Outage Performance Analysis of NOMA in Wireless Powered Cognitive Radio Networks with AF and DF Relaying Techniques
Abstract
1. Introduction
1.1. Related Work
1.2. Contribution
- Based on AF and DF cooperative transmission modes, we propose two efficiently cooperative transmission schemes for a NOMA-based cooperative CRN, where relay node RS can harvest RF energy from the primary transmitter and perform cooperative transmission for the primary system when it accumulates sufficient energy; otherwise, the RS continues to harvest energy for future use. In our proposed schemes, the RS opportunistically participates in the cooperative transmission and the link diversity gain is increased under the condition that the transmitter power of the sender is unchanged; therefore, the spectral efficiency and energy efficiency of the system can be effectively improved.
- The battery size of the RS is limited, and the battery of RS usually needs to go through several continuous time slots to accumulate enough transmission energy. We model the dynamic behavior of charging and discharging of RS’s battery as a discrete Markov chain (MC) with a finite state, which can provide the exact probability of the RS participating in cooperative transmission within a transmission slot, according to the analytical expressions of state transition probabilities under AF and DF relaying schemes.
- We derive the analytical expressions of outage probabilities for both the primary and secondary systems under AF and DF relaying protocols, respectively. The authenticity and validation of derived outage probabilities are examined with the aid of Monte Carlo simulations. According to the numerical results of the derived outage expressions, it provides a practical guideline that the proposed spectrum sharing schemes can be significantly impacted by various system parameters, such as system power allocation and transmission power, and confirms the superiority of the proposed schemes over direct transmission and the scheme of SWIPT-F-NOMA.
2. System Model and Transmission Protocols
2.1. AF Relaying Scheme
2.2. DF Relaying Scheme
3. Outage Performance Analysis with AF Relaying Scheme
3.1. Energy Accumulation with AF Relaying Scheme
3.1.1.
3.1.2.
3.1.3.
3.1.4.
3.2. Outage Probability with AF Relaying Scheme
3.2.1. Outage Probabilities of Primary System
- If ,
- If ,where .
- If ,
- If ,where and (·) denotes the first order modified Bessel function with second kind [26].
3.2.2. Outage Pobabilities of Secondary System
4. Outage Performance with DF Relaying Scheme
4.1. Energy Accumulation with DF Relaying Scheme
4.1.1.
4.1.2.
4.1.3.
4.1.4.
4.1.5.
4.1.6.
4.1.7.
4.1.8.
4.2. Outage Probability with Non-Linear EH in DF Relaying
4.2.1. Outage Probability of Primary Probability
- If ,
- If ,
- If ,
- If ,
4.2.2. Outage Probability of Secondary Probability
5. Numerical and Simulation Results
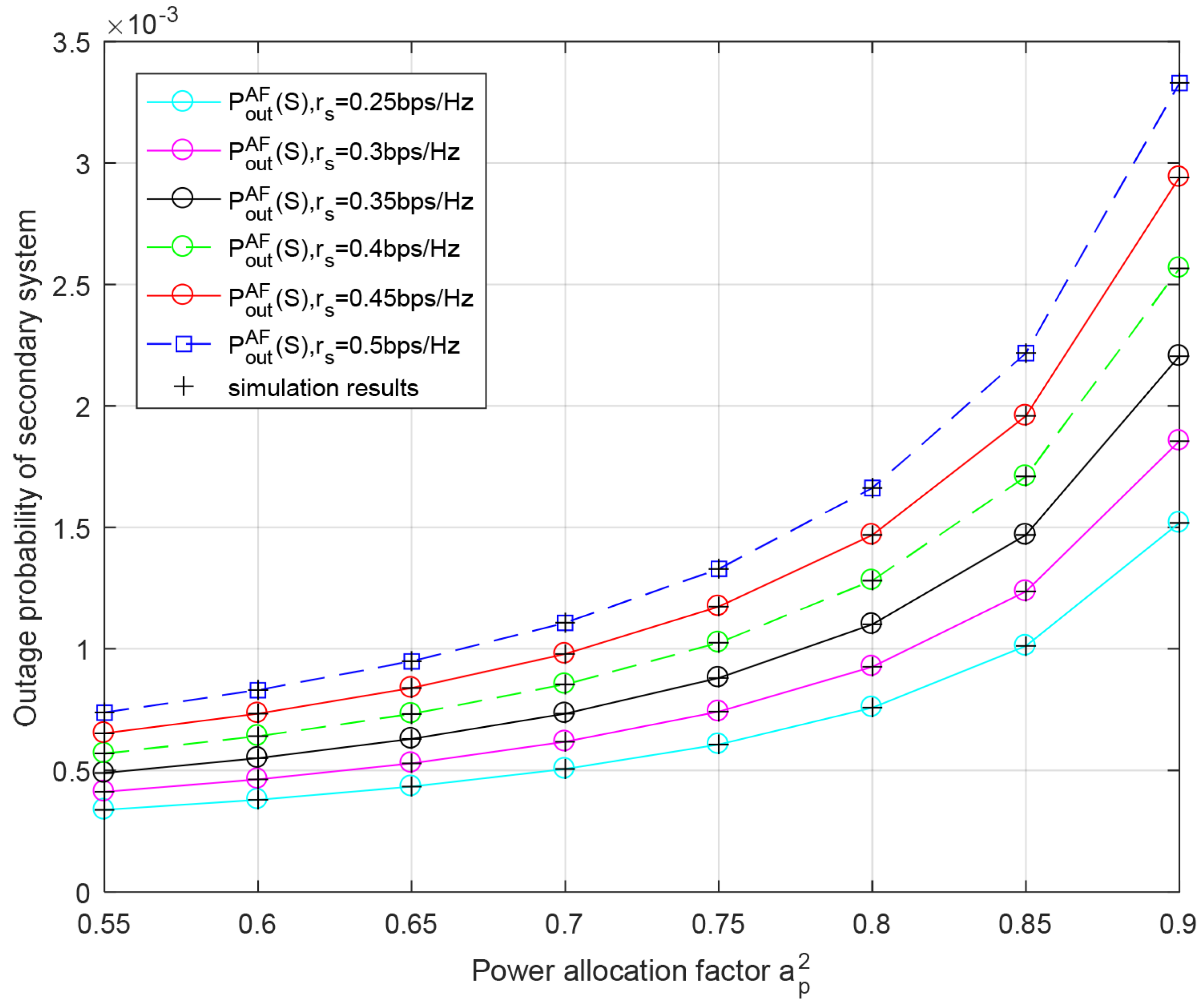
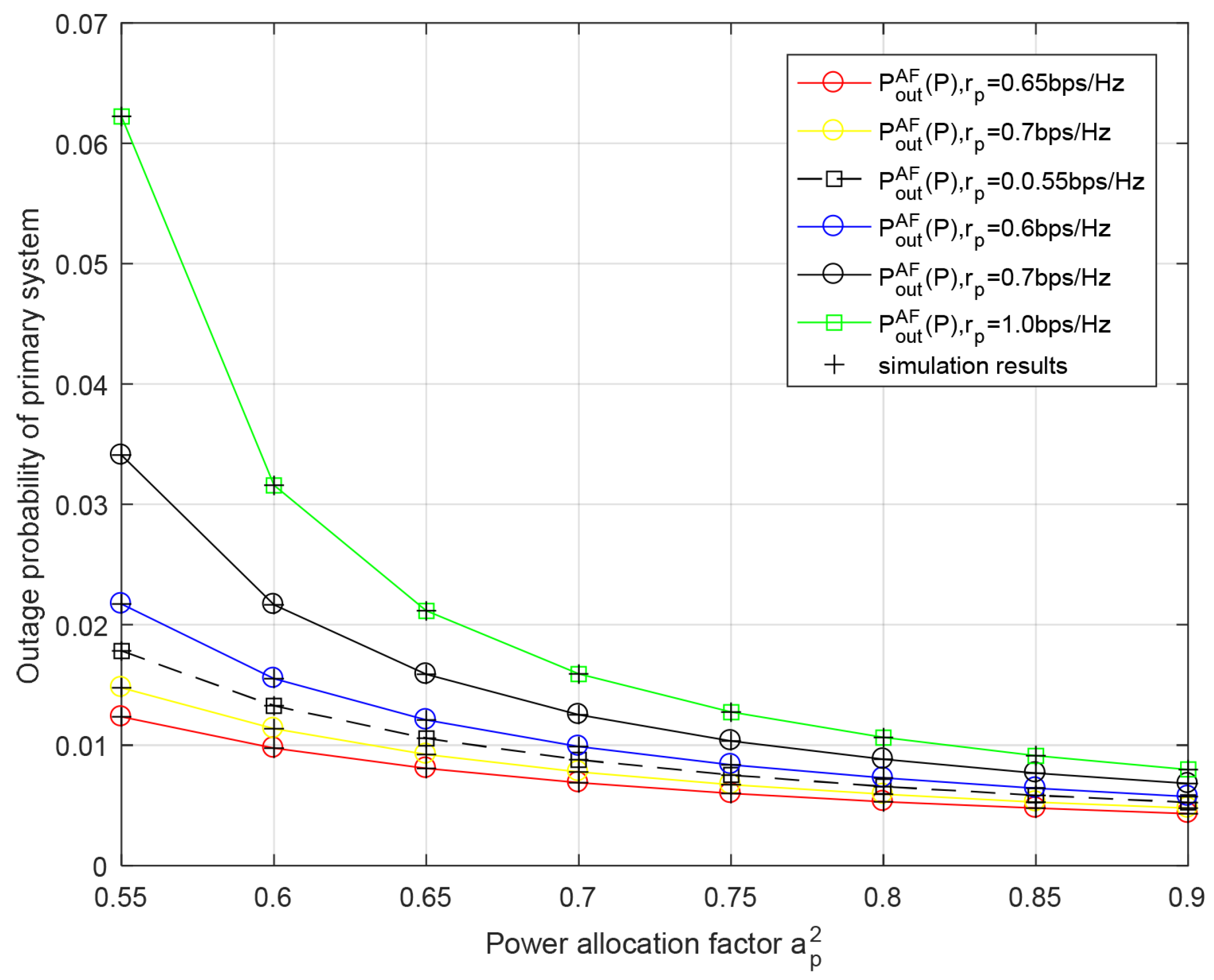
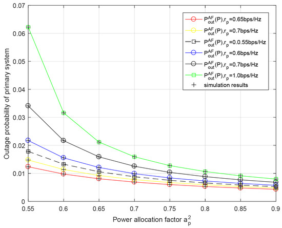
5.1. Outage Performance of AF Relaying Scheme
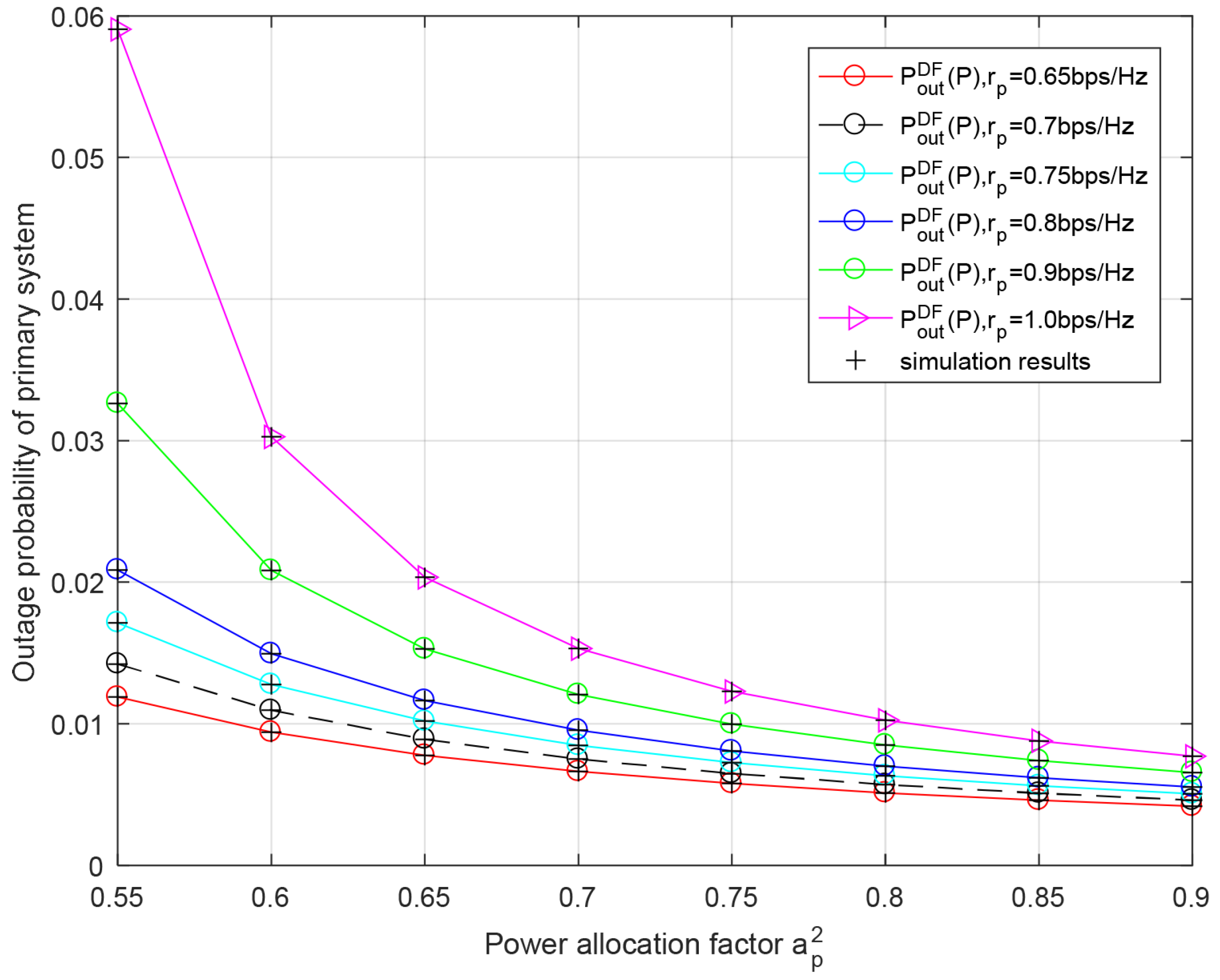
5.2. Outage Performance of DF Relaying Scheme
5.3. Comparison of Outage Performance
6. Conclusions
Author Contributions
Funding
Institutional Review Board Statement
Informed Consent Statement
Data Availability Statement
Conflicts of Interest
Appendix A
- If ,
- If ,
- If , the following holds:
- If , the following holds:
Appendix B
- (1)
- (2)
- (3)
- (4)
- If ,
- If , the following holds:where and .
References
- Makki, B.; Chitti, K.; Behravan, A.; Alouini, M. A Survey of NOMA: Current Status and Open Research Challenges. IEEE Open J. Commun. Soc. 2020, 1, 179–189. [Google Scholar] [CrossRef]
- Zhang, J.; Tao, X.; Wu, H.; Zhang, X. Performance Analysis of User Pairing in Cooperative NOMA Networks. IEEE Access 2018, 6, 74288–74302. [Google Scholar] [CrossRef]
- Guo, C.; Xin, J.; Zhao, L.; Chu, X. Performance analysis of cooperative NOMA with energy harvesting in multi-cell networks. China Commun. 2019, 16, 120–129. [Google Scholar] [CrossRef]
- Dai, L.; Wang, B.; Yuan, Y.; Han, S.; Chih-Lin, I.; Wang, Z. Non-orthogonal multiple access for 5G: Solutions, challenges, opportunities, and future research trends. IEEE Commun. Mag. 2015, 53, 74–81. [Google Scholar] [CrossRef]
- Gu, Y.; Aïssa, S. RF-Based Energy Harvesting in Decode-and-Forward Relaying Systems: Ergodic and Outage Capacities. IEEE Trans. Wirel. Commun. 2015, 14, 6425–6434. [Google Scholar] [CrossRef]
- Ding, Z.; Peng, M.; Poor, H.V. Cooperative Non-Orthogonal Multiple Access in 5G Systems. IEEE Commun. Lett. 2015, 19, 1462–1465. [Google Scholar] [CrossRef]
- Srivastava, A.; Gupta, M.S.; Kaur, G. Energy efficient transmission trends towards future green cognitive radio networks (5G): Progress, taxonomy and open challenges. J. Netw. Comput. Appl. 2020, 168, 102760. [Google Scholar] [CrossRef]
- Huang, X.; Han, T.; Ansari, N. On Green-Energy-Powered Cognitive Radio Networks. IEEE Commun. Surv. Tutorials 2015, 17, 827–842. [Google Scholar] [CrossRef]
- Dehghani, S.; Mirabbasi, S.; Johnson, T. A 5.8-GHz bidirectional and reconfigurable RF energy harvesting circuit with rectifier and oscillator modes. IEEE-Solid-State Circuits Lett. 2018, 1, 66–69. [Google Scholar] [CrossRef]
- Janghel, K.; Prakriya, S. Performance of Adaptive OMA/Cooperative-NOMA Scheme With User Selection. IEEE Commun. Lett. 2018, 22, 2092–2095. [Google Scholar] [CrossRef]
- Luo, S.; Teh, K.C. Adaptive Transmission for Cooperative NOMA System With Buffer-Aided Relaying. IEEE Commun. Lett. 2017, 21, 937–940. [Google Scholar] [CrossRef]
- Li, Y.; Li, Y.; Chen, Y.; Ye, Y.; Zhang, H. Performance analysis of cooperative NOMA with a shared AF relay. IET Commun. 2018, 12, 2438–2447. [Google Scholar] [CrossRef]
- Liang, X.; Wu, Y.; Ng, D.W.K.; Zuo, Y.; Jin, S.; Zhu, H. Outage Performance for Cooperative NOMA Transmission with an AF Relay. IEEE Commun. Lett. 2017, 21, 2428–2431. [Google Scholar] [CrossRef]
- Ibraheem, S.M.; Bedawy, W.; Saad, W.; Shokair, M. Outage Performance of NOMA-based DF Relay Sharing Networks over Nakagami-m Fading Channels. In Proceedings of the 2018 13th International Conference on Computer Engineering and Systems (ICCES), Cairo, Egypt, 18–19 December 2018; pp. 512–517. [Google Scholar] [CrossRef]
- Chu, Y.; Champagne, B.; Zhu, W. NOMA-based cooperative relaying for secondary transmission in cognitive radio networks. IET Commun. 2019, 13, 1840–1851. [Google Scholar] [CrossRef]
- Duan, W.; Ju, J.; Hou, J.; Sun, Q.; Jiang, X.; Zhang, G. Effective resource utilization schemes for decode-and-forward relay networks with NOMA. IEEE Access 2019, 7, 51466–51474. [Google Scholar] [CrossRef]
- Arzykulov, S.; Tsiftsis, T.A.; Nauryzbayev, G.; Abdallah, M. Outage Performance of Cooperative Underlay CR-NOMA With Imperfect CSI. IEEE Commun. Lett. 2019, 23, 176–179. [Google Scholar] [CrossRef]
- Nauryzbayev, G.; Arzykulov, S.; Tsiftsis, T.A.; Abdallah, M. Performance of Cooperative Underlay CR-NOMA Networks over Nakagami-m Channels. In Proceedings of the 2018 IEEE International Conference on Communications Workshops (ICC Workshops), Kansas City, MO, USA, 20–24 May 2018; pp. 1–6. [Google Scholar] [CrossRef]
- Deepan, N.; Rebekka, B. Outage Performance of Full duplex Cooperative NOMA with Energy harvesting over Nakagami-m fading channels. In Proceedings of the 2019 TEQIP III Sponsored International Conference on Microwave Integrated Circuits, Photonics and Wireless Networks (IMICPW), Tiruchirappalli, India, 22–24 May 2019; pp. 435–439. [Google Scholar] [CrossRef]
- Song, Z.; Wang, X.; Liu, Y.; Zhang, Z. Joint Spectrum Resource Allocation in NOMA-based Cognitive Radio Network With SWIPT. IEEE Access 2019, 7, 89594–89603. [Google Scholar] [CrossRef]
- Yu, Y.; Yang, Z.; Wu, Y.; Hussein, J.A.; Jia, W.; Dong, Z. Outage Performance of NOMA in Cooperative Cognitive Radio Networks With SWIPT. IEEE Access 2019, 7, 117308–117317. [Google Scholar] [CrossRef]
- Gkonis, P.K.; Trakadas, P.T.; Sarakis, L.E. Non-Orthogonal Multiple Access in Multiuser MIMO Configurations via Code Reuse and Principal Component Analysis. Electronics 2020, 9, 1330. [Google Scholar] [CrossRef]
- Tang, K.; Shi, R.; Dong, J. Throughput analysis of cognitive wireless acoustic sensor networks with energy harvesting. Future Gener. Comput. Syst. 2018, 86, 1218–1227. [Google Scholar] [CrossRef]
- Jeonghoon, M. Performance Modeling of Communication Networks with Markov Chains. Synth. Lect. Data Manag. 2010, 3, 1–90. [Google Scholar] [CrossRef][Green Version]
- Krikidis, I.; Timotheou, S.; Sasaki, S. RF energy transfer for cooperative networks: Data relaying or energy harvesting? IEEE Commun. Lett. 2012, 16, 1772–1775. [Google Scholar] [CrossRef]
- Gradshteyn, I.S.; Ryzhik, I.M. Table of Integrals, Series, and Products, 7th ed.; Academic Press: New York, NY, USA, 2007. [Google Scholar]
- Men, J.; Ge, J. Performance analysis of non-orthogonal multiple access in downlink cooperative network. IET Commun. 2015, 9, 2267–2273. [Google Scholar] [CrossRef]











| Symbol | Name | Value |
|---|---|---|
| Transmit distance from BS to PR | 10 m | |
| Transmit distance from BS to SR | 5 m | |
| Transmit distance from BS to RS | 2.5 m | |
| Transmit distance from RS to PR | 7.5 m | |
| Transmit distance from RS to SR | 2.5 m | |
| The means of channel gain | ( and ) | |
| Energy conversion efficiency | 0.5 | |
| Total capacity of battery at RS | 20 dBm | |
| Predefined threshold power at RS | −10 dBm | |
| AWGNs | −30 dBm | |
| L | RS’s battery levels | 50 |
| Primary target transmission rate | 0.65 bps/Hz | |
| Secondary target transmission rate | 0.25 bps/Hz | |
| transmission power of BS | −10 dBm | |
| transmission power of RS | −10 dBm |
Publisher’s Note: MDPI stays neutral with regard to jurisdictional claims in published maps and institutional affiliations. |
© 2021 by the authors. Licensee MDPI, Basel, Switzerland. This article is an open access article distributed under the terms and conditions of the Creative Commons Attribution (CC BY) license (https://creativecommons.org/licenses/by/4.0/).
Share and Cite
Wang, H.; Dong, J.; Tang, K.; Shi, H. Outage Performance Analysis of NOMA in Wireless Powered Cognitive Radio Networks with AF and DF Relaying Techniques. Entropy 2021, 23, 1463. https://doi.org/10.3390/e23111463
Wang H, Dong J, Tang K, Shi H. Outage Performance Analysis of NOMA in Wireless Powered Cognitive Radio Networks with AF and DF Relaying Techniques. Entropy. 2021; 23(11):1463. https://doi.org/10.3390/e23111463
Chicago/Turabian StyleWang, Hui, Jian Dong, Kun Tang, and Heyuan Shi. 2021. "Outage Performance Analysis of NOMA in Wireless Powered Cognitive Radio Networks with AF and DF Relaying Techniques" Entropy 23, no. 11: 1463. https://doi.org/10.3390/e23111463
APA StyleWang, H., Dong, J., Tang, K., & Shi, H. (2021). Outage Performance Analysis of NOMA in Wireless Powered Cognitive Radio Networks with AF and DF Relaying Techniques. Entropy, 23(11), 1463. https://doi.org/10.3390/e23111463

