1. Introduction
The Internet of Things (IoT) is yet another revolutionary development in the information technology industry. Currently, the IoT is an important productivity contribution to the rapid development of the world, integrating various information sensing devices with the Internet to form a huge network that achieves sensing and real-time control of the real world in time and space [
1]. By using the technology of the IoT, information sensing devices, such as radio frequency identification, infrared sensors, and laser scanners, can collect a wide variety of information used for analysis and decision-making of upper level data-driven applications.
IoT has been widely used in various fields, such as Intelligent Transport System (ITS), Smart Grid (SG), and Internet of Vehicles (IoV) [
2,
3,
4]. It is worth noting that, for a considerable part of practical applications, the freshness of the data streams and status updates in the IoT are of great significance for strategies analysis and decision-making [
5]. For the autonomous driving system, for example, if it receives obsolete information at the receiver, it will cause an obvious reduction in the accuracy and reliability of the system decision and may even cause serious accidents.
In actual application scenarios, status updates from different sources correspond to different information and the data processing equipments may have different urgency requirements for these status updates. For example, in the UAV networks, the control terminal hopes to receive the UAV’s flight speed, acceleration, and position updates with high real-time performance. However, the timeliness requirements for information, such as the engine temperature and remaining fuel, are relatively low.
Based on the above backgrounds, in this work, we focus on optimizing the overall timeliness of a multi-source state update system, in which the urgency requirements of the receiver for update packets from different sources are different. To characterize common problems in preemptive queuing systems, we model the system as a multi-source M/M/1/1 preemptive queuing model. Specifically, we consider two typical preemption strategies: the self-preemption strategy and global-preemption strategy. In addition, we introduce the weight factor of the age of information (AoI) to represent the difference of the urgency requirements between different sources. The optimization of the overall timeliness can be achieved by finding the optimal generation rate of each source, which minimizes the weighted average AoI.
1.1. Contributions
The main contributions of this paper are summarized as follows.
The multi-source status update system is modeled as a multi-source M/M/1/1 queuing model with preemption. To characterize the overall timeliness of the system, we introduce the weight factor and the weighted average AoI measure. A generation rate control scheme, which varies the generation rate of different sources according to their different urgencies, is proposed to improve the overall timeliness performance. Additionally, we formulate the optimal generation rate problem as a weighted average AoI minimization problem.
For the self-preemption strategy, we prove that the weighted average AoI minimization is a convex problem and propose a convex optimization algorithm to find the optimal generation rate. To meet the demands of rapid deployment in some scenarios, a set of approximate optimal generation rates for the system with light load is proposed. To facilitate the further analysis and comparison with the overall freshness of the self-preemptive strategy, we also derive a set of upper bound and lower bound for the minimal weighted average AoI. For the global-preemption strategy, we explicitly present a closed-form expression for the corresponding optimal generation rates. We surprisingly found that the proposed approximate optimal generation rates for the self-preemption strategy were the same as the optimal generation rates for the global-preemption strategy. In addition, the lower bound of the minimal weighted average AoI of the self-preemption strategy was the same as that of the global-preemption strategy, manifesting that the performance achieved by the global-preemption system was better than that achieved by the self-preemption system in terms of the overall timeliness.
Numerical analysis verified our theoretical results. In particular, we show that optimizing the generation rate significantly improved the overall timeliness performance of the system. According to the obtained relative error between the true optimum and approximation, the proposed approximate optimal generation rates for the self-preemption strategy approached the true optimum well in the light load case and even in other cases, which provides great application value for the proposal of the approximate optimal generation rate.
1.2. Organization
The rest of this paper is structured as follows: the related works are presented in
Section 2. In
Section 3, we present the system model and formulate the optimization problems. In
Section 4, we investigate the optimal status update generation rate for both the self-preemption strategy and global-preemption strategy. Numerical simulations that match our propositions are presented in
Section 5. Finally, our work is concluded in
Section 6.
2. Related Works
In this Section, we present the related works to give broader perspective and further understandings about our work.
In 2011, AoI was proposed to effectively characterize information freshness [
6]. AoI at any time in the system is defined as the time elapsed since the generation of the latest accepted state update. Thus, AoI perfectly presents the freshness of the latest information received by the receiver. However, traditional timeliness metrics, such as packet delay, only focus on the time elapsed by each packet in the system, and cannot evaluate the information freshness of the receiver as AoI can [
7].
Based on single-source M/M/1 (We follow the Kendall notations for identifying the statistics of different queues.), M/D/1, D/M/1, and M/G/1 First-Come-First-Served (FCFS) queuing models, the average AoI has been derived in [
6,
8]. The work in [
8] obtained several formulas for the stationary distributions of the AoI and the peak AoI in the FCFS G/G/1 queue. Furthermore, the authors of [
9] derived a general expression for the stationary distribution of the AoI in the single-source queuing model. The research of [
10] was the first work to investigate the average AoI in a multi-source setup, which derived the average AoI for a multi-source FCFS M/M/1 queueing model. The authors of [
11] derived a closed-form expression for the average AoI of each source in the multi-source M/G/1 FCFS queuing model.
Package management policies are often considered as an effective tool to improve the freshness of state updates, e.g., related works were carried out in [
9]. According to the definition of AoI, shortening the buffer size of the queue is considered as an intuitive policy, in which the packets that arrive while the server is busy are discarded to avoid receiving outdated packets. In [
12,
13], it was shown that a large buffer size does not always improve the information freshness.
On the other hand, researchers have also focused on preemption systems. Essentially, the preemption strategies prevent the accumulation and the sojourn of the status update packets in buffer such that the newly arrived status update packets can be directly served. Therefore, generally, the preemption strategies can ensure that the information received is as fresh as possible except for some special cases, e.g., [
14], where the service time follows Gamma distribution. The work [
15] derived the average AoI of the single-source M/G/1/1 preemptive queuing model in a closed form.
For the queuing model with single source Poisson arrival, the authors of [
14] calculated the average AoI and the average peak AoI under two different schemes: Last-Come-First-Served (LSCF) with preemption and LCFS without preemption, respectively, where the service time follows a Gamma distribution. For the multi-source M/G/1/1 preemptive queuing model, the commonly used preemption strategies are divided into two types: self-preemption strategies and global preemption strategies. (Global-preemption means that any stream can preempt itself and any other stream. However, in the self-preemption strategy, any stream can only preempt itself).
Based on the multi-source M/G/1/1 queuing model with global-preemption, the authors of [
16] derived a closed-form expression for the average AoI and the average peak AoI of each stream. After that, in the work [
17], a closed-form expression for the average AoI of each source in the multi-source M/M/1/1 queuing model with self-preemption was derived. The authors of [
17] also compared the self-preemption strategy to the global-preemption and found that the former performed better in the multi-source M/M/1/1 queue.
There have been some optimization works based on AoI. In [
18], the authors investigated the minimization of the AoI of the date collected by the ground sensor nodes in the UAV-assisted wireless powered IoT system. The work [
19] introduced a deep reinforcement learning-based approach to minimize the AoI in the networks whose topology was without prior assumptions. A recent work [
20] designed an optimal offline solution and an effective online solution to minimize the average AoI in energy harvesting-based networked embedded systems with energy constraints.
The authors of [
21] investigated the distribution of AoI in a wireless networked control system with two hops—based on which, the authors minimized the tail of the AoI distribution respect to the frequency of generating information updates, i.e., the generation rate of a source. The authors utilized a probabilistic scheduling method to minimize the AoI in transmissions with truncated channel inversion while satisfying an average power constraint in [
22].
Furthermore, in a multi-source system, optimizing the generation rate of the state updates of each source is an important scheme to improve the overall timeliness of the system. For instance, the study in [
16] showed that setting equal generation rates for all sources achieved the lowest total average AoI and total average peak AoI of all sources for the multi-source M/G/1/1 queuing model with global-preemption.
In [
13], the peak average AoI was used to characterize the information freshness of multi-source M/G/1 and multi-source M/G/1/1 queueing systems. The seeking of the optimal generation rate of each source was formulated by using quasi-convex optimization, and the structural characteristics of the optimal solution were obtained. Additionally, the investigation of [
23] showed that the optimal update rate significantly reduced the AoI violation probability for a wide range of AoI constraints.
3. System Model and Problem Formulations
In this section, we model the multi-source preemptive queuing system in IoT as a common multi-source M/M/1/1 preemptive queuing system and introduce the weighted average AoI to characterize the overall timeliness of the system. Additionally, we consider two common preemption strategies—the self-preemption strategy and global-preemption strategy—and then formulate optimization problems w. r. t. the generation rate of each source under these two strategies.
3.1. System Model
In this paper, we consider a multi-source queuing system with preemption, as shown in
Figure 1.
A sensor collects status updates from N sources and sends them to a receiver node, e.g., a data fusion center, for analyses and decision-making. For example, for an automatic driving system, it needs to send information, such as the vehicle speed and engine temperature to the remote receiving end to obtain real-time analysis and instruction generation. The sensors always send newly arrived data to improve the timeliness of the data at the receiving end, thereby, ensuring the safety of the passengers.
The status update sources are indexed by . We assume that each source i generates status updates independently according to a Poisson process with rate . We denote the sum of the generation rates of all sources as the total generation rate , i.e., . Moreover, we assume that the arrived status updates would subsequently enter a length-1 queue with preemption, which means there is no buffer to store the incoming updates.
Taking into account the length variance of status updates, the reliability of the wireless channel, and the signal quality of the receiver, we also assume that the time used for successfully transmitting a status update to the receiver follows a negative exponential distribution with parameter . Therefore, we shall describe this system as a multi-source M/M/1/1 system with preemption. The server utilization of source i and the whole system are denoted as and , respectively.
Preemption Strategies: Two typical preemption strategies are considered for the multi-source system, i.e., self-preemption and global-preemption [
17]. Specifically, taking into account that different data streams represent different attributes and connotations, and that the packet scheduling and management of the queue in each single stream can guarantee the independent statistical characteristics of each stream, we consider the self-preemption strategy, in which the packets can only preempt that of the same source but not any others.
On the other hand, since the management of packets in each data stream will increase the complexity of scheduling, we also consider a preemption strategy that does not distinguish between data streams, i.e., a global-preemption strategy, in which the packets can preempt not only that of the same source but also that of any other source.
3.2. Problem Formulations
In most cases, IoT-based system requires the received information to be as timely and fresh as possible. Hence, AoI, which is defined as the time elapsed since the generation of the latest successfully received information, would be a proper metric for characterizing the overall timeliness of status updates at the receiver. Generally, status updates from different sources contain different information, and the receiver has different urgency requirements for these updates. That is, different sources have different urgency.
Recall that, in the mentioned automatic driving system, a higher urgency requirement is required for vehicle speed and a lower urgency requirement is required for engine temperature. Therefore, we introduce weight factors to the average AoI of each status update source and use the weighted average AoI to quantify the overall timeliness of the system. Specifically, the weighted average AoI is defined as
where
represents the average AoI of source
i and
is the weight factor that characterizes the urgency requirement on source
i. The sum of the weight factors is set to be 1, i.e.,
. It is clear that the larger
is, the more urgent the requirement for source
i is.
To improve the overall timeliness performance of the system significantly, we chose the generation rate control scheme, which reasonably adjusts the generation rate of different sources under the fixed total generation rate . In practice, e.g., in the exemplary automatic driving system, both the bandwidth allocated for status update transmission and energy allocated for sensing at wireless connected sensors can be modeled as factors adjusting the generate rate.
With the given weight factor
, service rate
, total generation rate
, and adjustable
under the constraint
, our goal was to minimize the weighted average AoI of the system by optimizing the generation rate of sources. Accordingly, for a multi-source system with self-preemption, the above problem can be formulated as Problem
, as shown in the following.
in which
is the weighted average AoI of the self-preemptive system.
Similarly, we have Problem
for a multi-source system with global-preemption.
in which
is the weighted average AoI of the global-preemptive system.
For the multi-source M/M/1/1 systems with the above two different preemption strategies, we shall separately find the optimal allocation of the generation rate of sources to achieve the best overall timeliness performance.
It is expected that by optimizing the generation rate of each source, the overall timeliness of the system, e.g., the automatic driving system can be improved, and some significant insights can be obtained for system design.
5. Numerical Analysis of the Weighed Average AoIs of Preemptive Systems
In this section, we first provide numerical analysis for the weighed average AoIs of the self-preemptive system and the global-preemptive system, i.e, and , to show the optimization brought by generation rate control. Then, for the system with self-preemption, the given numerical examples illustrate the accuracy of the approximate optimal generation rate. Finally, we compare the performance of the self-preemptive system and the global-preemptive system. In all of the numerical results, we assume and .
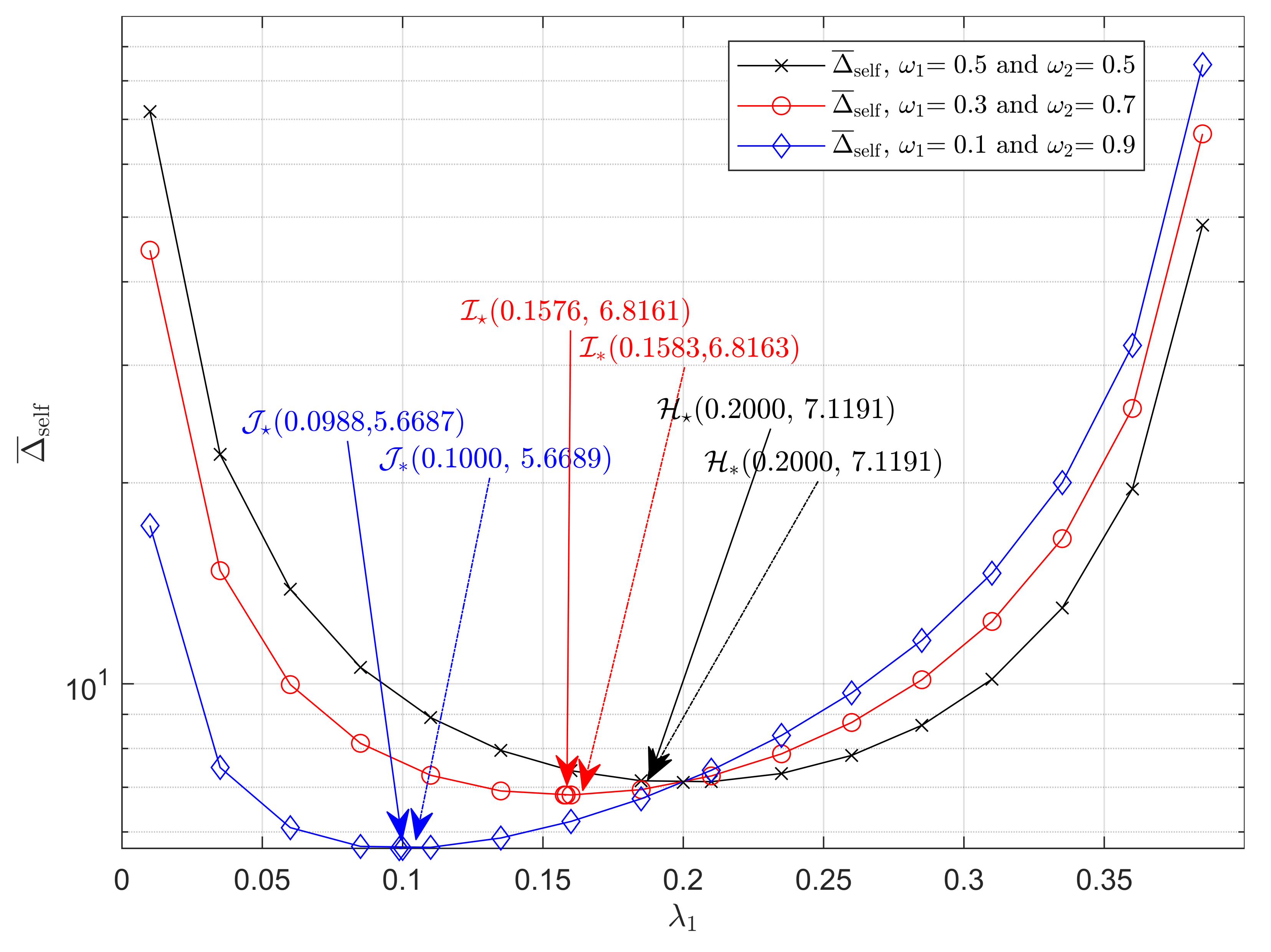
Figure 2 shows the weighted average AoI under the self-preemptive strategy, i.e.,
, for different values of
. By substituting the settings
and
into (
5), we obtain three curves of
, which respectively corresponds to
,
and
. First, we observed that
decreases first and then increases as the generation rate of source 1
increases for all the three curves. Moreover, it can be seen from the above curves that
is a convex function with respect to
, which verifies Proposition 2.
Secondly, the points
,
, and
, which, respectively, represent the minimum of
(obtained by using Algorithm 1 for different
) when
is set to 0.5, 0.3, and 0.1 respectively, and points
,
, and
, which are the approximate minimums of
(obtained by combining (
5) and (
23)), show that the overall timeliness of the system can be optimized by generation rate control. Furthermore, it can be seen that the optimal generation rate of source 1
increases as the weight factor
increases according to the points
,
and
because the more urgent source needs a higher generation rate. In fact, this can be also deduced from (
23).
It is also important to note that the positions of
and
,
and
, and
and
are all very close, which implies that the proposed approximations on optimal generation rate has a high accuracy, and this will be analyzed further in
Figure 4. Additionally, recalling the automatic driving system using the self-preemption strategy mentioned earlier, we set
to be the corresponding generation rate of engine temperature and
to be that of vehicle speed. One can find that by optimizing the generation rate, the overall timeliness of the system is improved.
Figure 3 shows the weighted average AoI under global-preemptive strategy, i.e.,
, for different values of
.Here, we similarly set
and
and depicts three curves of
based on (
33), which, respectively, correspond to
,
, and
.Then, we obtain the minimums of
for all the three curves according to (
35). Points
,
and
are the minimums of
correspond to the cases when
,
and
, respectively. Similar to the analysis for
Figure 2, one can verify that
is a convex problem and check that the information freshness of the system can be improved by controlling the generation rate.
Additionally, it can also be deduced that a lower generation rate must be allocated to a less urgent source because the optimal generation rate of source 1 decreases as the weight factor decreases. Recalling the automatic driving system using the global-preemption strategy mentioned earlier, for the black and red curves, we set to be the corresponding generation rate of vehicle speed and to be that of the engine temperature. It can be seen that, by optimizing the generation rate, the overall timeliness of this system is improved.
To evaluate the accuracy of the approximate optimal generation rates proposed for the self-preemption strategy, we first introduce the metric
, which measures the relative error between approximation and true optimum.
in which
is the weighted average AoI when the generation rate of sources is set following the true optimum and
is that achieved by using the approximate optimal generation rate, i.e.,
. The smaller
is, the higher accuracy the approximate optimal generation rate can achieve.
In Figure 4, we investigate how the relative error
varies with the total generation rate
. The weight factor
is set to 0.5, 0.3 and 0.1. We first use Algorithm 1 to obtain the minimums of
under different
, i.e.,
=0.5, 0.3, 0.1 and
. According to (
5), (
23) and the obtained minimums of
, we calculate the relative error
based on (
36) and depict three curves of
, which correspond to
,
, and
. One can see that relative error
is extremely small when
(
) for every
, which verifies that the approximate optimal generation rate under a light load (Proposition 2) is highly accurate.
It can also be seen in
Figure 4 that, when
takes general values(
), the relative error
increases as
, i.e.,
increases. This is because the approximate optimal generation rates were originally proposed for light load cases. However,
is still relatively small (
) in
Figure 4 for all
, which means that the approximate optimal generation rate can achieve a high accuracy under any system load and can be applied to any load. Particularly,
always equals to 0 when
, i.e.,
, this is because the approximate optimal generation rate is equivalent to the optimal generation rate when the urgency requirements for each source are the same.
For instance, for the automatic driving system that adopts a self-preemption strategy, we use the same settings as the analysis in
Figure 2. The accuracy of the proposed approximate optimal generation rate is excellent, which means that this set of approximate optimal generation rates has extremely high application value in the case of limited terminal computing resources or rapid deployment.
In
Figure 5, we compare the weighted average AoIs of the self-preemptive system and the global-preemptive system.
, and the weight factor
is set to 0.5 and 0.3, respectively. By using (
5), we first obtain the black curve when
and the red curve
, which show how the weighted average AoI varies with the generation rate
under self-preemption. Likewise, for the global-preemption, the green curve when
and the blue curve when
can also be obtained by using (
33). According to (
5) and (
23), we find the approximate minimums of
when
takes 0.5 and 0.3. Correspondingly, the minimums of
for different
can be found according to (
35).
Point
is the minimum of
in the case when
, and the points
,
, and
were defined earlier. It can be seen that, under the same weight setting,
is always smaller than
, which is consistent with the conclusion in [
17]. Moreover, we notice that the abscissas of points
and
and points
and
are the same, which is because the optimal generation rates under the global-preemption strategy are the same as the approximate optimal generation rates under the self-preemption strategy.
Additionally, from the curves and expressions (
23) and (34), the overall timeliness of the global-preemptive system is very similar to that of the self-preemptive system. For the aforementioned automatic driving system, we set
to be the corresponding generation rate of engine temperature and
to be that of vehicle speed. According to
Figure 5 and the previous analysis, one can find that, in terms of overall timeliness, the global-preemption strategy was more suitable for this system.
6. Conclusions
In this paper, we studied the overall timeliness of a multi-source sensing system with preemption. To optimize the overall timeliness performance of the preemptive system, we controlled the generation rate of sources according to the different urgency requirements for different sources. Specifically, we considered two preemption strategies, a self-preemption strategy and global-preemption strategy.
For the self-preemption strategy, the optimization problem was proven to be a convex problem by proving the positive semi-definiteness of the Hessian matrix of the objective function, and the optimal generation rate was obtained directly by using the convex optimization algorithm. We provided Algorithm 1 as a basic exemplary algorithm for reference. To meet the possible rapid deployment requirements in practice, a closed-form expression for an approximate optimal generation rate under the self-preemption strategy and light load was derived by using Lemma 1, which was based on Cauchy’s inequality.
After that, in order to gain more insights, we used Lemma 1 to derive a set of upper and lower bounds of the minimal weighted average AoI. For the global-preemption strategy, we also used Lemma 1 to derive a closed-form expression for the optimal generation rate. Through comparison, we found that the minimal weighted average AoI under the global-preemption strategy was exactly the same as the proposed lower bound of the minimal weighted average AoI under the self-preemption strategy, which indicates that the global-preemption strategy is better than the self-preemption strategy in terms of overall timeliness.
Numerical analysis validated our theoretical analyses and illustrated that: (1) The overall timeliness performance of the preemptive system was significantly improved by controlling generation rate. (2) The proposed approximate optimal generation rates for the self-preemption strategy were surprisingly accurate in the light load case and even in other cases. It could be seen in
Figure 4 that the relative error
was no more than
for all total arrival rates
.