Semi-Classical Discretization and Long-Time Evolution of Variable Spin Systems
Abstract
1. Introduction
2. Variable Spin Wigner Function
3. Wigner Function Dynamics in the Semi-Classical Limit
4. Asymptotic Quantization and Discretization Procedure
5. Examples
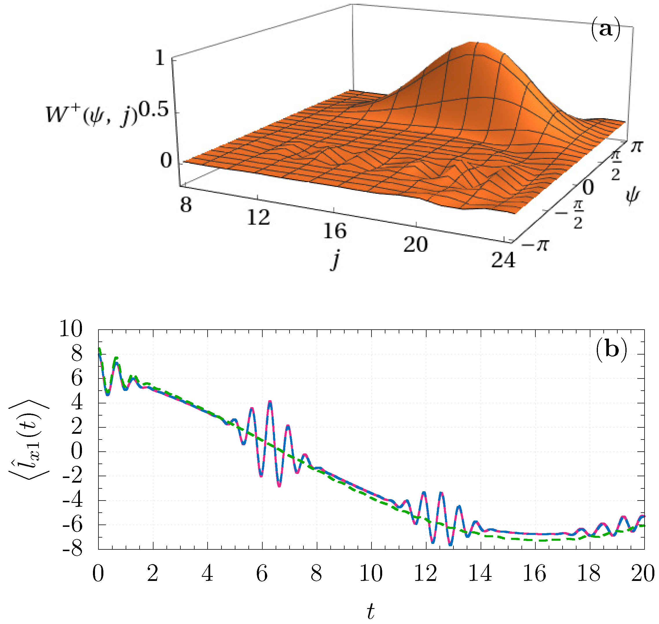
5.1. Rigid Rotor in an External Field
5.2. Spin–Spin Interaction
6. Conclusions
Author Contributions
Funding
Institutional Review Board Statement
Informed Consent Statement
Data Availability Statement
Acknowledgments
Conflicts of Interest
Appendix A
Appendix B
References
- Schroeck, F.E., Jr. Quantum Mechanics on Phase Space; Fundamental Theories of Physics; Springer: Heidelberg, Germany, 1996. [Google Scholar] [CrossRef]
- Schleich, W.P. Quantum Optics in Phase Space; John Wiley & Sons, Ltd.: Hoboken, NJ, USA, 2001. [Google Scholar] [CrossRef]
- Zachos, C.K.; Fairlie, D.B.; Curtright, T.L. Quantum Mechanics in Phase Space; World Scientific: Singapore, 2005. [Google Scholar] [CrossRef]
- Ozorio de Almeida, A.M. The Weyl representation in classical and quantum mechanics. Phys. Rep. 1998, 295. [Google Scholar] [CrossRef]
- Moyal, J.E. Quantum mechanics as a statistical theory. Math. Proc. Camb. Philos. Soc. 1949, 45, 99–124. [Google Scholar] [CrossRef]
- Perelomov, A. Generalized Coherent States and Their Applications; Theoretical and Mathematical Physics; Springer: Berlin/Heidelberg, Germany, 1986. [Google Scholar] [CrossRef]
- Zhang, W.M.; Feng, D.H.; Gilmore, R. Coherent states: Theory and some applications. Rev. Mod. Phys. 1990, 62, 867–927. [Google Scholar] [CrossRef]
- Gadella, M. Moyal Formulation of Quantum Mechanics. Fortschritte Der Phys. Phys. 1995, 43, 229–264. [Google Scholar] [CrossRef]
- Brif, C.; Mann, A. Phase-space formulation of quantum mechanics and quantum-state reconstruction for physical systems with Lie-group symmetries. Phys. Rev. A 1999, 59, 971–987. [Google Scholar] [CrossRef]
- Klimov, A.B.; Chumakov, S.M. A Group-Theoretical Approach to Quantum Optics: Models of Atom-Field Interactions; John Wiley & Sons, Ltd.: Hoboken, NJ, USA, 2009. [Google Scholar] [CrossRef]
- Klimov, A.B.; Romero, J.L. A generalized Wigner function for quantum systems with the SU(2) dynamical symmetry group. J. Phys. A Math. Theor. 2008, 41, 055303. [Google Scholar] [CrossRef]
- Tomatani, K.; Romero, J.L.; Klimov, A.B. Semiclassical phase-space dynamics of compound quantum systems: SU(2) covariant approach. J. Phys. A Math. Theor. 2015, 48, 215303. [Google Scholar] [CrossRef]
- Heller, E.J. Wigner phase space method: Analysis for semiclassical applications. J. Chem. Phys. 1976, 65, 1289–1298. [Google Scholar] [CrossRef]
- Heller, E.J. Phase space interpretation of semiclassical theory. J. Chem. Phys. 1977, 67, 3339–3351. [Google Scholar] [CrossRef]
- Davis, M.J.; Heller, E.J. Comparisons of classical and quantum dynamics for initially localized states. J. Chem. Phys. 1984, 80, 5036–5048. [Google Scholar] [CrossRef]
- Kinsler, P.; Fernée, M.; Drummond, P.D. Limits to squeezing and phase information in the parametric amplifier. Phys. Rev. A 1993, 48, 3310–3320. [Google Scholar] [CrossRef] [PubMed]
- Drobný, G.; Jex, I. Quantum properties of field modes in trilinear optical processes. Phys. Rev. A 1992, 46, 499–506. [Google Scholar] [CrossRef] [PubMed]
- Drobný, G.; Bandilla, A.; Jex, I. Quantum description of nonlinearly interacting oscillators via classical trajectories. Phys. Rev. A 1997, 55, 78–93. [Google Scholar] [CrossRef]
- Polkovnikov, A. Phase space representation of quantum dynamics. Ann. Phys. 2010, 325, 1790–1852. [Google Scholar] [CrossRef]
- Amiet, J.P.; Cibils, M.B. Description of quantum spin using functions on the sphere S2. J. Phys. A Math. Gen. 1991, 24, 1515–1535. [Google Scholar] [CrossRef]
- Klimov, A.B. Exact evolution equations for SU(2) quasidistribution functions. J. Math. Phys. 2002, 43, 2202–2213. [Google Scholar] [CrossRef]
- Klimov, A.B.; Espinoza, P. Classical evolution of quantum fluctuations in spin-like systems: Squeezing and entanglement. J. Opt. B Quantum Semiclassical Opt. 2005, 7, 183–188. [Google Scholar] [CrossRef]
- Kalmykov, Y.P.; Coffey, W.T.; Titov, S.V. SPIN RELAXATION IN PHASE SPACE. Adv. Chem. Phys. 2016, 161, 41–275. [Google Scholar] [CrossRef]
- de Aguiar, M.A.M.; Vitiello, S.A.; Grigolo, A. An initial value representation for the coherent state propagator with complex trajectories. Chem. Phys. 2010, 370, 42–50. [Google Scholar] [CrossRef]
- Viscondi, T.F.; de Aguiar, M.A.M. Semiclassical propagator for SU(n) coherent states. J. Math. Phys. 2011, 52, 052104. [Google Scholar] [CrossRef]
- Gottwald, F.; Ivanov, S.D. Semiclassical propagation: Hilbert space vs. Wigner representation. Chem. Phys. 2018, 503, 77–83. [Google Scholar] [CrossRef]
- Klimov, A.B.; Romero, J.L.; de Guise, H. Generalized SU(2) covariant Wigner functions and some of their applications. J. Phys. A Math. Theor. 2017, 50, 323001. [Google Scholar] [CrossRef]
- Ehrenfest, P. Bemerkung über die angenäherte Gültigkeit der klassischen Mechanik innerhalb der Quantenmechanik. Z. FüR Phys. 1927, 45, 455–457. [Google Scholar] [CrossRef]
- Zaslavsky, G.M. Stochasticity in quantum systems. Phys. Rep. 1981, 80, 157–250. [Google Scholar] [CrossRef]
- Hagedorn, G.; Joye, A. Exponentially Accurate Semiclassical Dynamics: Propagation, Localization, Ehrenfest Times, Scattering, and More General States. Ann. Henri Poincaré 2000, 1, 837–883. [Google Scholar] [CrossRef]
- Silvestrov, P.G.; Beenakker, C.W.J. Ehrenfest times for classically chaotic systems. Phys. Rev. E 2002, 65, 035208. [Google Scholar] [CrossRef] [PubMed]
- Schubert, R.; Vallejos, R.O.; Toscano, F. How do wave packets spread? Time evolution on Ehrenfest time scales. J. Phys. A Math. Theor. 2012, 45, 215307. [Google Scholar] [CrossRef]
- Filinov, V.S.; Bonitz, M.; Filinov, A.; Golubnychiy, V.O. Wigner Function Quantum Molecular Dynamics. In Computational Many-Particle Physics; Fehske, H., Schneider, R., Weiße, A., Eds.; Lecture Notes in Physics; Springer: Berlin/Heidelberg, Germany, 2008; pp. 41–60. [Google Scholar] [CrossRef]
- Schubert, G.; Filinov, V.S.; Matyash, K.; Schneider, R.; Fehske, H. Comparative study of semiclassical approaches to quantum dynamics. Int. J. Mod. Phys. C 2009, 20, 1155–1186. [Google Scholar] [CrossRef]
- Dittrich, T.; Viviescas, C.; Sandoval, L. Semiclassical Propagator of the Wigner Function. Phys. Rev. Lett. 2006, 96, 070403. [Google Scholar] [CrossRef]
- Dittrich, T.; Gómez, E.A.; Pachón, L.A. Semiclassical propagation of Wigner functions. J. Chem. Phys. 2010, 132, 214102. [Google Scholar] [CrossRef]
- Maia, R.N.P.; Nicacio, F.; Vallejos, R.O.; Toscano, F. Semiclassical Propagation of Gaussian Wave Packets. Phys. Rev. Lett. 2008, 100, 184102. [Google Scholar] [CrossRef]
- Toscano, F.; Vallejos, R.O.; Wisniacki, D. Semiclassical description of wave packet revival. Phys. Rev. E 2009, 80, 046218. [Google Scholar] [CrossRef]
- Ozorio de Almeida, A.M.; Vallejos, R.O.; Zambrano, E. Initial or final values for semiclassical evolutions in the Weyl–Wigner representation. J. Phys. A Math. Theor. 2013, 46, 135304. [Google Scholar] [CrossRef]
- Tomsovic, S.; Schlagheck, P.; Ullmo, D.; Urbina, J.D.; Richter, K. Post-Ehrenfest many-body quantum interferences in ultracold atoms far out of equilibrium. Phys. Rev. A 2018, 97, 061606. [Google Scholar] [CrossRef]
- Lando, G.M.; Vallejos, R.O.; Ingold, G.L.; de Almeida, A.M.O. Quantum revival patterns from classical phase-space trajectories. Phys. Rev. A 2019, 99, 042125. [Google Scholar] [CrossRef]
- de M. Rios, P.P.; Ozorio de Almeida, A.M. On the propagation of semiclassical Wigner functions. J. Phys. A Math. Gen. 2002, 35, 2609–2617. [Google Scholar] [CrossRef]
- Ozorio de Almeida, A.M.; Brodier, O. Phase space propagators for quantum operators. Ann. Phys. 2006, 321, 1790–1813. [Google Scholar] [CrossRef]
- Takahashi, K.; Shudo, A. Dynamical Fluctuations of Observables and the Ensemble of Classical Trajectories. J. Phys. Soc. Jpn. 1993, 62, 2612–2635. [Google Scholar] [CrossRef]
- Schachenmayer, J.; Pikovski, A.; Rey, A. Many-Body Quantum Spin Dynamics with Monte Carlo Trajectories on a Discrete Phase Space. Phys. Rev. X 2015, 5, 011022. [Google Scholar] [CrossRef]
- Schachenmayer, J.; Pikovski, A.; Rey, A.M. Dynamics of correlations in two-dimensional quantum spin models with long-range interactions: A phase-space Monte-Carlo study. New J. Phys. 2015, 17, 065009. [Google Scholar] [CrossRef]
- Acevedo, O.L.; Safavi-Naini, A.; Schachenmayer, J.; Wall, M.L.; Nandkishore, R.; Rey, A.M. Exploring many-body localization and thermalization using semiclassical methods. Phys. Rev. A 2017, 96, 033604. [Google Scholar] [CrossRef]
- Piñeiro Orioli, A.; Safavi-Naini, A.; Wall, M.L.; Rey, A.M. Nonequilibrium dynamics of spin-boson models from phase-space methods. Phys. Rev. A 2017, 96, 033607. [Google Scholar] [CrossRef]
- Pucci, L.; Roy, A.; Kastner, M. Simulation of quantum spin dynamics by phase space sampling of Bogoliubov-Born-Green-Kirkwood-Yvon trajectories. Phys. Rev. B 2016, 93, 174302. [Google Scholar] [CrossRef]
- Sundar, B.; Wang, K.C.; Hazzard, K.R.A. Analysis of continuous and discrete Wigner approximations for spin dynamics. Phys. Rev. A 2019, 99, 043627. [Google Scholar] [CrossRef]
- Littlejohn, R.G.; Cargo, M.; Carrington, T.; Mitchell, K.A.; Poirier, B. A general framework for discrete variable representation basis sets. J. Chem. Phys. 2002, 116, 8691–8703. [Google Scholar] [CrossRef]
- Light, J.C.; Carrington, T. Discrete-Variable Representations and their Utilization. Adv. Chem. Phys. 2000, 114, 263–310. [Google Scholar] [CrossRef]
- Glauber, R.J. Photon Correlations. Phys. Rev. Lett. 1963, 10, 84–86. [Google Scholar] [CrossRef]
- Sudarshan, E.C.G. Equivalence of Semiclassical and Quantum Mechanical Descriptions of Statistical Light Beams. Phys. Rev. Lett. 1963, 10, 277–279. [Google Scholar] [CrossRef]
- Cahill, K.E.; Glauber, R.J. Ordered Expansions in Boson Amplitude Operators. Phys. Rev. 1969, 177, 1857–1881. [Google Scholar] [CrossRef]
- Cahill, K.E.; Glauber, R.J. Density Operators and Quasiprobability Distributions. Phys. Rev. 1969, 177, 1882–1902. [Google Scholar] [CrossRef]
- Stratonovich, R.L. On distributions in representation space. Sov. Phys. JETP 1957, 4, 891–898. [Google Scholar]
- Agarwal, G.S. Relation between atomic coherent-state representation, state multipoles, and generalized phase-space distributions. Phys. Rev. A 1981, 24, 2889–2896. [Google Scholar] [CrossRef]
- Várilly, J.C.; Gracia-Bondía, J.M. The Moyal representation for spin. Ann. Phys. 1989, 190, 107–148. [Google Scholar] [CrossRef]
- Sun, X.; Chen, Z. Spherical basis functions and uniform distribution of points on spheres. J. Approx. Theory 2008, 151, 186–207. [Google Scholar] [CrossRef]
- Harter, W.G.; Patterson, C.W. Rotational energy surfaces and high-J eigenvalue structure of polyatomic molecules. J. Chem. Phys. 1984, 80, 4241–4261. [Google Scholar] [CrossRef]
- Schmiedt, H.; Schlemmer, S.; Yurchenko, S.N.; Yachmenev, A.; Jensen, P. A semi-classical approach to the calculation of highly excited rotational energies for asymmetric-top molecules. Phys. Chem. Chem. Phys. 2017, 19, 1847–1856. [Google Scholar] [CrossRef] [PubMed]
- Blum, K. Density Matrix Theory and Applications, 3rd ed.; Springer Series on Atomic, Optical, and Plasma Physics 64; Springer: Berlin/Heidelberg, Germany, 2012. [Google Scholar] [CrossRef]
- Varshalovich, D.A.; Moskalev, A.N.; Khersonskii, V.K. Quantum Theory of Angular Momentum; World Scientific: Singapore, 1988. [Google Scholar] [CrossRef]
- Biedenharn, L.C.; Louck, J.D. Angular Momentum in Quantum Physics: Theory and Application; Encyclopedia of Mathematics and its Applications; Cambridge University Press: Cambridge, UK, 1984. [Google Scholar] [CrossRef]
- Bayen, F.; Flato, M.; Fronsdal, C.; Lichnerowicz, A.; Sternheimer, D. Deformation theory and quantization. I. Deformations of symplectic structures. Ann. Phys. 1978, 111, 61–110. [Google Scholar] [CrossRef]
- Klimov, A.B.; Espinoza, P. Moyal-like form of the star product for generalized SU(2) Stratonovich-Weyl symbols. J. Phys. A Math. Gen. 2002, 35, 8435. [Google Scholar] [CrossRef]
- de M. Rios, P.; Straume, E. Symbol Correspondences for Spin Systems; Birkhäuser Basel (Springer Int. Publ., Switzerland): Cham, Switzerland, 2014. [Google Scholar] [CrossRef]
- Steuernagel, O.; Kakofengitis, D.; Ritter, G. Wigner Flow Reveals Topological Order in Quantum Phase Space Dynamics. Phys. Rev. Lett. 2013, 110, 030401. [Google Scholar] [CrossRef]
- Oliva, M.; Kakofengitis, D.; Steuernagel, O. Anharmonic quantum mechanical systems do not feature phase space trajectories. Phys. A Stat. Mech. Its Appl. 2018, 502, 201–210. [Google Scholar] [CrossRef]
- Oliva, M.; Steuernagel, O. Quantum Kerr oscillators’ evolution in phase space: Wigner current, symmetries, shear suppression, and special states. Phys. Rev. A 2019, 99, 032104. [Google Scholar] [CrossRef]
- Wootters, W.K. A Wigner-function formulation of finite-state quantum mechanics. Ann. Phys. 1987, 176, 1–21. [Google Scholar] [CrossRef]
- Whittaker, E.T. On the Functions which are represented by the Expansions of the Interpolation-Theory. Proc. R. Soc. Edinb. 1915, 35, 181–194. [Google Scholar] [CrossRef]
- Shannon, C. Communication in the Presence of Noise. Proc. IRE 1949, 37, 10–21. [Google Scholar] [CrossRef]
- Kotelnikov, V.A. On the carrying capacity of the. Material for the First All-Union Conference on Questions of Communication (Russian); Izd. Red. Upr. Svyzai RKKA: Moscow, Russia, 1933. [Google Scholar]
- Rybicki, G.B. Dawson’s Integral and the Sampling Theorem. Comput. Phys. 1989, 3, 85–87. [Google Scholar] [CrossRef]
- Genz, A.C.; Malik, A.A. Remarks on algorithm 006: An adaptive algorithm for numerical integration over an N-dimensional rectangular region. J. Comput. Appl. Math. 1980, 6, 295–302. [Google Scholar] [CrossRef]
- Johnson, S.G. Multi-Dimensional Adaptive Integration (Cubature) in C. 2017. Available online: https://github.com/stevengj/cubature (accessed on 27 July 2020).
- Verner, J.H. Numerically optimal Runge–Kutta pairs with interpolants. Numer. Algorithms 2010, 53, 383–396. [Google Scholar] [CrossRef]
- Robinett, R.W. Quantum wave packet revivals. Phys. Rep. 2004, 392, 1–119. [Google Scholar] [CrossRef]
- Zhu, B.; Rey, A.M.; Schachenmayer, J. A generalized phase space approach for solving quantum spin dynamics. New J. Phys. 2019, 21, 082001. [Google Scholar] [CrossRef]
- Goodman, R.; Wallach, N. Representations and Invariants of the Classical Groups, Encyclopedia of Mathematics and its Applications; Cambridge University Press: Cambridge, UK, 1998. [Google Scholar]


Publisher’s Note: MDPI stays neutral with regard to jurisdictional claims in published maps and institutional affiliations. |
© 2021 by the authors. Licensee MDPI, Basel, Switzerland. This article is an open access article distributed under the terms and conditions of the Creative Commons Attribution (CC BY) license (https://creativecommons.org/licenses/by/4.0/).
Share and Cite
Morales-Hernández, G.E.; Castellanos, J.C.; Romero, J.L.; Klimov, A.B. Semi-Classical Discretization and Long-Time Evolution of Variable Spin Systems. Entropy 2021, 23, 684. https://doi.org/10.3390/e23060684
Morales-Hernández GE, Castellanos JC, Romero JL, Klimov AB. Semi-Classical Discretization and Long-Time Evolution of Variable Spin Systems. Entropy. 2021; 23(6):684. https://doi.org/10.3390/e23060684
Chicago/Turabian StyleMorales-Hernández, Giovani E., Juan C. Castellanos, José L. Romero, and Andrei B. Klimov. 2021. "Semi-Classical Discretization and Long-Time Evolution of Variable Spin Systems" Entropy 23, no. 6: 684. https://doi.org/10.3390/e23060684
APA StyleMorales-Hernández, G. E., Castellanos, J. C., Romero, J. L., & Klimov, A. B. (2021). Semi-Classical Discretization and Long-Time Evolution of Variable Spin Systems. Entropy, 23(6), 684. https://doi.org/10.3390/e23060684

