Exergy-Based Multi-Objective Optimization of an Organic Rankine Cycle with a Zeotropic Mixture
Abstract
:1. Introduction
2. System Description
3. System Modeling and Analysis
3.1. Thermodynamic Modeling
- -
- Pumps
- -
- Turbine
- -
- Heat exchangers
3.2. Exergy Analysis
3.3. Exergoeconomic Analysis
3.4. Exergoenvironmental Analysis
4. System Optimization
- -
- Exergy efficiency
- -
- Cost per exergy unit of the power generated
- -
- Environmental impact of the power generated
5. Results and Discussion
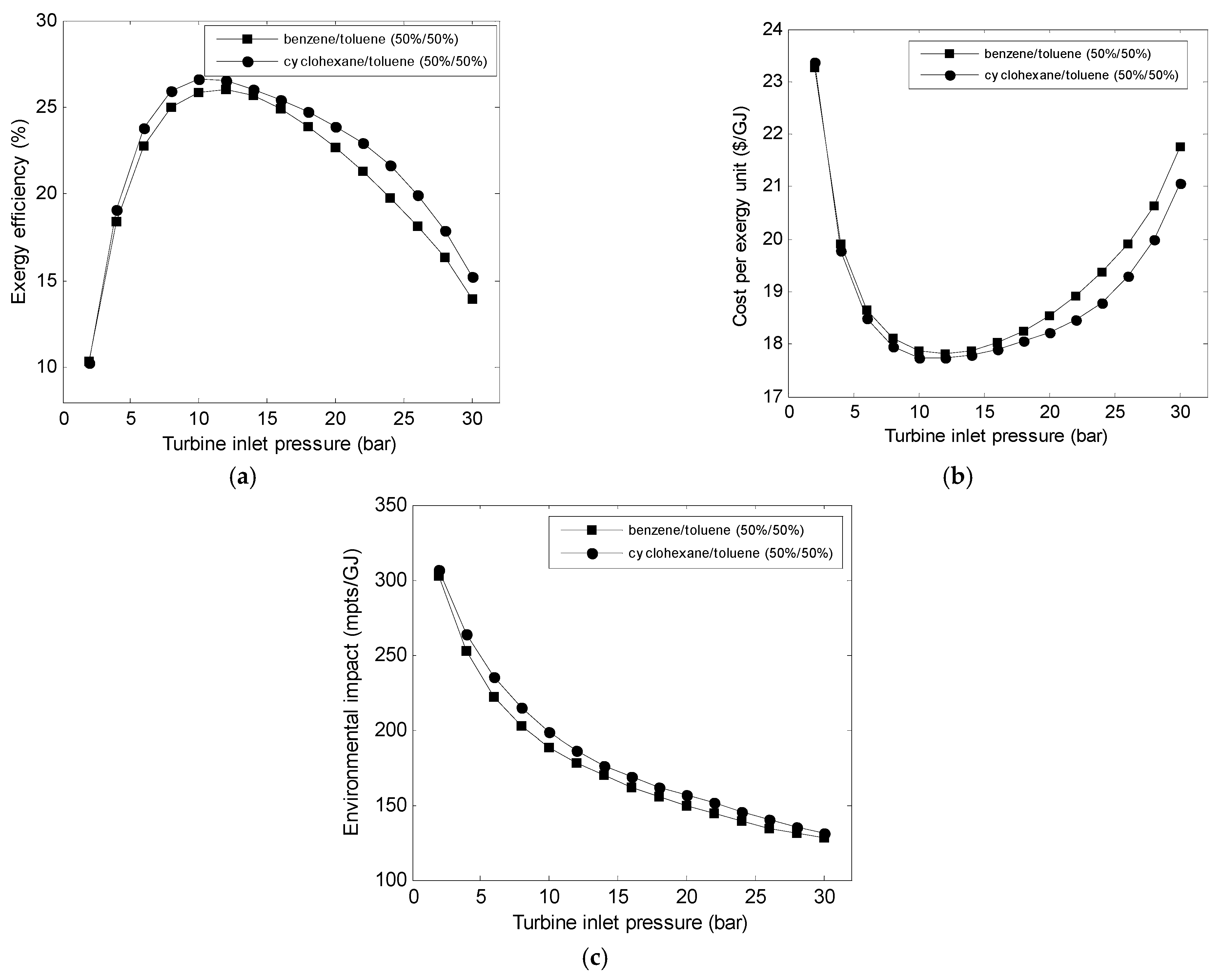
5.1. Parametric Study
5.2. Optimization Results
6. Conclusions
- -
- The application of zeotropic mixtures as a working fluid for ORC led to an increase in exergetic, exergoeconomic, and exergoenvironmental performances compared to using their pure constituents;
- -
- The heat exchangers were the most important ORC system components based on the exergy, exergoeconomic, and exergoenvironmental points;
- -
- The mass fraction of working fluids within a zeotropic mixture, turbine inlet pressure, and heat transfer fluid temperature had a significant effect on the exergetic, exergoeconomic, and exergoenvironmental performance of the ORC system;
- -
- Cyclohexane/toluene (mass fraction 90/10) and benzene/toluene (mass fraction 90/10) are recommended as the optimal mixtures for the selected operating conditions;
- -
- The mixture of cyclohexane and toluene will be a better choice only if energetic and economic criterions are considered. However, the mixture benzene/toluene is a beneficial choice to fulfill the environmental criteria.
Author Contributions
Funding
Data Availability Statement
Conflicts of Interest
Nomenclature
| A | area (m2) |
| environmental impact rate (Pts/h) | |
| b | environmental impact per unit of exergy (Pts/GJ) |
| cost rate ($/h) | |
| c | cost per exergy unit ($/GJ) |
| cp | heat capacity (kJ/kg K) |
| exergy rate (kW) | |
| h | specific enthalpy (kJ/kg) |
| M | weight of equipment (kg) |
| mass flow rate (kg/s) | |
| p | pressure (bar) |
| Q | heat flow rate (kW) |
| T | temperature (°C, K) |
| U | overall heat transfer coefficient (W/m2 K) |
| power (kW) | |
| component-related environmental impact (Pts/h) | |
| capital investment cost rate ($/h) | |
| Abbreviations | |
| HTF | heat transfer fluid |
| IHE | intermediate heat exchanger |
| LMTD | logarithmic mean temperature difference |
| MOPSO | multi-objective particle swarm optimizer |
| ORC | organic Rankine cycle |
| Subscripts | |
| 0 | reference state |
| 1,2,…,i | system state points |
| con | condenser |
| D | destruction |
| dusp | desuperheater |
| eva | evaporator |
| exh | exhaust gas |
| F | fuel |
| in | inlet |
| k | kth component |
| out | outlet |
| P | product |
| p | pump |
| pre | preheater |
| sys | system |
| t | turbine |
| w | water |
| wf | working fluid |
| Greek letters | |
| ε | exergy efficiency (%) |
| ƞ | isentropic efficiency(%) |
| density (kg/m3) | |
| life cycle inventory associated with the production of 1 kg of material (mpts/kg) | |
| thickness (m) | |
| lifetime of the system (year) | |
| annual plant operation with full capacity (h) | |
References
- Li, Y.; Du, M.; Wu, C.; Wu, S.; Liu, C. Potential of organic Rankine cycle using zeotropic mixtures as working fluids for waste heat recovery. Energy 2014, 77, 509–519. [Google Scholar] [CrossRef]
- Van Eck, N.; Waltman, L. Software survey: VOSviewer, a computer program for bibliometric mapping. Scientometrics 2010, 84, 523–538. [Google Scholar] [CrossRef] [Green Version]
- Uusitalo, A.; Honkatukia, J.; Turunensaaresti, T.; Larjola, J.A. Thermodynamic analysis of waste heat recovery from reciprocating engine power plants by means of Organic Rankine Cycles. Appl. Therm. Eng. 2014, 70, 33–41. [Google Scholar] [CrossRef]
- Wang, J.; Yan, Z.; Wang, M.; Ma, S.; Dai, Y. Thermodynamic analysis and optimization of an (organic Rankine cycle) ORC using low grade heat source. Energy 2013, 49, 356–365. [Google Scholar] [CrossRef]
- Larsen, U.; Pierobon, L.; Haglind, F.; Gabrielii, C. Design and optimisation of organic Rankine cycles for waste heat recovery in marine applications using the principles of natural selection. Energy 2013, 55, 803–812. [Google Scholar] [CrossRef] [Green Version]
- Chen, H.; Goswami, D.Y.; Stefanakos, E.K. A review of thermodynamic cycles and working fluids for the conversion of low-grade heat. Renew. Sustain. Energy Rev. 2010, 14, 3059–3067. [Google Scholar] [CrossRef]
- Wang, Z.K.; Zhou, N.J.; Guo, J.; Wang, X.Y. Fluid selection and parametric optimization of organic Rankine cycle using low temperature waste heat. Energy 2012, 40, 107–115. [Google Scholar] [CrossRef]
- Koç, Y.; Yaglı, H.; Koç, A. Exergy Analysis and Performance Improvement of a Subcritical/Supercritical Organic Rankine Cycle (ORC) for Exhaust Gas Waste Heat Recovery in a Biogas Fueled Combined Heat and Power (CHP) Engine Through the Use of Regeneration. Energies 2019, 12, 575. [Google Scholar] [CrossRef] [Green Version]
- Shokati, N.; Mohammadkhani, F.; Yari, M.; Mahmoudi, S.M.S.; Rosen, M.A. A Comparative Exergoeconomic Analysis of Waste Heat Recovery from a Gas Turbine-Modular Helium Reactor via Organic Rankine Cycles. Sustainability 2014, 6, 2474–2489. [Google Scholar] [CrossRef] [Green Version]
- Aziz, F.; Mudasar, R.; Kim, M. Exergetic and heat load optimization of high temperature organic Rankine cycle. Energy Convers. Manag. 2018, 171, 48–58. [Google Scholar] [CrossRef]
- Yari, M.; Mehr, A.S.; Zare, V.; Mahmoudi, S.M.S.; Rosen, M.A. Exergoeconomic comparison of TLC (trilateral Rankine cycle), ORC (organic Rankine cycle) and Kalina cycle using a low grade heat source. Energy 2015, 83, 712–722. [Google Scholar] [CrossRef]
- Fergani, Z.; Morosuk, T. Multi-criteria exergy based optimization of an Organic Rankine Cycle for waste heat recovery in the cement industry. Energy Convers. Manag. 2016, 112, 81–90. [Google Scholar] [CrossRef]
- Fang, Y.; Yang, F.; Zhang, H. Comparative analysis and multi-objective optimization of organic Rankine cycle (ORC) using pure working fluids and their zeotropic mixtures for diesel engine waste heat recovery. Appl. Therm. Eng. 2019, 157, 113704. [Google Scholar] [CrossRef]
- Li, W.; Feng, X.; Yu, L.; Li, T.; Xu, J. Effects of evaporating temperature and internal heat exchanger on organic Rankine cycle. Energy Convers. Manag. 2018, 165, 720–737. [Google Scholar] [CrossRef]
- Su, W.; Hwang, Y.; Deng, S.; Zhao, L.; Zhao, D. Thermodynamic performance comparison of Organic Rankine Cycle between zeotropic mixtures and pure fluids under open heat source. Appl. Therm. Eng. 2011, 31, 4014–4023. [Google Scholar] [CrossRef]
- Kang, Z.; Zhu, J.; Lu, X.; Li, T.; Wu, X. Parametric optimization and performance analysis of zeotropic mixtures for an organic Rankine cycle driven by low-medium temperature geothermal fluids. Appl. Therm. Eng. 2015, 89, 323–331. [Google Scholar] [CrossRef]
- Sadeghi, M.; Nemati, A.; Ghavimi, A.; Chikhi, S.; Yari, M. Thermodynamic analysis and multi-objective optimization of various ORC (organic Rankine cycle) configurations using zeotropic mixtures. Energy 2016, 109, 791–802. [Google Scholar] [CrossRef]
- Houai, S.; Caoa, S.; Yua, L.; Zhoua, Y.; Wub, Y.; Zhanga, F. Performance optimization of combined supercritical CO2 recompression cycle and regenerative organic Rankine cycle using zeotropic mixture fluid. Energy Convers. Manag. 2018, 166, 187–200. [Google Scholar] [CrossRef]
- Wang, Z.; Xia, X.; Pan, H.; Zuo, Q.; Zhou, N.; Xie, B. Fluid selection and advanced exergy analysis of dual-loop ORC using zeotropic mixture. Appl. Therm. Eng. 2021, 185, 116423. [Google Scholar] [CrossRef]
- Touil, D.; Belaadi, S.; Boughedaoui, M.; Chikhi, S.; Frances, C. Modeling and analysis of the physico-chemical exergy losses for a cyclone preheater in a cement plant. Recent Adv. Process. Eng. 2007, 96, 9–11. [Google Scholar]
- Shu, G.; Yu, G.; Tian, H.; Wei, H.; Liang, X.; Huang, Z. Multi-approach evaluations of a cascade-Organic Rankine Cycle (C-ORC) system driven by diesel engine waste heat: Part A—Thermodynamic evaluations. Energy Convers. Manag. 2016, 108, 579–595. [Google Scholar] [CrossRef]
- Quoilin, S.; Declaye, S.; Tchanche, B.F.; Lemort, V. Thermo-economic optimization of waste heat recovery Organic Rankine Cycles. Appl. Therm. Eng. 2011, 31, 14–15. [Google Scholar] [CrossRef] [Green Version]
- Poling, B.E.; Prausnitz, Z.M.; O’connell, J.P. The Properties of Gases and Liquids; McGRAW-HILL: New York, NY, USA, 2011. [Google Scholar]
- Pierobon, L.; Nguyen, T.V.; Larsen, U.; Haglind, F.; Elmegaard, B. Multi-objective optimization of organic Rankine cycles for waste heat recovery: Application in an offshore platform. Energy 2013, 58, 538–549. [Google Scholar] [CrossRef] [Green Version]
- Coulson, J.M.; Richardson, J.F. Chemical and Biochemical Reactors and Process Control, 3rd ed.; Oxford: Oxford, UK, 1994. [Google Scholar]
- Kakaç, S. Boilers, Evaporators, and Condensers; Wiley: New York, NY, USA, 1991. [Google Scholar]
- Bejan, A.; Tsatsaronis, G.; Moran, M. Thermal Design and Optimization; John Wiley and Sons: New York, NY, USA, 1996. [Google Scholar]
- Goedkoop, M.; Spriensma, R. The Eco-Indicator 99, A Damage Oriented Method for Life Cycle Impact Assessment; Methodology Report; PRé Consultants: Amersfoort, The Netherlands, 2000. [Google Scholar]
- Coello, C.A.C.; Pulido, G.T.; Lechuga, M.S. Handling Multiple Objectives with Particle Swarm Optimization. IEEE Trans. Evol. Comput. 2004, 8, 256–279. [Google Scholar] [CrossRef]
- Lu, J.C.; Zhang, J.; Chen, S.; Pu, Y. Analysis of organic Rankine cycles using zeotropic mixtures as working fluids under different restrictive conditions. Energy Convers. Manag. 2016, 126, 704–716. [Google Scholar] [CrossRef]
- Abido, M.A. Environmental/Economic Power Dispatch Using Multiobjective Evolutionary Algorithms. IEEE Trans. Power Syst. 2003, 18, 1529–1537. [Google Scholar] [CrossRef]
- Badr, O.; Probert, S.D.; O’Callaghan, P.W. Selecting a workingfluidfor a Rankine-cycleengine. Appl. Energy 2003, 21, 1–42. [Google Scholar] [CrossRef]










| Component | Fuel | Product | Cost Balances and Auxiliary Equations | Environmental Balances and Auxiliary Equations |
|---|---|---|---|---|
| Turbine | ||||
| Preheater | ||||
| Evaporator | ||||
| Desuperheater | ||||
| Condenser | ||||
| IHE | ||||
| PumpORC | ||||
| PumpHTF |
| Performances | Results of This Study | Results from [30] | |
|---|---|---|---|
| °C R245fa/R600a (0.413/0.569) | (kW) (%) | 36.10 11.11 | 36.73 11.12 |
| °C R245fa/R600a (0.437/0.563) | (kW) (%) | 32.21 10.50 | 32.52 10.51 |
| °C R245fa/R600a (0.443/0.557) | (kW) (%) | 28.62 9.90 | 28.92 9.91 |
| Parameter | Value |
|---|---|
| (°C) | 25 |
| (bar) | 1.01 |
| (kg/s) | 48.34 |
| (kg/s) | 25.00 |
| (°C) | 350 |
| (°C) | 310 |
| (°C) | 20 |
| (bar) | 12.00 |
| (bar) | 1.02 |
| 0.85 | |
| 0.70 |
| Cyclohexane/Toluene (90%/10%) | Benzene/Toluene (90%/10%) | |||||||
|---|---|---|---|---|---|---|---|---|
| T (°C) | p (bar) | (kg/s) | h (kJ/kg) | T (°C) | p (bar) | (kg/s) | h (kJ/kg) | |
| 1 | 81.7 | 1.02 | 19.70 | −0.936 | 81.2 | 1.02 | 18.39 | −0.814 |
| 2 | 82.3 | 13.9 | 19.70 | 1.2849 | 81.7 | 12.39 | 18.39 | 0.9407 |
| 3 | 204.2 | 13.91 | 19.70 | 299.43 | 193.1 | 12.39 | 18.39 | 235.93 |
| 4 | 204.9 | 13.91 | 19.70 | 541.09 | 194.2 | 12.39 | 18.39 | 529.47 |
| 5 | 140.1 | 1.02 | 19.70 | 454.56 | 119.4 | 1.02 | 18.39 | 442.89 |
| 6 | 82.8 | 1.02 | 19.70 | 356.65 | 82.7 | 1.01 | 18.39 | 392.43 |
| 7 | 299.5 | - | 25 | 757.74 | 298.4 | - | 25 | 754.95 |
| 8 | 224.2 | - | 25 | 567.28 | 213.1 | - | 25 | 539.04 |
| 9 | 131.3 | - | 25 | 332.29 | 144.7 | - | 25 | 366.19 |
| 10 | 132.3 | - | 25 | 334.82 | 145.7 | - | 25 | 368.72 |
| 11 | 25.0 | 1.02 | 50.33 | 104.92 | 25.0 | 1.02 | 52.17 | 104.92 |
| 12 | 58.5 | 1.02 | 50.33 | 244.89 | 58.15 | 1.02 | 52.17 | 243.51 |
| 13 | 67.6 | 1.02 | 50.33 | 283.24 | 62.4 | 1.02 | 52.17 | 261.29 |
| Parameters | Cyclohexane/ Toluene (90/10) | Benzene/ Toluene (90/10) | Cyclohexane [12] | Benzene [12] | Toluene [12] |
|---|---|---|---|---|---|
| p4 (bar) | 13.91 | 12.39 | 15.12 | 14.43 | 12.96 |
| T7 (°C) | 299.5 | 298.4 | 296.8 | 297.1 | 310.0 |
| ΔTeva (°C) | 20.0 | 20.0 | 20.0 | 20.0 | 21.1 |
| ΔTcon (°C) | 24.3 | 24.6 | 37.0 | 34.6 | 26.1 |
| (MW) | 5.799 | 5.799 | 5.799 | 5.799 | 5.799 |
| (MW) | 1.272 | 1.567 | 1.383 | 1.736 | 2.431 |
| (%) | 27.5 | 25.9 | 27.1 | 25.6 | 18.0 |
| cp,sys ($/GJ) | 17.25 | 17.58 | 18.14 | 18.49 | 20.21 |
| bp,sys (mpts/GJ) | 136 | 130 | 148 | 144 | 160 |
| Turbine | Preheater– Evaporator Assembly | Desuperheater–Condenser Assembly | PumpORC | PumpHTO | IHE | |
|---|---|---|---|---|---|---|
| Cyclohexane/Toluene | ||||||
| (kW) | 219.4 | 623.5 | 982.2 | 7.3 | 46.6 | 463.2 |
| ($/h) | 2.37 | 4.45 | 10.62 | 0.46 | 2.89 | 2.39 |
| ($/h) | 85.03 | 4.49 | 354.70 | 1.41 | 1.84 | 23.36 |
| ($/h) | 87.40 | 8.94 | 365.32 | 1.87 | 4.73 | 25.75 |
| (mPts/h) | 93 | 213 | 418 | 4 | 23 | 139 |
| (mPts/h) | 17 | 67 | 13,643 | 4 | 6 | 1358 |
| (mPts/h) | 110 | 280 | 14,061 | 8 | 28 | 1497 |
| Benzene/Toluene | ||||||
| (kW) | 216.4 | 684.6 | 876.0 | 5.4 | 45.1 | 435.6 |
| ($/h) | 2.36 | 4.89 | 9.53 | 0.34 | 2.85 | 2.20 |
| ($/h) | 81.09 | 3.95 | 224.41 | 1.14 | 1.84 | 21.40 |
| ($/h) | 83.45 | 8.84 | 233.94 | 1.48 | 4.69 | 23.60 |
| (mPts/h) | 87 | 215 | 352 | 2 | 21 | 120 |
| (mPts/h) | 15 | 53 | 8214 | 3 | 6 | 1164 |
| (mPts/h) | 102 | 268 | 8566 | 5 | 27 | 1284 |
Publisher’s Note: MDPI stays neutral with regard to jurisdictional claims in published maps and institutional affiliations. |
© 2021 by the authors. Licensee MDPI, Basel, Switzerland. This article is an open access article distributed under the terms and conditions of the Creative Commons Attribution (CC BY) license (https://creativecommons.org/licenses/by/4.0/).
Share and Cite
Fergani, Z.; Morosuk, T.; Touil, D. Exergy-Based Multi-Objective Optimization of an Organic Rankine Cycle with a Zeotropic Mixture. Entropy 2021, 23, 954. https://doi.org/10.3390/e23080954
Fergani Z, Morosuk T, Touil D. Exergy-Based Multi-Objective Optimization of an Organic Rankine Cycle with a Zeotropic Mixture. Entropy. 2021; 23(8):954. https://doi.org/10.3390/e23080954
Chicago/Turabian StyleFergani, Zineb, Tatiana Morosuk, and Djamel Touil. 2021. "Exergy-Based Multi-Objective Optimization of an Organic Rankine Cycle with a Zeotropic Mixture" Entropy 23, no. 8: 954. https://doi.org/10.3390/e23080954
APA StyleFergani, Z., Morosuk, T., & Touil, D. (2021). Exergy-Based Multi-Objective Optimization of an Organic Rankine Cycle with a Zeotropic Mixture. Entropy, 23(8), 954. https://doi.org/10.3390/e23080954

