Dynamical Field Inference and Supersymmetry
Abstract
:1. Introduction
2. Information Field Theory
2.1. Notation
2.2. Bayesian Updating
2.3. Prior Knowledge
2.4. Likelihood
2.5. Information
2.6. Partition Function
2.7. Free Theory
- (i)
- A Gaussian zero-centered prior, , with known covariance ;
- (ii)
- A linear measurement, , with known linear response R and additive noise;
- (iii)
- A signal-independent Gaussian noise, , with known covariance .
3. Dynamical Field Inference
3.1. Field Prior
3.2. Partition Function
4. Dynamical Field Inference with Ghost Fields
4.1. Grassmann Fields
4.2. Path Integral Representation of Determinants and -Functions
4.3. Ghost Field Path Integrals in DFI
4.4. Spontaneous SUSY Breaking and Field Inference
5. SUSY and Measurements
5.1. Abstract Considerations
5.2. Idealized Linear Dynamics
5.3. Idealized Non-Linear Dynamics
6. Conclusions and Outlook
Author Contributions
Funding
Institutional Review Board Statement
Informed Consent Statement
Acknowledgments
Conflicts of Interest
Abbreviations
| CG | conjugate gradient |
| DS | dynamical system |
| DFI | dynamical field inference |
| IFT | information field theory |
| KL | Kullback-Leibler |
| MAP | maximum a posteriori |
| ODE | ordinary differential equation |
| SDE | Stochastic differential equation |
| SEO | stochastic evolution operator |
| STS | supersymmetric theory of stochastics |
| SUSY | supersymmetry |
| QFT | quantum field theory |
| QM | quantum mechanics |
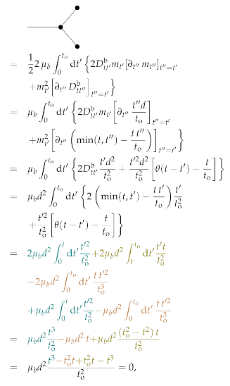
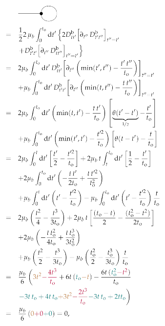
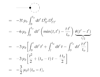
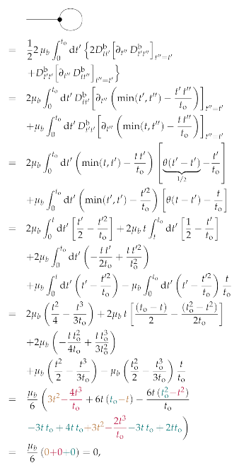
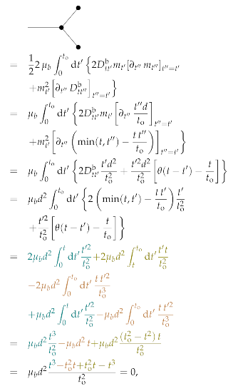
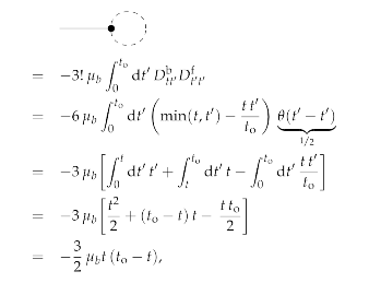
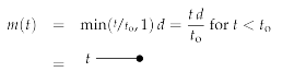
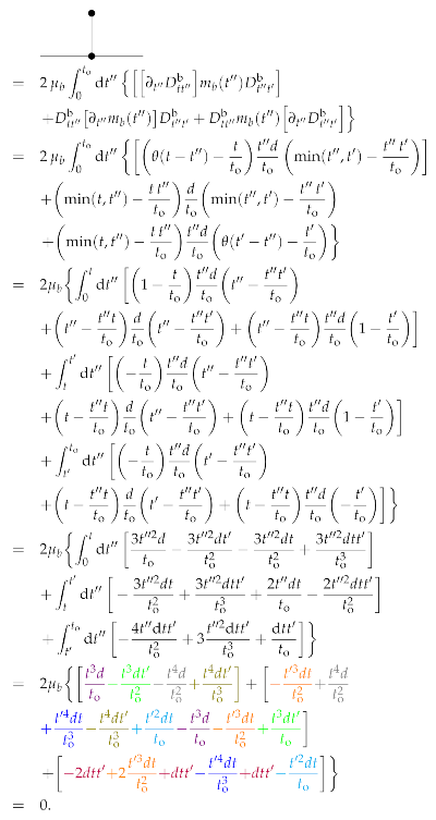
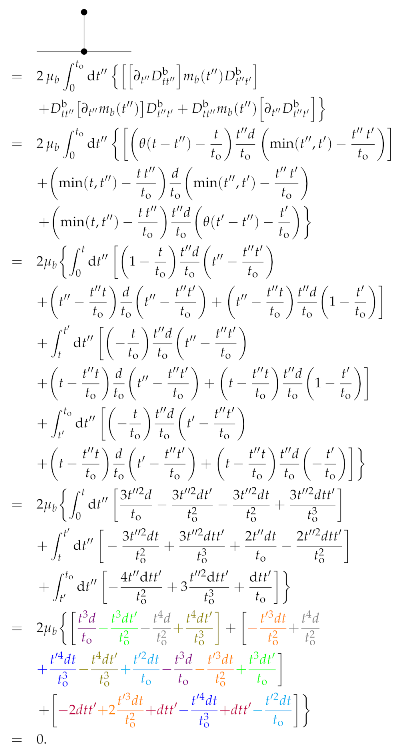
Appendix A. Feynman Diagrams
References
- Krülls, W.M.; Achterberg, A. Computation of cosmic-ray acceleration by ito’s stochastic differential equations. Astron. Astrophys. 1994, 286, 314–327. [Google Scholar]
- Allen, L.J.S. An Introduction to Stochastic Processes with Applications to Biology; CRC Press: Boca Raton, FL, USA, 2010. [Google Scholar]
- Gardiner, C.W. Handbook of Stochastic Methods; Springer: Berlin/Heidelberg, Germany, 1985; Volume 3. [Google Scholar]
- Mao, X. Stochastic Differential Equations and Applications; Elsevier: Amsterdam, The Netherlands, 2007. [Google Scholar]
- Black, F.; Scholes, M. The pricing of options and corporate liabilities. In World Scientific Reference on Contingent Claims Analysis in Corporate Finance: Volume 1: Foundations of CCA and Equity Valuation; World Scientific: Singapore, 2019; pp. 3–21. [Google Scholar]
- Uhlenbeck, G.E.; Ornstein, L.S. On the theory of the brownian motion. Phys. Rev. 1930, 36, 823. [Google Scholar] [CrossRef]
- Galenko, P.K.; Kharchenko, D.; Lysenko, I. Stochastic generalization for a hyperbolic model of spinodal decomposition. Phys. A Stat. Mech. Its Appl. 2010, 389, 3443–3455. [Google Scholar] [CrossRef]
- Frank, P.; Leike, R.; Enßlin, T.A. Field dynamics inference for local and causal interactions. Ann. Phys. 2021, 533, 2000486. [Google Scholar] [CrossRef]
- Parisi, G.; Sourlas, N. Supersymmetric field theories and stochastic differential equations. Nucl. Phys. 1982, 206, 321–332. [Google Scholar] [CrossRef]
- Schober, M.; Duvenaud, D.; Hennig, P. Probabilistic ODE solvers with runge-kutta means. In Advances in Neural Information Processing Systems 27; Curran Associates, Inc.: Red Hook, NY, USA, 2014; pp. 739–747. [Google Scholar]
- Hennig, P.; Osborne, M.A.; Girolami, M. Probabilistic numerics and uncertainty in computations. Proc. R. Soc. Math. Phys. Eng. Sci. 2015, 471, 20150142. [Google Scholar] [CrossRef] [PubMed] [Green Version]
- Enßlin, T.A.; Frommert, M.; Kitaura, F.S. Information field theory for cosmological perturbation reconstruction and nonlinear signal analysis. Phys. Rev. D 2009, 80, 105005. [Google Scholar] [CrossRef] [Green Version]
- Enßlin, T.A. Information theory for fields. Ann. Phys. 2019, 531, 1800127. [Google Scholar] [CrossRef] [Green Version]
- Enßlin, T.A. Information field dynamics for simulation scheme construction. Phys. Rev. E 2013, 87, 013308. [Google Scholar] [CrossRef] [Green Version]
- Frank, P.; Steininger, T.; Enßlin, T.A. Field dynamics inference via spectral density estimation. Phys. Rev. E 2017, 96, 052104. [Google Scholar] [CrossRef] [Green Version]
- Leike, R.H.; Enßlin, T.A. Towards information-optimal simulation of partial differential equations. Phys. Rev. E 2018, 97, 033314. [Google Scholar] [CrossRef] [Green Version]
- Janssen, H. On a lagrangean for classical field dynamics and renormalization group calculations of dynamical critical properties. Z. Phys. Condens. Matter Quanta 1976, 23, 377–380. [Google Scholar] [CrossRef]
- Ovchinnikov, I.V. Topological field theory of dynamical systems. Chaos Solitons Fractals 2012, 22, 033134. [Google Scholar]
- Ovchinnikov, I.V. Introduction to Supersymmetric Theory of Stochastics. Entropy 2016, 18, 108. [Google Scholar] [CrossRef] [Green Version]
- Ovchinnikov, I.V.; Schwartz, R.N.; Wang, K.L. Topological supersymmetry breaking: Definition and stochastic generalization of chaos and the limit of applicability of statistics. Mod. Phys. Lett. B 2016, 30, 1650086. [Google Scholar] [CrossRef] [Green Version]
- Ovchinnikov, I.V.; Ventra, M. Chaos as a symmetry-breaking phenomenon. Mod. Phys. Lett. B 2019, 33, 1950287. [Google Scholar]
- Witten, E. Dynamical Breaking of Supersymmetry. Nucl. Phys. B 1981, 188, 513. [Google Scholar] [CrossRef]
- Box, G.E.P.; Tiao, G.C. Bayesian Inference in Statistical Analysis; John Wiley & Sons: Hoboken, NJ, USA, 2011; Volume 40. [Google Scholar]
- Jaynes, E.T. Probability Theory: The Logic of Science; Cambridge University Press: Cambridge, UK, 2003. [Google Scholar]
- Leike, R.H.; Enßlin, T.A. Charting nearby dust clouds using gaia data only. Astron. Astrophys. 2019, 631, A32. [Google Scholar] [CrossRef] [Green Version]
- Hutschenreuter, S.; Enßlin, T.A. The galactic faraday depth sky revisited. Astron. Astrophys. 2020, 633, A150. [Google Scholar] [CrossRef]
- Stankov, S.M.; Jakowski, N.; Heise, S.; Muhtarov, P.; Kutiev, I.; Warnant, R. A new method for reconstruction of the vertical electron density distribution in the upper ionosphere and plasmasphere. J. Geophys. Res. Space Phys. 2003, 108, A5. [Google Scholar] [CrossRef]
- Geyer, B. High-resolution atmospheric reconstruction for europe 1948–2012: Coastdat2. Earth Syst. Sci. Data 2014, 6, 147–164. [Google Scholar] [CrossRef] [Green Version]
- Doering, C.R. A stochastic partial differential equation with multiplicative noise. Phys. Lett. A 1987, 122, 133–139. [Google Scholar] [CrossRef]
- Roberts, A.J. A step towards holistic discretisation of stochastic partial differential equations. ANZIAM J. 2003, 45, 1–15. [Google Scholar] [CrossRef] [Green Version]
- Mukhanov, V.F.; Winitzki, S. Introduction to Quantum Effects in Gravity; Cambridge University Press: Cambridge, UK, 2007. [Google Scholar]
- Henneaux, M.; Teitelboim, C. Quantization of Gauge Systems; Princeton University Press: Princeton, NJ, USA, 1992. [Google Scholar]
- Wiener, N. Generalized harmonic analysis. Acta Math. 1930, 55, 117–258. [Google Scholar] [CrossRef]
- Wasay, M.A. Supersymmetric quantum mechanics and topology. Adv. High Energy Phys. 2016, 2016, 3906746. [Google Scholar] [CrossRef]
- Duncan, A. The Conceptual Framework of Quantum Field Theory; Oxford University Press: Oxford, UK, 2012. [Google Scholar]
- Zee, A. Quantum Field Theory in a Nutshell, 2nd ed.; Princeton University Press: Upper Saddle River, NJ, USA, 2010. [Google Scholar]
- Srednicki, M. Quantum Field Theory; Cambridge University Press: Cambridge, UK, 2007. [Google Scholar]
- Soroka, V.A. Odd Poisson bracket in Hamilton’s dynamics. In Proceedings of the School and Workshop on Variational and Local Methods in the Study of Hamiltonian Systems, Trieste, Italy, 10–28 October 1995. [Google Scholar]
- Biswas, S.N.; Soni, S.K. Supersymmetric classical mechanics. Pramana 1986, 27, 117–127. [Google Scholar] [CrossRef]
- Das, A. Field Theory: A Path Integral Approach, 2nd ed.; World Scientific Lecture Notes in Physics; World Scientific: Singapore, 2006. [Google Scholar]
- Münster, G. Quantentheorie, 2nd ed.; De Gruyter: Berlin, Germany, 2010. [Google Scholar]
- Bartelmann, M.; Feuerbacher, B.; Krüger, T.; Lüst, D.; Rebhan, A.; Wipf, A. Theoretische Physik; Springer Spektrum: Berlin/Heidelberg, Germany, 2015. [Google Scholar]
- Dragon, N.; Brandt, F. BRST symmetry and cohomology. In Strings, Gauge Fields, and the Geometry Behind; World Scientific: Singapore, 2012; pp. 3–86. [Google Scholar]
- Witten, E. Supersymmetry and Morse theory. J. Differ. Geom. 1982, 17, 661–692. [Google Scholar] [CrossRef]
- Meurer, A.; Smith, C.P.; Paprocki, M.; Čertík, O.; Kirpichev, S.B.; Rocklin, M.; Kumar, A.M.; Ivanov, S.; Moore, J.K.; Singh, S.; et al. Sympy: Symbolic computing in python. PeerJ Comput. Sci. 2017, 3, e103. [Google Scholar] [CrossRef] [Green Version]


Publisher’s Note: MDPI stays neutral with regard to jurisdictional claims in published maps and institutional affiliations. |
© 2021 by the authors. Licensee MDPI, Basel, Switzerland. This article is an open access article distributed under the terms and conditions of the Creative Commons Attribution (CC BY) license (https://creativecommons.org/licenses/by/4.0/).
Share and Cite
Westerkamp, M.; Ovchinnikov, I.; Frank, P.; Enßlin, T. Dynamical Field Inference and Supersymmetry. Entropy 2021, 23, 1652. https://doi.org/10.3390/e23121652
Westerkamp M, Ovchinnikov I, Frank P, Enßlin T. Dynamical Field Inference and Supersymmetry. Entropy. 2021; 23(12):1652. https://doi.org/10.3390/e23121652
Chicago/Turabian StyleWesterkamp, Margret, Igor Ovchinnikov, Philipp Frank, and Torsten Enßlin. 2021. "Dynamical Field Inference and Supersymmetry" Entropy 23, no. 12: 1652. https://doi.org/10.3390/e23121652
APA StyleWesterkamp, M., Ovchinnikov, I., Frank, P., & Enßlin, T. (2021). Dynamical Field Inference and Supersymmetry. Entropy, 23(12), 1652. https://doi.org/10.3390/e23121652

