Generalized Correntropy Criterion-Based Performance Assessment for Non-Gaussian Stochastic Systems
Abstract
1. Introduction
2. Performance Assessment Based on MEC
2.1. Feedback Control Loop
2.2. Minimum Entropy Index
2.3. Prevenient Entropy Index and Generalized Correntropy
3. Improvement and Application of EDA in CPA
3.1. EDA and Improved
3.2. Parameter Identification Based on Hybrid-EDA
3.2.1. Acquisition of Parameter Identification Space
3.2.2. The Idea of Wading Across Stream Algorithm
- (1)
 - Choose the initial starting point carefully
 
- (2)
 - Search strategy
 
3.2.3. Crossover Operation
3.2.4. Selection of Fitness Value
3.2.5. Algorithm Summary
| Algorithm 1 Program steps for the identification algorithm. | 
| 1. Describe the system by CARMA model; estimate the system delay by analyzing the correlation between u(t) and y(t); determine the model order (, ). | 
| 2. Preliminary estimate. Rough model parameters are obtained by RELS, determine the identification space as . | 
| 3. Choose the initial starting point carefully. Randomly generate R individuals from the parameter space , calculate the fitness value (error entropy) of these solutions in A and select the optimal one | 
|  according to the fitness value (corresponding error entropy is minimum).  4. Search for m individuals within the neighborhood radius of ;  | 
| While I <= nmax | 
| (1) Calculate the fitness value (error entropy) of m individuals and sorted based on the fitness value. Extract the optimal one and top individuals from ; | 
| (2) Modify the optimal individual . Calculate the center point (mean value) of . Modify the optimal individual as, | 
| (3) If the termination conditions is met The difference between two adjacent iterations error entropy is less than 0.0001, end the cycle. Else ; Search for m individuals within the neighborhood radius of ; ; End  | 
| End | 
| 5. Get the estimation of parameters and noise PDF . | 
3.3. Algorithm Validation and Sensitivity Analysis of Initial Parameters
4. Simulation and Verification
4.1. Simulation When Expected Output Distribution Is Unknown
- (1)
 - When the fitness value is fixed as the GCL, compare the H-EDA with the traditional EDA and the IPSO.
 
- (2)
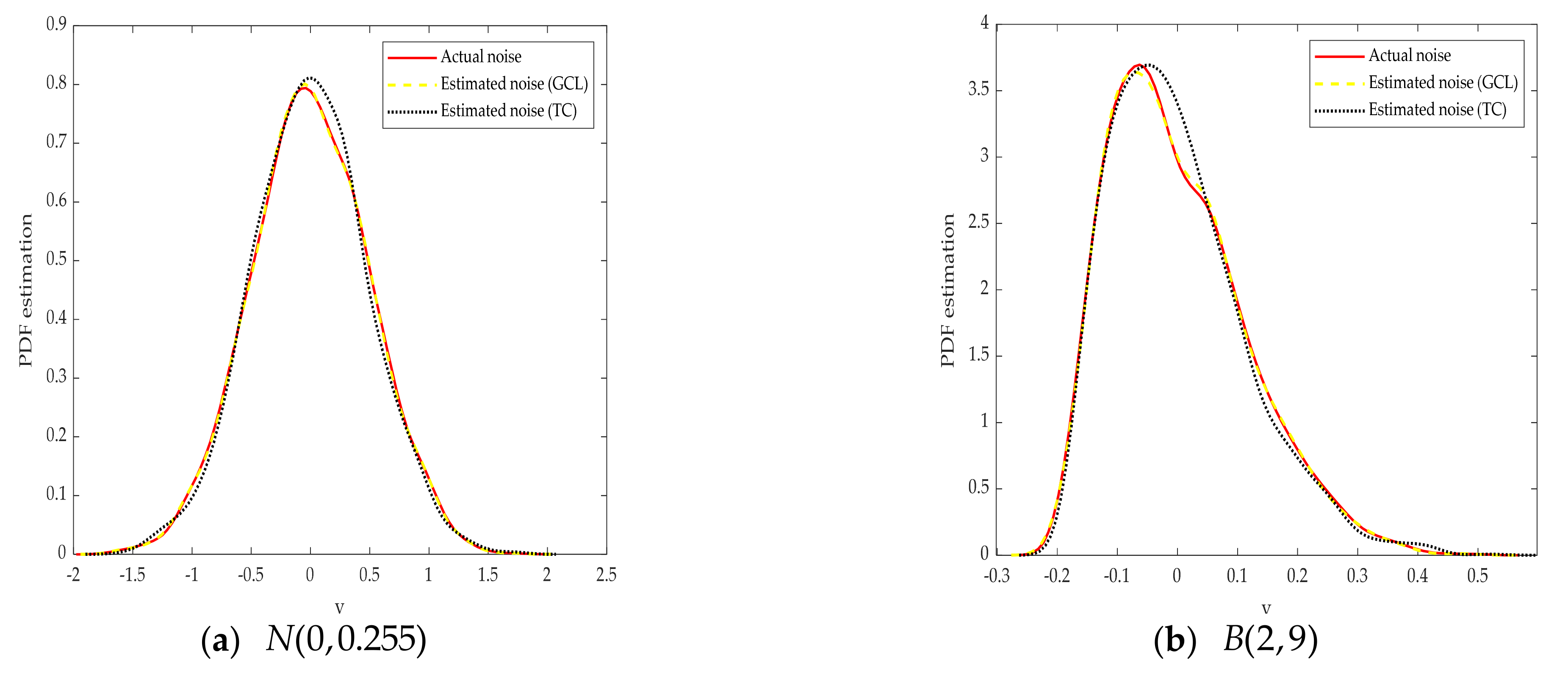
 - When the identification algorithm is fixed as the H-EDA, compare the traditional correntropy (TC) with the generalized correntropy criterion (GCL).
 
4.2. Simulation When the Expected Output Distribution Is Known
5. Conclusions
Author Contributions
Funding
Conflicts of Interest
References
- Jelali, M. Control. Performance Management in Chemical Automation; Springer: London, UK, 2013. [Google Scholar]
 - Zhang, J.H.; Ren, M.F.; Tian, Y. Constrained stochastic distribution control for nonlinear stochastic systems with non-Gaussian noises. Int. J. Innov. Comput. Inf. Control. 2013, 9, 1759–1768. [Google Scholar]
 - Harris, T.J. Assessment of Closed Loop Performance. Can. J. Chem. Eng. 1989, 67, 856–861. [Google Scholar] [CrossRef]
 - Huang, B.; Shah, S.L. Performance Assessment of Nonminimum Phase Systems. In Performance Assessment of Control Loops; Springer: London, UK, 1999. [Google Scholar]
 - Huang, B. Minimum variance control and performance assessment of time-variant processes. J. Process. Control. 2002, 12, 707–719. [Google Scholar] [CrossRef]
 - Chen, J.; Wang, W.Y. Performance assessment of multivariable control systems using PCA control charts. In Proceedings of the IEEE Conference on Industrial Electronics and Applications (ICIEA 2009), Xi’an, China, 25–27 May 2009. [Google Scholar]
 - Guo, L.; Wang, H. Stochastic Distribution Control. System Design; Springer: London, UK, 2010. [Google Scholar]
 - Zhang, J.; Chu, C.C.; Munoz, J. Minimum entropy based on run-to-run control for semiconductor processes with uncertain metrology delay. J. Process. Control. 2009, 19, 1688–1697. [Google Scholar] [CrossRef]
 - Zhang, J.; Jiang, M.; Chen, J. Minimum entropy-based performance assessment of feedback control loops subjected to non-Gaussian disturbances. J. Process. Control. 2014, 24, 1660–1670. [Google Scholar] [CrossRef]
 - Zhou, J.L.; Wang, X.; Zhang, J.F. A New Measure of Uncertainty and the Control Loop Performance Assessment for Output Stochastic Distribution Systems. IEEE Trans. Autom. Control. 2015, 60, 2524–2529. [Google Scholar] [CrossRef]
 - Zhou, J.; Jia, Y.; Jiang, H.; Fan, S. Non-Gaussian Systems Control Performance Assessment Based on Rational Entropy. Entropy 2018, 20, 331. [Google Scholar] [CrossRef]
 - Zhang, Q.; Wang, Y. Performance Assessment of Cascade Control System with Non-Gaussian Disturbance Based on Minimum Entropy. Symmetry 2019, 11, 379. [Google Scholar] [CrossRef]
 - Zhang, J.; Wu, D. Performance Assessment of Non-Gaussian Control Systems Based on Mixture Correntropy. Entropy 2019, 21, 1069. [Google Scholar] [CrossRef]
 - Zhang, Q.; Wang, Y. Improved Renyi Entropy Benchmark for Performance Assessment of Common Cascade Control System. IEEE Access 2019, 7, 6796–6803. [Google Scholar] [CrossRef]
 - Chen, B.; Wang, X.; Lu, N. Mixture Correntropy for Robust Learning. Pattern Recognit. 2018, 79, 318–327. [Google Scholar] [CrossRef]
 - Chen, B.; Xing, L.; Zhao, H. Generalized Correntropy for Robust Adaptive Filtering. IEEE Trans. Signal. Process. 2016, 64, 3376–3387. [Google Scholar] [CrossRef]
 - Sun, Q.; Zhang, T.; Huang, X. Robust Multi-kernel Generalized Maximum Correntropy Filters. In Proceedings of the 2020 IEEE 3rd International Conference on Electronic Information and Communication Technology (ICEICT), Shenzhen, China, 13–15 November 2020; pp. 99–103. [Google Scholar]
 - Wang, W.; Wang, S. Generalized Correntropy Sparse Gauss-Hermite Quadrature Filter for Epidemic Tracking on Complex Networks. IEEE Trans. Syst. Man Cybern. Syst. 2021. [Google Scholar] [CrossRef]
 - Ma, W.; Qiu, J.; Liu, X. Unscented Kalman Filter with Generalized Correntropy Loss for Robust Power System Forecasting-Aided State Estimation. IEEE Trans. Ind. Inform. 2019, 15, 6091–6100. [Google Scholar] [CrossRef]
 - Ren, M.; Gong, M.; Lin, M. Generalized Correntropy Predictive Control for Waste Heat Recovery Systems Based on Organic Rankine Cycle. IEEE Access 2019, 7, 151587–151594. [Google Scholar] [CrossRef]
 - Chen, B.; Zhu, Y.; Hu, J. System Parameter Identification: Information Criteria and Algorithms; Newnes: Boston, MA, USA, 2013. [Google Scholar]
 - Yu, J.; Zhou, J.; Li, D. Performance assessment of control loops with non-Gaussian disturbance Based on Generalized Minimum Entropy. In Proceedings of the International Conference on Industrial Artificial Intelligence (IAI), Shenyang, China, 23–27 July 2019. [Google Scholar]
 - Chen, B.; Principe, J.C. Maximum correntropy estimation is a smoothed MAP estimation. IEEE Signal. Process. Lett. 2012, 19, 491–494. [Google Scholar] [CrossRef]
 - Syed, M.N.; Pardalos, P.M.; Principe, J.C. On the optimization properties of the correntropic loss function in data analysis. Optim. Lett. 2014, 8, 823–839. [Google Scholar] [CrossRef]
 - Bjorklund, S. A Survey and Comparison of Time-Delay Estimation Methods in Linear Systems; Lund Institute of Technology: Lund, Sweden, 2003. [Google Scholar]
 - Chan, Y.T.; Wood, J. A new order determination technique for ARMA processes. IEEE Trans. Acoust. Speech Signal. Process. 1984, 32, 517–521. [Google Scholar] [CrossRef]
 - Doerr, B.; Krejca, M.S. Significance-Based Estimation-of-Distribution Algorithms. IEEE Trans. Evol. Comput. 2020, 24, 1025–1034. [Google Scholar] [CrossRef]
 - Wang, G.; Ma, L. The Estimation of Particle Swarm Distribution Algorithm with Sensitivity Analysis for Solving Nonlinear Bilevel Programming Problems. IEEE Access 2020, 8, 137133–137149. [Google Scholar] [CrossRef]
 - Liang, Y.; Ren, Z.; Yao, X. Enhancing Gaussian Estimation of Distribution Algorithm by Exploiting Evolution Direction with Archive. IEEE Trans. Cybern. 2020, 50, 140–152. [Google Scholar] [CrossRef] [PubMed]
 - Chi, Y.; Yao, Y.; Hu, L. Study of Via Optimization Problem Based on Estimation of Distribution Algorithm. In Proceedings of the International Symposium on Computational Intelligence and Design (ISCID), Hangzhou, China, 14–15 December 2019; pp. 84–88. [Google Scholar]
 - Gao, S.; Qiu, L.; Cao, C.G. Improved Estimation of Distribution Algorithm for Multi-objective Optimization Problems. J. Nanjing Norm. Univ. (Nat. Sci. Ed.) 2015, 38, 108–112. [Google Scholar]
 - Zhou, J.; Zhang, J.; Zhu, H. Non-Gaussian system identification based on improved estimation of distribution algorithm. In Proceedings of the 2017 36th Chinese Control Conference (CCC), Dalian, China, 26–28 July 2017; pp. 2052–2057. [Google Scholar]
 - Zhang, H.; Zhou, J.; Wang, J. Performance Assessment of Non-Gaussian Systems Based on Double Error Entropy Minimization. In Proceedings of the 2019 IEEE 8th Data Driven Control and Learning Systems Conference (DDCLS), Dali, China, 24–27 May 2019; pp. 1177–1182. [Google Scholar]
 









| Project | Parameter Configuration | Identification Results | Iterations | ||
|---|---|---|---|---|---|
| EDA | [−1.4922, 0.5527, 1.6509, 0.6267] | 120 | |||
| H-EDA | [−1.7209, 0.7241, 1.4680, 0.8668] | 75 | |||
| [−1.7398, 0.7529, 1.4099, 0.7911] | 105 | ||||
| [−1.7309, 0.7227, 1.4219, 0.8113] | 82 | ||||
| [−1.6675, 0.6728, 1.4003, 0.7849] | 109 | ||||
| [−1.7273, 0.7305, 1.4085, 0.8173] | 91 | ||||
| [−1.6631, 0.6645, 1.4204, 0.8054] | 120 | ||||
| [−1.7197, 0.7218, 1.5160, 0.8851] | 76 | ||||
| [−1.7749, 0.7735, 1.4595, 0.8299] | 87 | ||||
| [−1.6919, 0.6975, 1.5009, 0.9104] | 62 | ||||
| [−1.7181, 0.7184, 1.5090, 0.8544] | 79 | ||||
| [−1.7304, 0.7310, 1.5164, 0.8964] | 95 | ||||
| [−1.6643, 0.6654, 1.4698, 0.8605] | 113 | ||||
| [−1.7112, 0.7176, 1.3935, 0.8291] | 71 | ||||
| [−1.7672, 0.7689, 1.1863, 0.5712] | 97 | ||||
| [−1.6734, 0.6737, 1.5061, 0.9069] | 104 | ||||
| [−1.7462, 0.7504, 1.4771, 0.8579] | 117 | ||||
| [−1.6823, 0.7446, 1.4500, 0.8403] | 109 | ||||
| [−1.7769, 0.7789, 1.4058, 0.8304] | 120 | ||||
| Actual Value | N (0, 0.255) | B (2, 9) | |||
| EDA | H-EDA | EDA | H-EDA | ||
| −1 | −0.9342 | −0.9873 | −1.0529 | −1.0027 | |
| 1 | 0.9186 | 0.9968 | 1.0848 | 1.0003 | |
| −1 | −0.9337 | −0.9816 | −0.9466 | −0.9992 | |
| −0.2 | −0.0879 | −0.1991 | −0.2365 | −0.2014 | |
| [1, 0.8] | [1, 0.7011] | [1, 0.7782] | [1, 0.8596] | [1, 0.8035] | |
| Time(s) | 29.9517 | 15.2724 | 35.4492 | 13.6584 | |
| E (0.5) | Bimodal Noise | ||||
| EDA | H-EDA | EDA | H-EDA | ||
| −1 | −0.9158 | −0.9884 | −0.9173 | −1.0097 | |
| 1 | 0.9389 | 0.9961 | 0.9377 | 1.0643 | |
| −1 | −0.9323 | −0.9924 | −0.8946 | −1.0853 | |
| −0.2 | −0.0865 | −0.1935 | −0.1556 | −0.2037 | |
| [1, 0.8] | [1, 0.7595] | [1, 0.7857] | [1, 0.6987] | [1, 0.8138] | |
| Time(s) | 30.9885 | 14.2616 | 29.6255 | 14.7962 | |
| Index | N (0, 0.255) | B (2, 9) | E (0.5) | Bimodal Noise | 
|---|---|---|---|---|
| 0.8809 | 0.9357 | 0.9408 | 0.9332 | |
| 0.8345 | 0.9016 | 09134 | 0.9267 | |
| 0.8794 | 0.9388 | 0.9399 | 0.9336 | 
| Actual Value  | N (0, 0.255) | B (2, 9) | |||
| Results of Traditional Correntropy | Results of Generalized Correntropy | Results of Traditional Correntropy | Results of Generalized Correntropy | ||
| −1 | −0.9312 | −0.9873 | −1.0148 | −1.0027 | |
| 1 | 1.0061 | 0.9968 | 1.0254 | 1.0003 | |
| −1 | −1.1073 | −0.9816 | −1.1995 | −0.9992 | |
| −0.2 | −0.1635 | −0.1991 | −0.1837 | −0.2014 | |
| [1, 0.8] | [1, 0.7149] | [1, 0.7782] | [1, 0.8434] | [1, 0.8035] | |
| 0.8566 | 0.8794 | 0.8927 | 0.9388 | ||
| Time(s) | 18.9443 | 15.2724 | 15.1667 | 13.6584 | |
| E (0.5) | Bimodal Noise | ||||
| −1 | −0.9838 | −0.9884 | −0.9945 | −1.0097 | |
| 1 | 0.9246 | 0.9961 | 1.0852 | 1.0643 | |
| −1 | −0.9697 | −0.9924 | −1.0521 | −1.0853 | |
| −0.2 | −0.2194 | −0.1935 | −0.1798 | −0.2037 | |
| [1, 0.8] | [1, 0.7520] | [1, 0.7857] | [1, 0.8102] | [1, 0.8138] | |
| 0.9071 | 0.9399 | 0.9462 | 0.9336 | ||
| Time(s) | 18.9936 | 14.2616 | 18.5615 | 14.7962 | |
| Index | Gaussian Noise | Non-Gaussian Noise | |
|---|---|---|---|
| K = 0.8 | 0.8406 | 0.6554 | |
| 0.8215 | 0.6021 | ||
| K = 1.0 | 0.8698 | 0.7077 | |
| 0.8520 | 0.6641 | ||
| K = 1.2 | 0.8874 | 0.7447 | |
| 0.8162 | 0.6429 | 
Publisher’s Note: MDPI stays neutral with regard to jurisdictional claims in published maps and institutional affiliations.  | 
© 2021 by the authors. Licensee MDPI, Basel, Switzerland. This article is an open access article distributed under the terms and conditions of the Creative Commons Attribution (CC BY) license (https://creativecommons.org/licenses/by/4.0/).
Share and Cite
Zhang, J.; Huang, G.; Zhang, L. Generalized Correntropy Criterion-Based Performance Assessment for Non-Gaussian Stochastic Systems. Entropy 2021, 23, 764. https://doi.org/10.3390/e23060764
Zhang J, Huang G, Zhang L. Generalized Correntropy Criterion-Based Performance Assessment for Non-Gaussian Stochastic Systems. Entropy. 2021; 23(6):764. https://doi.org/10.3390/e23060764
Chicago/Turabian StyleZhang, Jinfang, Guodou Huang, and Li Zhang. 2021. "Generalized Correntropy Criterion-Based Performance Assessment for Non-Gaussian Stochastic Systems" Entropy 23, no. 6: 764. https://doi.org/10.3390/e23060764
APA StyleZhang, J., Huang, G., & Zhang, L. (2021). Generalized Correntropy Criterion-Based Performance Assessment for Non-Gaussian Stochastic Systems. Entropy, 23(6), 764. https://doi.org/10.3390/e23060764
        
                                                
