Ground State, Magnetization Process and Bipartite Quantum Entanglement of a Spin-1/2 Ising–Heisenberg Model on Planar Lattices of Interconnected Trigonal Bipyramids
Abstract
:1. Introduction
2. Model and Its Rigorous Treatment

3. Discussion of the Numerical Results
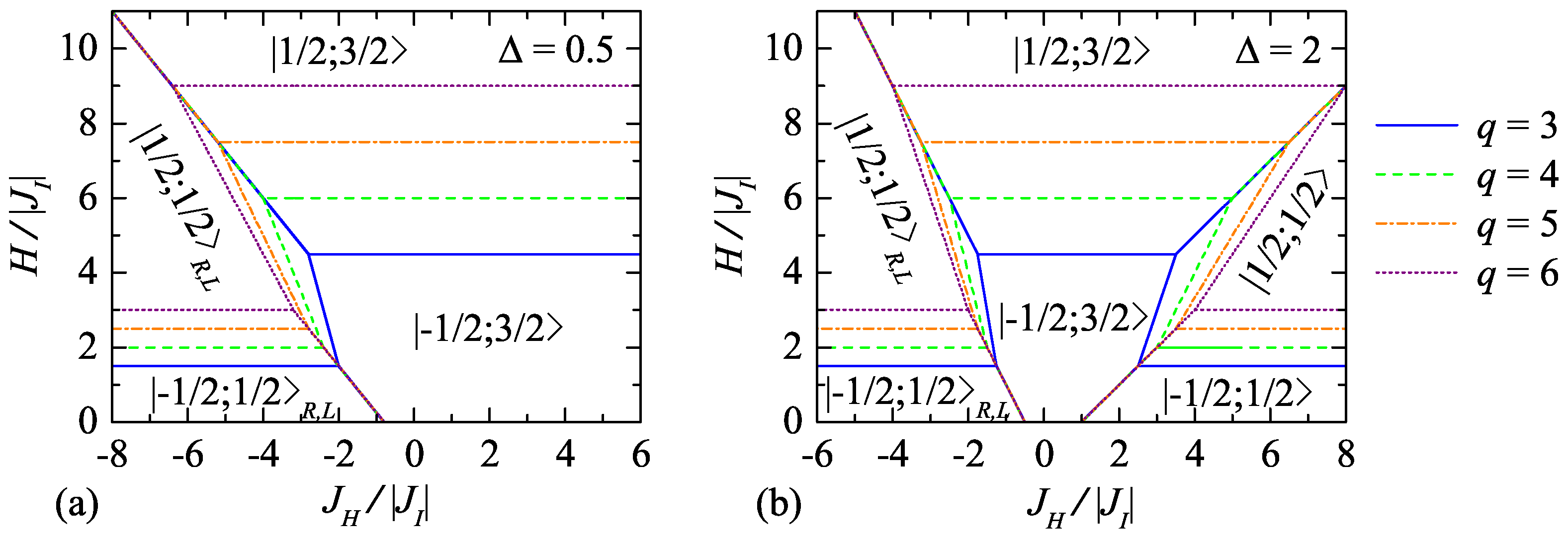
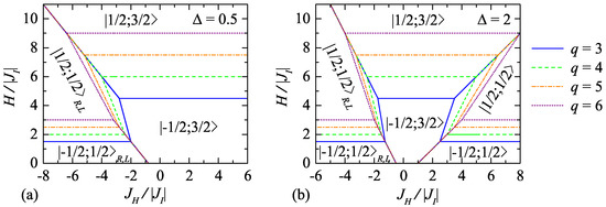
3.1. Ground-State Phase Diagrams
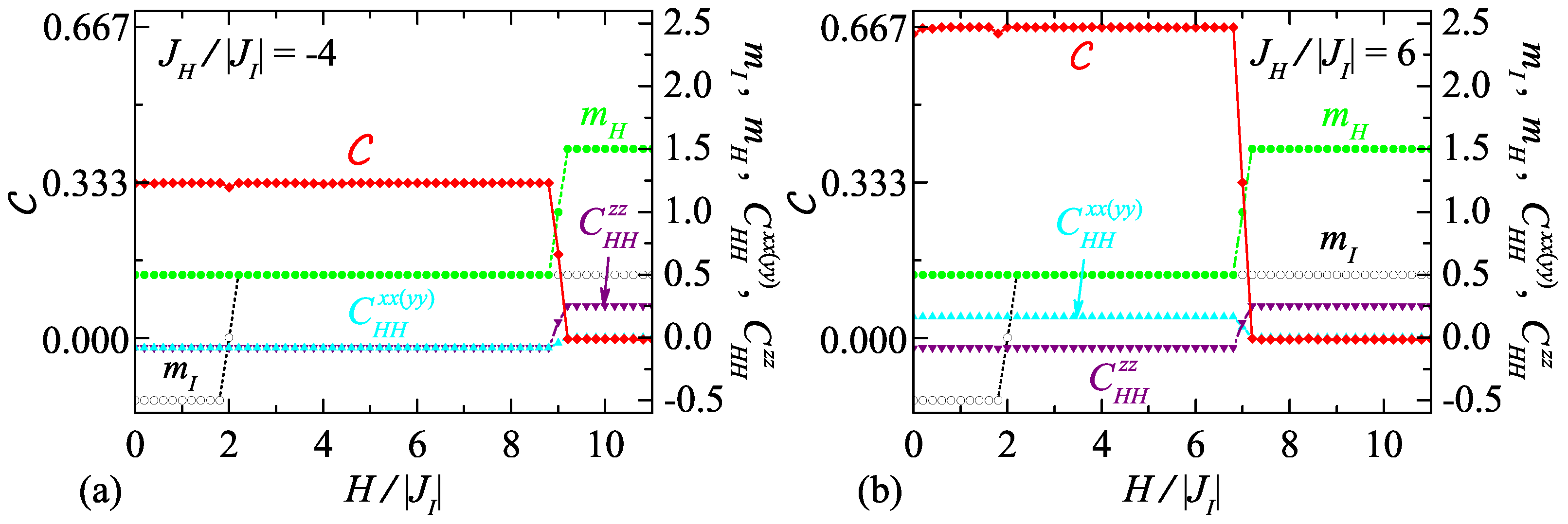
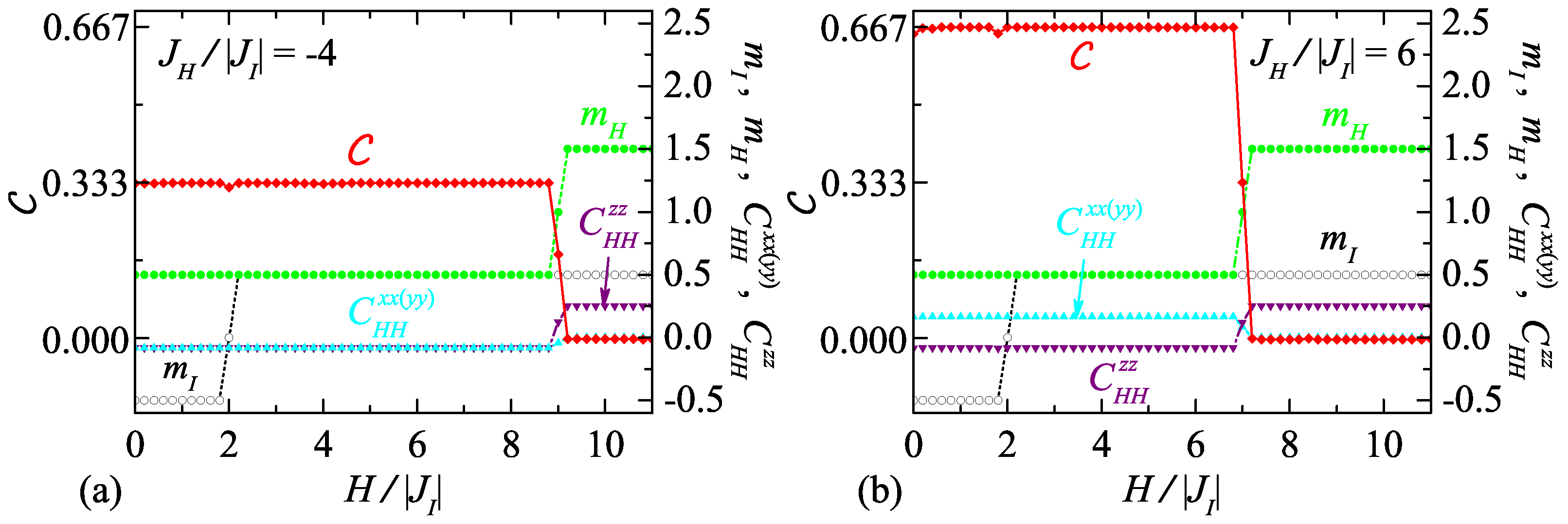
3.2. Magnetization Process
- i.
- ,
- ii.
- ,
- iii.
- ,
- iv.
- ,
- v.
- ,
- vi.
- ,
- vii.
3.3. Quantum Bipartite Entanglement
4. Conclusions
Author Contributions
Funding
Institutional Review Board Statement
Informed Consent Statement
Data Availability Statement
Acknowledgments
Conflicts of Interest
References
- Horodecki, R.; Horodecki, P.; Horodecki, M.; Horodecki, K. Quantum etanglement. Rev. Mod. Phys. 2009, 81, 865–942. [Google Scholar] [CrossRef] [Green Version]
- Nielsen, M.A.; Chuang, I.L. Quantum Computation and Quantum Information, 10th ed.; Cambridge University Press: New York, NY, USA, 2010. [Google Scholar]
- Jaeger, L. The Second Quantum Revolution; Springer Nature: Baar, Switzerland, 2018. [Google Scholar]
- Ball, P. Physics of life: The dawn of quantum biology. Nature 2011, 474, 272–274. [Google Scholar] [CrossRef] [Green Version]
- Huelga, S.F.; Plenio, M.B. Vibrations, quanta and biology. Contemp. Phys. 2013, 5, 181–207. [Google Scholar] [CrossRef]
- Giovannetti, V.; Lloyd, S.; Maccone, L. Advances in quantum metrology. Nat. Photon 2011, 5, 222–229. [Google Scholar] [CrossRef]
- Fröwis, V.; Dür, W. Stable Macroscopic Quantum Superpositions. Phys. Rev. Lett. 2011, 106, 110402. [Google Scholar] [CrossRef]
- Osborne, T.J.; Nielsen, M.A. Entanglement in a simple quantum phase transition. Phys. Rev. A 2002, 66, 032110. [Google Scholar] [CrossRef] [Green Version]
- Osterloh, A.; Amico, L.; Falci, G.; Fazio, R. Scaling of entanglement close to a quantum phase transition. Nature 2002, 416, 608–610. [Google Scholar] [CrossRef] [PubMed] [Green Version]
- Vidal, G.; Latorre, J.I.; Rico, E.; Kitaev, A. Entanglement in Quantum Critical Phenomena. Phys. Rev. Lett. 2003, 90, 227902. [Google Scholar] [CrossRef] [PubMed] [Green Version]
- Roscilde, T.; Verrucchi, P.; Fubini, A.; Haas, S.; Tognetti, V. Studying Quantum Spin Systems through Entanglement Estimators. Phys. Rev. Lett. 2004, 93, 167203. [Google Scholar] [CrossRef] [Green Version]
- Asoudeh, M.; Karimipour, V. Thermal entanglement of spins in the Heisenberg model at low temperatures. Phys. Rev. A 2004, 70, 052307. [Google Scholar] [CrossRef] [Green Version]
- Sun, Z.; Wang, X.; Hu, A.; Li, Y.-Q. Entanglement properties in 12,1 mixed-spin Heisenberg systems. Phys. A 2006, 370, 483–500. [Google Scholar] [CrossRef] [Green Version]
- Shawish, S.E.; Ramšak, A.; Bonča, J. Thermal entanglement of qubit pairs on the Shastry-Sutherland lattice. Phys. Rev. B 2007, 75, 205442. [Google Scholar] [CrossRef] [Green Version]
- Alécio, R.C.; Lyra, M.L.; Strečka, J. Ground states, magnetization plateaus and bipartite entanglement of frustrated spin-1/2 Ising–Heisenberg and Heisenberg triangular tubes. J. Magn. Magn. Mater. 2016, 417, 294–301. [Google Scholar] [CrossRef]
- Ghannadan, A.; Strečka, J. Magnetic-Field-Orientation Dependent Thermal Entanglement of a Spin-1 Heisenberg Dimer: The Case Study of Dinuclear Nickel Complex with an Uniaxial Single-Ion Anisotropy. Molecules 2021, 26, 3420. [Google Scholar] [CrossRef] [PubMed]
- Vargová, H.; Strečka, J. Unconventional thermal and magnetic-field-driven changes of a bipartite entanglement of a mixed spin-(1/2,S) Heisenberg dimer with an uniaxial single-ion anisotropy. Nanomaterials 2021, 11, 3096. [Google Scholar] [CrossRef] [PubMed]
- Zhou, C.B.; Xiao, S.-Y.; Zhang, C.; Wu, G.; Ran, Y.-Q. Influence of Dzyaloshinskii–Moriya interaction on measurement-induced disturbance in a mixed-spin Heisenberg XXZ model with an inhomogeneous magnetic field. Phys. B 2015, 477, 40–44. [Google Scholar] [CrossRef]
- Jafari, R.; Langari, A. Three-qubit ground state and thermal entanglement of anisotropic Heisenberg (XXZ) and Ising models with Dzyaloshinskii–Moriya interaction. Int. J. Quantum. Inform. 2011, 9, 1057–1079. [Google Scholar] [CrossRef]
- Zidan, N. Quantum Discord of a Two-Qubit Anisotropy XXZ Heisenberg Chain with Dzyaloshinskii–Moriya Interaction. J. Quantum Inf. Sci. 2014, 4, 104–110. [Google Scholar] [CrossRef]
- Roscilde, T.; Verrucchi, P.; Fubini, A.; Haas, S.; Tognetti, V. Entanglement and Factorized Ground States in Two-Dimensional Quantum Antiferromagnets. Phys. Rev. Lett. 2005, 95, 147208. [Google Scholar] [CrossRef] [Green Version]
- Canosa, N.; Rossignoli, R. Global entanglement in XXZ chains. Phys. Rev. A 2006, 73, 022347. [Google Scholar] [CrossRef] [Green Version]
- Najarbashi, G.; Balazadeh, L.; Tavana, A. Thermal Entanglement in XXZ Heisenberg Model for Coupled Spin-Half and Spin-One Triangular Cell. Int. J. Theor. Phys. 2018, 75, 95–111. [Google Scholar] [CrossRef]
- Sadiek, G.; Almalki, S. Thermal Robustness of Entanglement in a Dissipative Two-Dimensional Spin System in an Inhomogeneous Magnetic Field. Entropy 2021, 23, 1066. [Google Scholar] [CrossRef] [PubMed]
- Gu, S.-J.; Tian, G.-S.; Lin, H.-Q. Ground-state entanglement in the XXZ model. Phys. Rev. A 2005, 94, 147208. [Google Scholar]
- Zhou, C.-B.; Xiao, S.-Y.; Zhang, C.; Wu, G.; Ran, Y.-Q. Entanglement in Mixed-Spin (1/2, 3/2) Heisenberg XXZ Model with Dzyaloshinskii–Moriya Interaction. J. Theor. Phys. 2016, 55, 875–885. [Google Scholar] [CrossRef]
- Fumani, F.K.; Beradze, B.; Nemati, S.; Mahdavifar, S.; Japaridze, G.I. Quantum correlations in the spin-1/2 Heisenberg XXZ chain with modulated Dzyaloshinskii–Moriya interaction. J. Magn. Magn. Mater. 2021, 518, 167411. [Google Scholar] [CrossRef]
- Sadiek, G.; Xu, Q.; Kais, S. Tuning entanglement and ergodicity in two-dimensional spin systems using impurities and anisotropy. Phys. Rev. A 2012, 85, 042313. [Google Scholar] [CrossRef] [Green Version]
- Leite, L.S.G.; Doretto, R.L. Entanglement entropy for the valence bond solid phases of two-dimensional dimerized Heisenberg antiferromagnets. Phys. Rev. B 2019, 100, 045113. [Google Scholar] [CrossRef] [Green Version]
- Sadiek, G. Impurity effect on entanglement in an XY two-dimensional spin lattice. J. King Saud Univ. 2012, 24, 331–338. [Google Scholar] [CrossRef] [Green Version]
- Baxter, R.J. Exactly Solved Models in Statistical Mechanics; Academic Press: New York, NY, USA, 1982; pp. 32–38. [Google Scholar]
- Fisher, M.E. Transformations of Ising Models. Phys. Rev. 1959, 113, 969. [Google Scholar] [CrossRef]
- Syozi, I. Transformation of Ising Models. In Phase Transition and Critical Phenomena; Domb, C., Green, M.S., Eds.; Academic Press: New York, NY, USA, 1972; pp. 269–329. [Google Scholar]
- Rojas, O.; Valverde, J.S.; de Sousa, S.M. Generalized transformation for decorated spin models. Phys. A 2009, 388, 1419–1430. [Google Scholar] [CrossRef] [Green Version]
- Strečka, J. Generalized algebraic transformations and exactly solvable classical-quantum models. Phys. Lett. A 2010, 374, 3718–3722. [Google Scholar] [CrossRef] [Green Version]
- Ananikian, N.S.; Ananikyan, L.N.; Chakhmakhchyan, L.A.; Rojas, O. Thermal entanglement of a spin-1/2 Ising–Heisenberg model on a symmetrical diamond chain. J. Phys. Condens. Matter 2012, 24, 256001. [Google Scholar] [CrossRef] [Green Version]
- Torrico, J.; Rojas, M.; de Souza, M.S.; Rojas, O.; Ananikian, N.S. Pairwise thermal entanglement in the Ising-XYZ diamond chain structure in an external magnetic field. EPL 2014, 108, 50007. [Google Scholar] [CrossRef] [Green Version]
- Souza, F.; Lyra, M.L.; Strečka, J.; Pereira, M.S.S. Magnetization processes and quantum entanglement in a spin-1/2 Ising–Heisenberg chain model of a heterotrimetallic Fe-Mn-Cu coordination polymer. J. Magn. Magn. Mater 2019, 471, 423–431. [Google Scholar] [CrossRef]
- Rojas, O.; Rojas, M.; de Souza, S.M.; Torrico, J.; Strečka, J.; Lyra, M.L. Thermal entanglement in a spin-1/2 Ising-XYZ distorted diamond chain with the second-neighbor interaction between nodal Ising spins. Phys. A 2017, 486, 367–377. [Google Scholar] [CrossRef]
- Karľová, K.; Strečka, J.; Lyra, M.L. Breakdown of intermediate one-half magnetization plateau of spin-1/2 Ising–Heisenberg and Heisenberg branched chains at triple and Kosterlitz-Thouless critical points. Phys. Rev. E 2019, 100, 042127. [Google Scholar] [CrossRef] [Green Version]
- Gálisová, L. Pairwise entanglement in double-tetrahedral chain with different Landé g-factors of the Ising and Heisenberg spins. Acta. Phys. Pol. A 2020, 137, 604–606. [Google Scholar] [CrossRef]
- Gálisová, L.; Strečka, J.; Verkholyak, T.; Havadej, S. Magnetization plateaus and bipartite entanglement of an exactly solved spin-1/2 Ising–Heisenberg orthogonal-dimer chain. Phys. E 2021, 125, 114089. [Google Scholar] [CrossRef] [Green Version]
- Rojas, M.; de Souza, S.M.; Rojas, O. Entangled state teleportation through a couple of quantum channels composed of XXZ dimers in an Ising-XXZ diamond chain. Ann. Phys. 2017, 377, 506–517. [Google Scholar] [CrossRef] [Green Version]
- Ekiz, C.; Strečka, J. Unsaturated bipartite entanglement of a spin-1/2 Ising–Heisenberg model on a triangulated Husimi lattice. Acta Phys. Pol. A 2020, 135, 592–594. [Google Scholar] [CrossRef]
- Gálisová, L. Bipartite entanglement in the spin-1/2 Ising–Heisenberg planar lattice constituted of identical trigonal bipyramidal plaquettes. Phys. Lett. A 2020, 384, 126629. [Google Scholar] [CrossRef]
- Torrico, J.; Strečka, J.; Hagiwara, M.; Rojas, O.; de Souza, M.S.; Han, Y.; Honda, Z.; Lyra, M.L. Heterobimetallic Dy-Cu coordination compound as a classical-quantum ferrimagnetic chain of regularly alternating Ising and Heisenberg spins. J. Magn. Magn. Mater. 2018, 460, 368–380. [Google Scholar] [CrossRef] [Green Version]
- Strečka, J.; Gálisová, L.; Verkholyak, T. Insights into nature of a magnetization plateau of 3d-4f coordination polymer [Dy2Cu2]n from a spin-1/2 Ising–Heisenberg orthogonal-dimer chain. Condens. Matter Phys. 2020, 23, 43708. [Google Scholar] [CrossRef]
- Gálisová, L. Frustration phenomenon in the spin-1/2 Ising–Heisenberg planar model of inter-connected trigonal bipyramid structures. J. Phys. Condens. Matter 2019, 31, 465801. [Google Scholar] [CrossRef] [Green Version]
- Valldor, M.; Andersson, M. The structure of the new compound YBaCo4O7 with a magnetic feature. Solid State Sci. 2002, 4, 923–931. [Google Scholar] [CrossRef]
- Otsuka, A.; Konarev, D.V.; Lyubovskaya, R.N.; Khasanov, S.S.; Maesato, M.; Yoshida, Y.; Saito, G. Design of Spin-Frustrated Monomer-Type C60•- Mott Insulator. Crystals 2018, 8, 115. [Google Scholar] [CrossRef] [Green Version]
- Metropolis, N.; Rosenbluth, A.W.; Rosenbluth, M.N.; Teller, A.H.; Teller, E. Equation of State Calculations by Fast Computing Machines. J. Chem. Phys. 1953, 21, 1087–1092. [Google Scholar] [CrossRef] [Green Version]
- Binder, K.; Heermann, D.W. Monte Carlo Simulations in Statistical Physics. An Introduction, 5th ed.; Springer: Berlin, Germany, 2010. [Google Scholar]
- Derzhko, O.; Richter, J. Finite low-temperature entropy of some strongly frustrated quantum spin lattices in the vicinity of the saturation field. Phys. Rev. B 2004, 70, 104415. [Google Scholar] [CrossRef] [Green Version]
- Wootters, W.K. Entanglement of Formation of an Arbitrary State of Two Qubits. Phys. Rev. Lett. 1998, 80, 2245. [Google Scholar] [CrossRef] [Green Version]
- Amico, L.; Fazio, R.; Osterloh, A.; Vedral, V. Entanglement in many-body systems. Rev. Mod. Phys. 2008, 80, 517–576. [Google Scholar] [CrossRef] [Green Version]
- Osterloh, A. Entanglement and its Multipartite Extensions. Int. J. Mod. Phys. B 2013, 27, 1345018. [Google Scholar] [CrossRef]




Publisher’s Note: MDPI stays neutral with regard to jurisdictional claims in published maps and institutional affiliations. |
© 2021 by the authors. Licensee MDPI, Basel, Switzerland. This article is an open access article distributed under the terms and conditions of the Creative Commons Attribution (CC BY) license (https://creativecommons.org/licenses/by/4.0/).
Share and Cite
Gálisová, L.; Kaczor, M. Ground State, Magnetization Process and Bipartite Quantum Entanglement of a Spin-1/2 Ising–Heisenberg Model on Planar Lattices of Interconnected Trigonal Bipyramids. Entropy 2021, 23, 1671. https://doi.org/10.3390/e23121671
Gálisová L, Kaczor M. Ground State, Magnetization Process and Bipartite Quantum Entanglement of a Spin-1/2 Ising–Heisenberg Model on Planar Lattices of Interconnected Trigonal Bipyramids. Entropy. 2021; 23(12):1671. https://doi.org/10.3390/e23121671
Chicago/Turabian StyleGálisová, Lucia, and Michał Kaczor. 2021. "Ground State, Magnetization Process and Bipartite Quantum Entanglement of a Spin-1/2 Ising–Heisenberg Model on Planar Lattices of Interconnected Trigonal Bipyramids" Entropy 23, no. 12: 1671. https://doi.org/10.3390/e23121671
APA StyleGálisová, L., & Kaczor, M. (2021). Ground State, Magnetization Process and Bipartite Quantum Entanglement of a Spin-1/2 Ising–Heisenberg Model on Planar Lattices of Interconnected Trigonal Bipyramids. Entropy, 23(12), 1671. https://doi.org/10.3390/e23121671

