017, 95, 062131. [Google Scholar] [CrossRef] [Green Version]
- Cherubim, C.; Brito, F.; Deffner, S. Non-thermal quantum engine in transmon qubits. Entropy 2019, 21, 545. [Google Scholar] [CrossRef] [PubMed] [Green Version]
- Peterson, J.P.; Batalhão, T.B.; Herrera, M.; Souza, A.M.; Sarthour, R.S.; Oliveira, I.S.; Serra, R.M. Experimental characterization of a spin quantum heat engine. Phys. Rev. Lett. 2019, 123, 240601. [Google Scholar] [CrossRef] [Green Version]
- Van Horne, N.; Yum, D.; Dutta, T.; Hänggi, P.; Gong, J.; Poletti, D.; Mukherjee, M. Single-atom energy-conversion device with a quantum load. NPJ Quantum Inf. 2020, 6, 1–9. [Google Scholar] [CrossRef]
- Ronzani, A.; Karimi, B.; Senior, J.; Chang, Y.C.; Peltonen, J.T.; Chen, C.; Pekola, J.P. Tunable photonic heat transport in a quantum heat valve. Nat. Phys. 2018, 14, 991–995. [Google Scholar] [CrossRef] [Green Version]
- Klatzow, J.; Becker, J.N.; Ledingham, P.M.; Weinzetl, C.; Kaczmarek, K.T.; Saunders, D.J.; Nunn, J.; Walmsley, I.A.; Uzdin, R.; Poem, E. Experimental demonstration of quantum effects in the operation of microscopic heat engines. Phys. Rev. Lett. 2019, 122, 110601. [Google Scholar] [CrossRef] [Green Version]
- Von Lindenfels, D.; Gräb, O.; Schmiegelow, C.T.; Kaushal, V.; Schulz, J.; Mitchison, M.T.; Goold, J.; Schmidt-Kaler, F.; Poschinger, U.G. Spin heat engine coupled to a harmonic-oscillator flywheel. Phys. Rev. Lett. 2019, 123, 080602. [Google Scholar] [CrossRef] [Green Version]
- Hicks, L.; Dresselhaus, M.S. Effect of quantum-well structures on the thermoelectric figure of merit. Phys. Rev. B 1993, 47, 12727. [Google Scholar] [CrossRef]
- Mahan, G.; Sofo, J.O. The best thermoelectric. Proc. Natl. Acad. Sci. USA 1996, 93, 7436–7439. [Google Scholar] [CrossRef] [Green Version]
- Hicks, L.; Dresselhaus, M.S. Thermoelectric figure of merit of a one-dimensional conductor. Phys. Rev. B 1993, 47, 16631. [Google Scholar] [CrossRef] [PubMed]
- Hartmann, F.; Pfeffer, P.; Höfling, S.; Kamp, M.; Worschech, L. Voltage fluctuation to current converter with coulomb-coupled quantum dots. Phys. Rev. Lett. 2015, 114, 146805. [Google Scholar] [CrossRef] [Green Version]
- Thierschmann, H.; Sánchez, R.; Sothmann, B.; Arnold, F.; Heyn, C.; Hansen, W.; Buhmann, H.; Molenkamp, L.W. Three-terminal energy harvester with coupled quantum dots. Nat. Nanotechnol. 2015, 10, 854–858. [Google Scholar] [CrossRef] [PubMed]
- Jaliel, G.; Puddy, R.; Sánchez, R.; Jordan, A.; Sothmann, B.; Farrer, I.; Griffiths, J.; Ritchie, D.; Smith, C. Experimental realization of a quantum dot energy harvester. Phys. Rev. Lett. 2019, 123, 117701. [Google Scholar] [CrossRef] [Green Version]
- Prance, J.; Smith, C.; Griffiths, J.; Chorley, S.; Anderson, D.; Jones, G.; Farrer, I.; Ritchie, D. Electronic refrigeration of a two-dimensional electron gas. Phys. Rev. Lett. 2009, 102, 146602. [Google Scholar] [CrossRef] [Green Version]
- Bloch, I.; Dalibard, J.; Nascimbene, S. Quantum simulations with ultracold quantum gases. Nat. Phys. 2012, 8, 267–276. [Google Scholar] [CrossRef]
- Cirac, J.I.; Zoller, P. Goals and opportunities in quantum simulation. Nat. Phys. 2012, 8, 264–266. [Google Scholar] [CrossRef]
- Blatt, R.; Roos, C.F. Quantum simulations with trapped ions. Nat. Phys. 2012, 8, 277–284. [Google Scholar] [CrossRef]
- Ciani, A.; Terhal, B.M.; DiVincenzo, D.P. Hamiltonian quantum computing with superconducting qubits. Quantum Sci. Technol. 2019, 4, 035002. [Google Scholar] [CrossRef] [Green Version]
- Bouton, Q.; Nettersheim, J.; Burgardt, S.; Adam, D.; Lutz, E.; Widera, A. A quantum heat engine driven by atomic collisions. Nat. Commun. 2021, 12, 1–7. [Google Scholar] [CrossRef]
- Solfanelli, A.; Santini, A.; Campisi, M. Experimental verification of fluctuation relations with a quantum computer. arXiv 2021, arXiv:2106.04388. [Google Scholar]
- Singh, V.; Johal, R.S. Low-dissipation Carnot-like heat engines at maximum efficient power. Phys. Rev. E 2018, 98, 062132. [Google Scholar] [CrossRef] [Green Version]
- Pozas-Kerstjens, A.; Brown, E.G.; Hovhannisyan, K.V. A quantum Otto engine with finite heat baths: Energy, correlations, and degradation. New J. Phys. 2018, 20, 043034. [Google Scholar] [CrossRef] [Green Version]
- Deffner, S. Efficiency of harmonic quantum Otto engines at maximal power. Entropy 2018, 20, 875. [Google Scholar] [CrossRef] [Green Version]
- Camati, P.A.; Santos, J.F.; Serra, R.M. Coherence effects in the performance of the quantum Otto heat engine. Phys. Rev. A 2019, 99, 062103. [Google Scholar] [CrossRef] [Green Version]
- Mukherjee, V.; Divakaran, U.; del Campo, A. Universal finite-time thermodynamics of many-body quantum machines from Kibble-Zurek scaling. Phys. Rev. Res. 2020, 2, 043247. [Google Scholar]
- Abiuso, P.; Perarnau-Llobet, M. Optimal Cycles for Low-Dissipation Heat Engines. Phys. Rev. Lett. 2020, 124, 110606. [Google Scholar] [CrossRef] [PubMed] [Green Version]
- Chen, L.; Liu, X.; Ge, Y.; Wu, F.; Feng, H.; Xia, S. Power and efficiency optimization of an irreversible quantum Carnot heat engine working with harmonic oscillators. Phys. A Stat. Mech. Its Appl. 2020, 550, 124140. [Google Scholar] [CrossRef]
- Beau, M.; Jaramillo, J.; Del Campo, A. Scaling-up quantum heat engines efficiently via shortcuts to adiabaticity. Entropy 2016, 18, 168. [Google Scholar] [CrossRef]
- Wang, J.; He, J.; Ma, Y. Finite-time performance of a quantum heat engine with a squeezed thermal bath. Phys. Rev. E 2019, 100, 052126. [Google Scholar] [CrossRef]
- Chand, S.; Dasgupta, S.; Biswas, A. Finite-time performance of a single-ion quantum Otto engine. Phys. Rev. E 2021, 103, 032144. [Google Scholar] [CrossRef]
- Denzler, T.; Lutz, E. Power fluctuations in a finite-time quantum Carnot engine. arXiv 2020, arXiv:2007.01034. [Google Scholar]
- Alecce, A.; Galve, F.; Gullo, N.L.; Dell’Anna, L.; Plastina, F.; Zambrini, R. Quantum Otto cycle with inner friction: Finite-time and disorder effects. New J. Phys. 2015, 17, 075007. [Google Scholar] [CrossRef]
- Schön, J.C. Optimal Control of Hydrogen Atom-Like Systems as Thermodynamic Engines in Finite Time. Entropy 2020, 22, 1066. [Google Scholar] [CrossRef]
- Das, A.; Mukherjee, V. Quantum-enhanced finite-time Otto cycle. Phys. Rev. Res. 2020, 2, 033083. [Google Scholar] [CrossRef]
- Pollock, F.A.; Rodríguez-Rosario, C.; Frauenheim, T.; Paternostro, M.; Modi, K. Non-Markovian quantum processes: Complete framework and efficient characterization. Phys. Rev. A 2018, 97, 012127. [Google Scholar] [CrossRef] [Green Version]
- Ingold, G.L.; Hänggi, P.; Talkner, P. Specific heat anomalies of open quantum systems. Phys. Rev. E 2009, 79, 061105. [Google Scholar] [CrossRef] [Green Version]
- Butanas, B.M., Jr. Dynamics of coupled harmonic oscillators in an environment using white noise analysis. AIP Conf. Proc. 2020, 2286, 040002. [Google Scholar]
- Sone, A.; Liu, Y.X.; Cappellaro, P. Quantum Jarzynski equality in open quantum systems from the one-time measurement scheme. Phys. Rev. Lett. 2020, 125, 060602. [Google Scholar] [CrossRef]
- Latune, C.; Sinayskiy, I.; Petruccione, F. Energetic and entropic effects of bath-induced coherences. Phys. Rev. A 2019, 99, 052105. [Google Scholar] [CrossRef] [Green Version]
- Rivas, Á. Strong coupling thermodynamics of open quantum systems. Phys. Rev. Lett. 2020, 124, 160601. [Google Scholar] [CrossRef]
- Thomas, G.; Siddharth, N.; Banerjee, S.; Ghosh, S. Thermodynamics of non-Markovian reservoirs and heat engines. Phys. Rev. E 2018, 97, 062108. [Google Scholar] [CrossRef] [Green Version]
- Santos, T.F.; Tacchino, F.; Gerace, D.; Campisi, M.; Santos, M.F. Maximally effcient quantum thermal machines fuelled by nonequilibrium steady states. arXiv 2021, arXiv:2103.09723. [Google Scholar]
- Huang, X.L.; Wang, L.C.; Yi, X.X. Quantum Brayton cycle with coupled systems as working substance. Phys. Rev. E 2013, 87, 012144. [Google Scholar] [CrossRef] [Green Version]
- Das, A.; Ghosh, S. Measurement Based Quantum Heat Engine with Coupled Working Medium. Entropy 2019, 21, 1131. [Google Scholar] [CrossRef] [Green Version]
- Huang, X.L.; Niu, X.Y.; Xiu, X.M.; Yi, X.X. Quantum Stirling heat engine and refrigerator with single and coupled spin systems. Eur. Phys. J. D 2014, 68, 32. [Google Scholar] [CrossRef]
- Altintas, F.; Hardal, A.Ü.; Müstecaplıoglu, Ö.E. Quantum correlated heat engine with spin squeezing. Phys. Rev. E 2014, 90, 032102. [Google Scholar] [CrossRef] [Green Version]
- Altintas, F.; Müstecaplıoglu, Ö.E. General formalism of local thermodynamics with an example: Quantum Otto engine with a spin-1/2 coupled to an arbitrary spin. Phys. Rev. E 2015, 92, 022142. [Google Scholar] [CrossRef] [Green Version]
- Ivanchenko, E. Quantum Otto cycle efficiency on coupled qudits. Phys. Rev. E 2015, 92, 032124. [Google Scholar] [CrossRef] [Green Version]
- Zhao, L.M.; Zhang, G.F. Entangled quantum Otto heat engines based on two-spin systems with the Dzyaloshinski–Moriya interaction. Quantum Inf. Process. 2017, 16, 216. [Google Scholar] [CrossRef] [Green Version]
- Alet, F.; Hanada, M.; Jevicki, A.; Peng, C. Entanglement and confinement in coupled quantum systems. arXiv 2020, arXiv:2001.03158. [Google Scholar]
- Ahadpour, S.; Mirmasoudi, F. Coupled two-qubit engine and refrigerator in Heisenberg model. Quantum Inf. Process. 2021, 20, 1–13. [Google Scholar] [CrossRef]
- de Oliveira, T.R.; Jonathan, D. Efficiency gain and bidirectional operation of quantum engines with decoupled internal levels. arXiv 2020, arXiv:2008.11694v2. [Google Scholar]
- Campisi, M.; Fazio, R. The power of a critical heat engine. Nat. Commun. 2016, 7, 11895. [Google Scholar] [CrossRef]
- Pólya, G. Methodology or heuristics, strategy or tactics? Arch. de Philos. 1971, 34, 623–629. [Google Scholar]
- Simon, H.; Newell, A. Heuristic Problem Solving: The Next Advance in Operations Research. Oper. Res. 1958, 6, 1–10. [Google Scholar] [CrossRef]
- Gigerenzer, G.; Hertwig, R.; Pachur, T. (Eds.) Heuristics: The Foundations of Adaptive Behavior; Oxford University Press: Oxford, UK, 2011. [Google Scholar]
- Ferrara, S.; Porrati, M.; Telegdi, V.L. g = 2 as the natural value of the tree-level gyromagnetic ratio of elementary particles. Phys. Rev. D 1992, 46, 3529–3537. [Google Scholar] [CrossRef] [Green Version]
- Marshall, A.W.; Olkin, I.; Arnold, B.C. Inequalities: Theory of Majorization and Its Applications; Springer: Berlin/Heidelberg, Germany, 1979; Volume 143. [Google Scholar]
Publisher’s Note: MDPI stays neutral with regard to jurisdictional claims in published maps and institutional affiliations. |
© 2021 by the authors. Licensee MDPI, Basel, Switzerland. This article is an open access article distributed under the terms and conditions of the Creative Commons Attribution (CC BY) license (https://creativecommons.org/licenses/by/4.0/).







