Resampled Efficient Frontier Integration for MOEAs
Abstract
1. Introduction
2. Suggested Approaches
- Minimize risk:
- Maximize return:
- Subject to:where n represents the number of assets that might be included in the portfolio, is the expected return for asset i, is the covariance of returns between asset i and j, and is the weight of asset i in the portfolio.
- Investment limits: weights must be defined in the interval [, ], where
- Cardinality constraints: there is a minimum and maximum number of assets that can be part of a portfolio ().
2.1. Approach 1
2.2. Approach 2
2.3. Approach 3
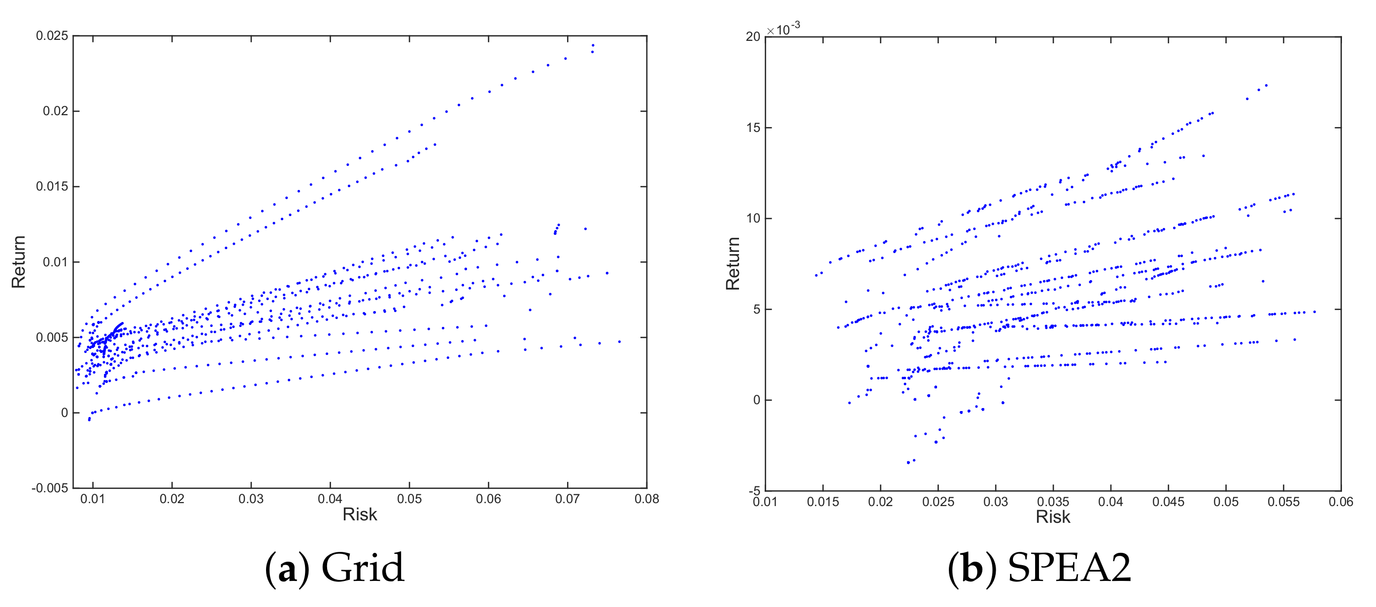
3. Experimental Analysis
3.1. Data Set
3.2. Experimental Design and Optimization Process
| Algorithm 1 Repair after initialization. |
|
Initialize population P as a set of vectors with real numbers ; for each individual of P do A random number ∈ of values 0 are assigned to coordinates of vector while do if sum of the of is then select random coordinate j of vector such that and assign end if if sum of the of is then select random coordinate j of vector such that and assign end if if then select random coordinate j of vector such that add/subtract the quantity left to make meeting end if end while end for Return(P) |
| Algorithm 2 Repair after genetic operators. |
|
for each individual of P do if there are fewer than then set one random to end if if there are more than then set the with lowest value to end if while do if sum of the of is then select random coordinate j of vector such that and assign end if if sum of the of is then select random coordinate j of vector such that and assign end if if then select one random add/subtract one random quantity left to make meeting end if end while end for Return(P) |
3.3. Stability Measures
- Estimation Error: this indicator measures the aggregate sensitivity of the forecast for efficient frontier to a large number of probable scenarios, regardless of the one which happened to materialize. It is computed by averaging the mean average deviation in the portfolio’s expected risk/return profiles vs. the expected ones over S different synthetic scenarios generated using non-parametric bootstrap. Once again, given the scale differences and the connection between the two objectives, we rely on Mahalanobis distance. The metric is formally defined aswhere is the Mahalanobis distance between , the expected return and risk of portfolio p in period and , the risk and return of the same portfolio and period, for the synthetic scenario i.
- Sensitivity to Extreme Risk: This metric evaluates the impact of worst-case scenarios on the reliability of the forecasted efficient frontier. This is a constrained version of the previous one, focused on the w worst scenarios. In this case, the same S scenarios are generated and evaluated, but the computation of the mean average Mahalanobis distance is limited to the scenarios for which this deviation is the largest. This serves as a tail risk indicator that measures the expected average negative outcome of the realization of the worst scenarios with probability . Once again, the higher the metric, the less robust the solution. In the experimental analysis, we will consider two thresholds: the 5% worst scenarios and the 1% ones.
3.4. Experimental Results
4. Summary and Conclusions
Author Contributions
Funding
Institutional Review Board Statement
Informed Consent Statement
Data Availability Statement
Acknowledgments
Conflicts of Interest
References
- Markowitz, H. Portfolio Selection. J. Financ. 1952, 7, 77–91. [Google Scholar]
- Markowitz, H. Portfolio Selection: Efficient Diversification of Investments; John Wiley & Son: Hoboken, NJ, USA, 1959. [Google Scholar]
- Bertsimas, D.; Sim, M. The Price of Robustness. Oper. Res. 2004, 52, 35–53. [Google Scholar] [CrossRef]
- Fliege, J.; Werner, R. Robust multiobjective optimization & applications in portfolio optimization. Eur. J. Oper. Res. 2014, 234, 422–433. [Google Scholar] [CrossRef]
- Dai, Z.; Wang, F. Sparse and robust mean–variance portfolio optimization problems. Phys. A Stat. Mech. Its Appl. 2019, 523, 1371–1378. [Google Scholar] [CrossRef]
- Xidonas, P.; Steuer, R.; Hassapis, C. Robust portfolio optimization: A categorized bibliographic review. Ann. Oper. Res. 2020, 292, 533–552. [Google Scholar] [CrossRef]
- Metaxiotis, K.; Liagkouras, K. Multiobjective Evolutionary Algorithms for Portfolio Management: A comprehensive literature review. Expert Syst. Appl. 2012, 39, 11685–11698. [Google Scholar] [CrossRef]
- Ponsich, A.; Jaimes, A.L.; Coello, C.A.C. A Survey on Multiobjective Evolutionary Algorithms for the Solution of the Portfolio Optimization Problem and Other Finance and Economics Applications. IEEE Trans. Evol. Comput. 2013, 17, 321–344. [Google Scholar] [CrossRef]
- Liagkouras, K.; Metaxiotis, K. Handling the complexities of the multi-constrained portfolio optimization problem with the support of a novel MOEA. J. Oper. Res. Soc. 2018, 69, 1609–1627. [Google Scholar] [CrossRef]
- Hilario-Caballero, A.; Garcia-Bernabeu, A.; Salcedo, J.V.; Vercher, M. Tri-Criterion Model for Constructing Low-Carbon Mutual Fund Portfolios: A Preference-Based Multi-Objective Genetic Algorithm Approach. Int. J. Environ. Res. Public Health 2020, 17. [Google Scholar] [CrossRef]
- Meghwani, S.S.; Thakur, M. Multi-criteria algorithms for portfolio optimization under practical constraints. Swarm Evol. Comput. 2017, 37, 104–125. [Google Scholar] [CrossRef]
- Kalayci, C.B.; Ertenlice, O.; Akbay, M.A. A comprehensive review of deterministic models and applications for mean-variance portfolio optimization. Expert Syst. Appl. 2019, 125, 345–368. [Google Scholar] [CrossRef]
- Ferreira, F.G.D.C.; Gandomi, A.H.; Cardoso, R.T.N. Artificial Intelligence Applied to Stock Market Trading: A Review. IEEE Access 2021, 9, 30898–30917. [Google Scholar] [CrossRef]
- Kritzman, M. Are Optimizers Error Maximizers? J. Portf. Manag. 2006, 32, 66–69. [Google Scholar] [CrossRef]
- Jorion, P. Portfolio Optimization in Practice. Financ. Anal. J. 1992, 48, 68–74. [Google Scholar] [CrossRef]
- Michaud, R.O.; Michaud, R. Portfolio Optimization by Means of Resampled Efficient Frontiers. U.S. Patent 6,003,018, 14 December 1999. [Google Scholar]
- Michaud, R.O.; Michaud, R.O. Efficient Asset Management: A Practical Guide to Stock Portfolio Optimization and Asset Allocation; Oxford University Press: Oxford, UK, 2008. [Google Scholar]
- García, S.; Quintana, D.; Galván, I.M.; Isasi, P. Extended mean–variance model for reliable evolutionary portfolio optimization. AI Commun. 2014, 27, 315–324. [Google Scholar] [CrossRef]
- Azevedo, C.R.B.; Von Zuben, F.J. Anticipatory Stochastic Multi-Objective Optimization for uncertainty handling in portfolio selection. In Proceedings of the 2013 IEEE Congress on Evolutionary Computation, Cancun, Mexico, 20–23 June 2013; pp. 157–164. [Google Scholar] [CrossRef]
- Quintana, D.; Denysiuk, R.; Garcia-Rodriguez, S.; Gaspar-Cunha, A. Portfolio Implementation Risk Management Using Evolutionary Multiobjective Optimization. Appl. Sci. 2017, 7. [Google Scholar] [CrossRef]
- Solares, E.; Coello Coello, C.A.; Fernandez, E.; Navarro, J. Handling uncertainty through confidence intervals in portfolio optimization. Swarm Evol. Comput. 2019, 44, 774–787. [Google Scholar] [CrossRef]
- Black, F.; Litterman, R.B. Asset Allocation. J. Fixed Income 1991, 1, 7–18. [Google Scholar] [CrossRef]
- Ledoit, O.; Wolf, M. Improved estimation of the covariance matrix of stock returns with an application to portfolio selection. J. Empir. Financ. 2003, 10, 603–621. [Google Scholar] [CrossRef]
- Zitzler, E.; Laumanns, M.; Thiele, L. SPEA2: Improving the Strength Pareto Evolutionary Algorithm; Technical Report 103; Computer Engineering and Networks Laboratory (TIK), Swiss Federal Institute of Technology (ETH): Zurich, Switzerland, 2001. [Google Scholar]
- Kritzman, M.; Li, Y. Skulls, Financial Turbulence, and Risk Management. Financ. Anal. J. 2010, 66, 30–41. [Google Scholar] [CrossRef]
- Boudt, K.; Peterson, B.; Croux, C. Estimation and decomposition of downside risk for portfolios with non-normal returns. J. Risk 2008, 11, 79–103. [Google Scholar] [CrossRef]
- Stockl, S.; Hanke, M. Financial Applications of the Mahalanobis Distance. Appl. Econ. Financ. 2014, 1, 78–84. [Google Scholar] [CrossRef]
- Zitzler, E.; Thiele, L. An Evolutionary Algorithm for Multiobjective Optimization: The Strength Pareto Approach; Technical Report 43; ETH Zurich: Zurich, Switzerland, 1998. [Google Scholar]
- Ferreira, F.; Hanaoka, G.; Paiva, F.; Cardoso, R. Parallel MOEAs for Combinatorial Multiobjective Optimization Model of Financial Portfolio Selection. In Proceedings of the 2018 IEEE Congress on Evolutionary Computation (CEC), Rio de Janeiro, Brazil, 8–13 July 2018; pp. 1–8. [Google Scholar] [CrossRef]
- Kaucic, M.; Moradi, M.; Mirzazadeh, M. Portfolio optimization by improved NSGA-II and SPEA 2 based on different risk measures. Financ. Innov. 2019, 5, 1–28. [Google Scholar] [CrossRef]
- Skolpadungket, P.; Dahal, K.; Harnpornchai, N. Portfolio optimization using multi-obj ective genetic algorithms. In Proceedings of the 2007 IEEE Congress on Evolutionary Computation, Singapore, 25–28 September 2007; pp. 516–523. [Google Scholar] [CrossRef]
- Schaffer, J.D. Multiple objective optimization with vector evaluated genetic algorithms. In Proceedings of the First International Conference on Genetic Algorithms and Their Applications; Psychology Press: New York, NY, USA, 1985. [Google Scholar]
- Fonseca, C.M.; Fleming, P.J. Genetic Algorithms for Multiobjective Optimization: FormulationDiscussion and Generalization. In Proceedings of the 5th International Conference on Genetic Algorithms, Urbana-Champaign, IL, USA; Morgan Kaufmann Publishers Inc.: San Francisco, CA, USA, 1993; pp. 416–423. [Google Scholar]
- Deb, K.; Pratap, A.; Agarwal, S.; Meyarivan, T. A Fast and Elitist Multiobjective Genetic Algorithm: NSGA-II. IEEE Trans. Evol. Comput. 2002, 6, 182–197. [Google Scholar] [CrossRef]
- Anagnostopoulos, K.; Mamanis, G. A portfolio optimization model with three objectives and discrete variables. Comput. Oper. Res. 2010, 37, 1285–1297. [Google Scholar] [CrossRef]
- Corne, D.W.; Knowles, J.D.; Oates, M.J. The Pareto Envelope-Based Selection Algorithm for Multiobjective Optimization. In Proceedings of the 6th International Conference on Parallel Problem Solving from Nature (PPSN VI), Paris, Prance, 18–20 September 2000; Springer: Berlin/Heidelberg, Germany, 2000; pp. 839–848. [Google Scholar]
- García, S.; Quintana, D.; Galván, I.M.; Isasi, P. Time-stamped resampling for robust evolutionary portfolio optimization. Expert Syst. Appl. 2012, 39, 10722–10730. [Google Scholar] [CrossRef]
- Quintana, D.; García-Rodríguez, S.; Cincotti, S.; Isasi, P. Combining RMT-based filtering with time-stamped resampling for robust portfolio optimization. Int. J. Comput. Intell. Syst. 2015, 8, 874–885. [Google Scholar] [CrossRef]
- Derrac, J.; García, S.; Molina, D.; Herrera, F. A practical tutorial on the use of nonparametric statistical tests as a methodology for comparing evolutionary and swarm intelligence algorithms. Swarm Evol. Comput. 2011, 1, 3–18. [Google Scholar] [CrossRef]
- Friedman, M. The Use of Ranks to Avoid the Assumption of Normality Implicit in the Analysis of Variance. J. Am. Stat. Assoc. 1937, 32, 675–701. [Google Scholar] [CrossRef]
- Shaffer, J.P. Modified Sequentially Rejective Multiple Test Procedures. J. Am. Stat. Assoc. 1986, 81, 826–831. [Google Scholar] [CrossRef]
- Triguero, I.; González, S.; Moyano, J.M.; García, S.; Alcalá-Fdez, J.; Luengo, J.; Fernández, A.; del Jesús, M.J.; Sánchez, L.; Herrera, F. KEEL 3.0: An Open Source Software for Multi-Stage Analysis in Data Mining. Int. J. Comput. Intell. Syst. 2017, 10, 1238–1249. [Google Scholar] [CrossRef]





| Name | Code |
|---|---|
| Frank Russell 2000 Growth | FRUS2GR |
| Frank Russell 1000 Value | FRUS1VA |
| Frank Russell 1000 Growth | FRUS1GR |
| S&P GSCI Commodity Total Return | GSCITOT |
| MSCI EAFE | MSEAFEL |
| S&P U.S. Treasury Bond Index | SPBDUSB |
| IBOXX $ Corporates | IBUCPAL |
| Parameter | Value |
|---|---|
| Generations | 1000 |
| Population size | 50 individuals |
| Archive size | 50 individuals |
| Crossover | SBX, = 0.7 |
| Mutation | Polynomial, = 1/L |
| Selection of Parents | Binary tournament |
| Mean | Median | St. Dev. | Min | Max | ||
|---|---|---|---|---|---|---|
| Stability | Approach 1 | 0.9502 | 0.9451 | 0.0809 | 0.8241 | 1.2849 |
| Approach 1 (R) | 0.9515 | 0.9268 | 0.0978 | 0.8243 | 1.2849 | |
| Approach 2 | 0.8817 | 0.8611 | 0.0582 | 0.8035 | 1.0957 | |
| Approach 3 | 0.8890 | 0.8642 | 0.0803 | 0.7845 | 1.1782 | |
| ER 5% | Approach 1 | 2.3048 | 2.3126 | 0.1645 | 1.2776 | 2.6757 |
| Approach 1 (R) | 2.2911 | 2.3048 | 0.2159 | 1.2564 | 2.6378 | |
| Approach 2 | 2.2474 | 2.2447 | 0.0866 | 2.0589 | 2.5179 | |
| Approach 3 | 2.2432 | 2.2390 | 0.1063 | 2.0362 | 2.5562 | |
| ER 1% | Approach 1 | 2.8026 | 2.8091 | 0.2553 | 1.2776 | 3.2984 |
| Approach 1 (R) | 2.7820 | 2.8116 | 0.3264 | 1.2564 | 3.2297 | |
| Approach 2 | 2.7506 | 2.7312 | 0.1680 | 2.4015 | 3.1824 | |
| Approach 3 | 2.7418 | 2.7189 | 0.1810 | 2.3960 | 3.1863 |
| Stability | ER 5% | ER 1% | |
|---|---|---|---|
| Approach 1 | 3.3083 | 3.2160 | 3.1750 |
| Approach 1 (R) | 3.1333 | 3.0542 | 3.0833 |
| Approach 2 | 1.6917 | 1.9667 | 1.9667 |
| Approach 3 | 1.8667 | 1.7625 | 1.7750 |
| Friedman Statistic | 151.8500 | 118.7325 | 115.6300 |
| Stability | ER 5% | ||||||
|---|---|---|---|---|---|---|---|
| Ap. 1 (R) | Ap. 2 | Ap. 3 | Ap. 1 (R) | Ap. 2 | Ap. 3 | ||
| Ap. 1 | = | = | |||||
| Ap. 1 (R) | |||||||
| Ap. 2 | = | = | |||||
| ER 1% | |||||||
| Ap. 1 (R) | Ap. 2 | Ap. 3 | |||||
| Ap. 1 | = | ||||||
| Ap. 1 (R) | |||||||
| Ap. 2 | = | ||||||
| Mean | Median | St. Dev. | Min | Max | ||
|---|---|---|---|---|---|---|
| Stability | Standard | 0.7546 | 0.7475 | 0.0267 | 0.7182 | 0.8486 |
| Approach 1 | 0.7670 | 0.7713 | 0.0379 | 0.6184 | 0.8705 | |
| Approach 1 (R) | 0.8367 | 0.8194 | 0.0992 | 0.6828 | 1.2773 | |
| Approach 2 | 0.8148 | 0.7660 | 0.1389 | 0.6892 | 1.3001 | |
| Approach 3 | 0.7949 | 0.7395 | 0.1619 | 0.5583 | 1.2573 | |
| ER 5% | Standard | 1.9933 | 1.9915 | 0.0728 | 1.8294 | 2.1928 |
| Approach 1 | 2.0154 | 2.0362 | 0.1267 | 1.6319 | 2.2894 | |
| Approach 1 (R) | 2.1359 | 2.1557 | 0.1847 | 1.2636 | 2.6178 | |
| Approach 2 | 1.9858 | 2.0306 | 0.2172 | 1.2387 | 2.5159 | |
| Approach 3 | 1.9936 | 1.9468 | 0.2662 | 1.2681 | 2.8748 | |
| ER 1% | Standard | 2.4472 | 2.4462 | 0.1447 | 2.1412 | 2.8010 |
| Approach 1 | 2.4725 | 2.4789 | 0.1785 | 2.0538 | 2.8655 | |
| Approach 1 (R) | 2.6046 | 2.6124 | 0.2698 | 1.2636 | 3.2084 | |
| Approach 2 | 2.4109 | 2.4645 | 0.3488 | 1.2387 | 3.0522 | |
| Approach 3 | 2.4240 | 2.3671 | 0.3116 | 1.6379 | 3.6034 |
| Stability | ER 5% | ER 1% | |
|---|---|---|---|
| Standard | 2.0750 | 2.3500 | 2.4080 |
| Approach 1 | 3.0417 | 3.0500 | 3.0580 |
| Approach 1 (R) | 4.5583 | 4.5500 | 4.5500 |
| Approach 2 | 3.3167 | 3.0920 | 3.1000 |
| Approach 3 | 2.0083 | 1.9580 | 1.8830 |
| Friedman Statistic | 209.7333 | 118.2067 | 192.6200 |
| Stability | ER 5% | ||||||||
|---|---|---|---|---|---|---|---|---|---|
| Ap. 1 | Ap. 1 (R) | Ap. 2 | Ap. 3 | Ap. 1 | Ap. 1 (R) | Ap. 2 | Ap. 3 | ||
| Standard | = | = | |||||||
| Ap. 1 | = | = | |||||||
| Ap. 1 (R) | |||||||||
| Ap. 2 | |||||||||
| ER 1% | |||||||||
| Ap. 1 | Ap. 1 (R) | Ap. 2 | Ap. 3 | ||||||
| Standard | + | ||||||||
| Ap. 1 | = | ||||||||
| Ap. 1 (R) | |||||||||
| Ap. 2 | |||||||||
Publisher’s Note: MDPI stays neutral with regard to jurisdictional claims in published maps and institutional affiliations. |
© 2021 by the authors. Licensee MDPI, Basel, Switzerland. This article is an open access article distributed under the terms and conditions of the Creative Commons Attribution (CC BY) license (https://creativecommons.org/licenses/by/4.0/).
Share and Cite
Quintana, D.; Moreno, D. Resampled Efficient Frontier Integration for MOEAs. Entropy 2021, 23, 422. https://doi.org/10.3390/e23040422
Quintana D, Moreno D. Resampled Efficient Frontier Integration for MOEAs. Entropy. 2021; 23(4):422. https://doi.org/10.3390/e23040422
Chicago/Turabian StyleQuintana, David, and David Moreno. 2021. "Resampled Efficient Frontier Integration for MOEAs" Entropy 23, no. 4: 422. https://doi.org/10.3390/e23040422
APA StyleQuintana, D., & Moreno, D. (2021). Resampled Efficient Frontier Integration for MOEAs. Entropy, 23(4), 422. https://doi.org/10.3390/e23040422

