A Unified Treatment of Tribo-Components Degradation Using Thermodynamics Framework: A Review on Adhesive Wear
Abstract
1. Introduction
2. Adhesive Wear
2.1. Thermodynamic Approach
2.1.1. Wear Model Based on Energy Dissipation
2.1.2. Wear Model Based on Entropy Generation
- DEG theorem relates degradation to the irreversible dissipative processes to degradation mechanisms.
- The degradation coefficient measures how entropy generation and degradation interact [84].
- The theorem shows that for processes that involve multiple degradation mechanisms, will, accordingly, comprise of a corresponding entropy generation and the associated degradation coefficient .
- Equation (13) expresses the rate of degradation and entropy generation by applying the chain rule and does not assume the thermodynamic state of the system (Bryant [46]). Therefore, it can be applied to the systems operating far from equilibrium.
- The Archard law as well as the energy-based models for fretting wear are the corollary of the DEG theorem.
3. Efficacy of Degradation Coefficient B
3.1. Steady-State Wear
3.1.1. Unidirectional Sliding and Uniform Operating Condition
3.1.2. Unidirectional Sliding and Variable Operating Conditions
Loading-Sequence Effect
Loading and Sliding Speed Sequence Effect
3.1.3. Bidirectional Sliding and Uniform Operating Condition
3.1.4. Bidirectional Sliding and Variable Operating Conditions
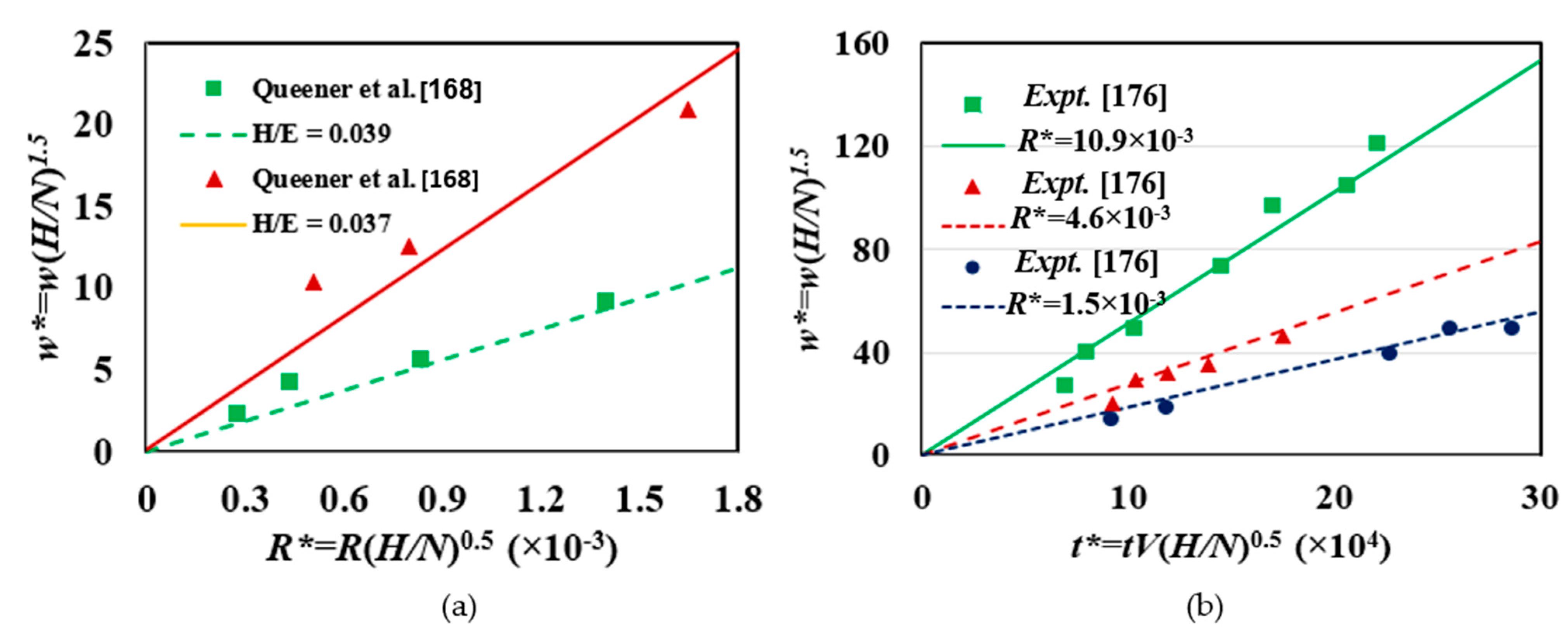
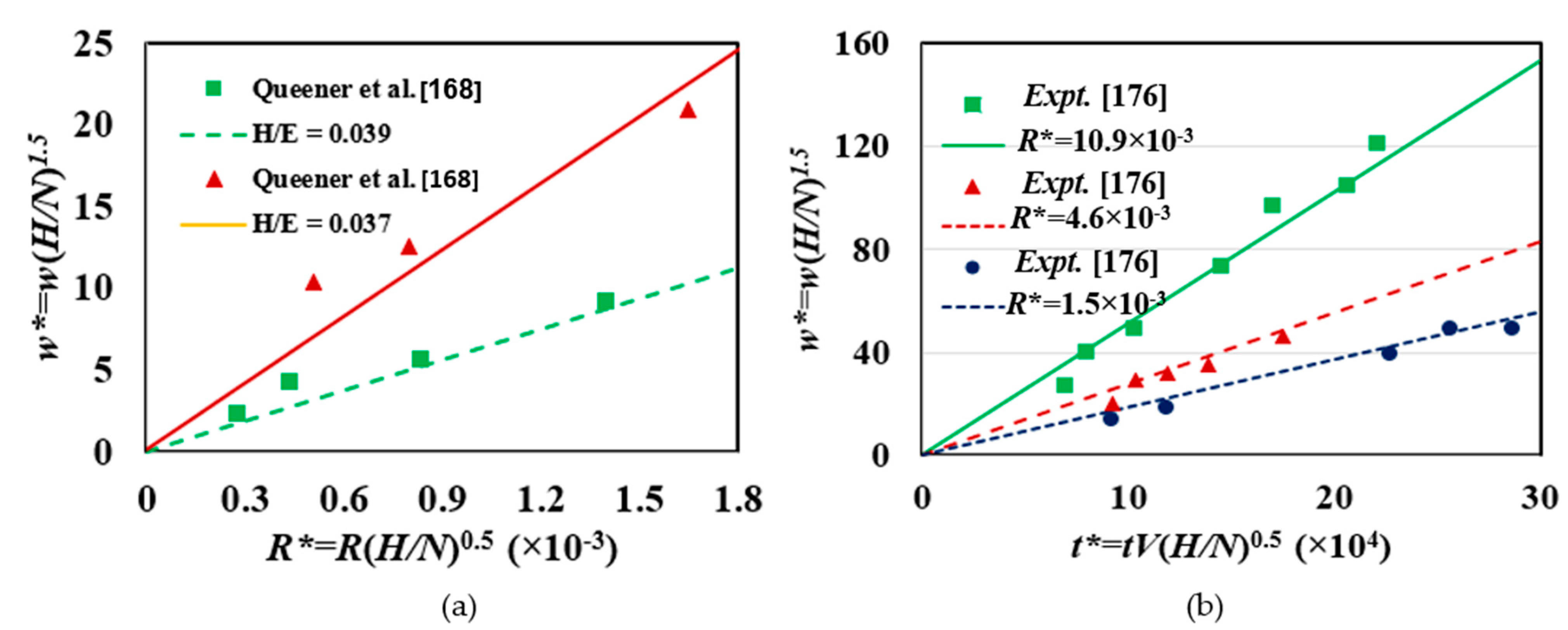
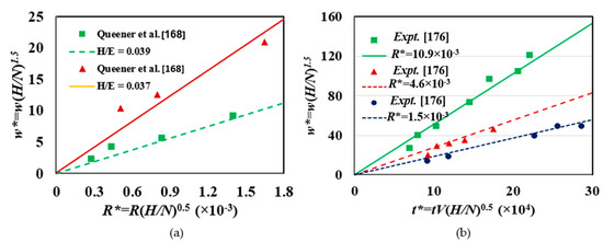
3.2. Running-In Wear
4. Conclusions
Author Contributions
Funding
Institutional Review Board Statement
Informed Consent Statement
Data Availability Statement
Conflicts of Interest
Nomenclature
| A | The real area of contact (m2) |
| Ap | Area of pin (m2) |
| Ad | Area of the disk (m2) |
| B | Degradation coefficient (m3K/J) |
| c | Specific heat (J/kg/K) |
| EP | Energy pulse (Kg/m) |
| Energy dissipation (J) | |
| Tangential force (N) | |
| Wear coefficient | |
| Hardness (Pa) | |
| The mass flow rate of wear particle (kg/s) | |
| P | Applied load (N) |
| p | Degradation process |
| pc | Specific contact pressure (kg/m2) |
| Q | Heat flow (J) |
| Heat input (J) | |
| Specific power of friction (Kg/m/s) | |
| Entropy flow (J/K) | |
| Entropy generation (J/K) | |
| dS | Change in entropy (J/K) |
| Reversible change from entropy flow internally (J/K) | |
| Irreversible change from entropy generation internally (J/K) | |
| T | Temperature (K) |
| Thc | The thickness of the control volume (m3) |
| Tflash | Flash temperature (K) |
| Tbulk | Bulk temperature (K) |
| t | Time (s) |
| V | Sliding velocity (m/s) |
| Steady-state wear volume rate (m3/s) | |
| Initial wear volume rate (m3/s) | |
| Transient wear volume (m3) | |
| Wear volume (m3) | |
| Wear rate volume (m3) | |
| Sliding distance (m) | |
| α | Heat partitioning factor |
| Entropy generation rate per volume (J/m3/K/s) | |
| Thermal conductivity (J/(smK)) | |
| μ | Friction coefficient |
| Static friction coefficient | |
| Starting friction coefficient | |
| ρ | The density of the material (kg/m3) |
| The time constant for transient behavior of friction coefficient (s) | |
| The time constant for transient behavior of wear rate (s) | |
| Time-dependent phenomenological variable | |
| Subscripts | |
| p | Pin |
| d | Disk |
| n | Time interval |
| J | Dissipative processes |
Appendix A
Appendix A.1. Different Wear Equations for Adhesive-Type Wear
| Sl. No. | Ref. | Wear Equations |
|---|---|---|
| 1 | Holm [64] | Kad—Archard wear coefficient, P—applied load, x—sliding distance, H—hardness of the softer material. |
| 2 | Mishina, and Alan [73] | N—Number of wear elements generated in the real contact area, λ—dependent on the chemical properties, a—junction radius, b—radius of wear element, P—applied load, x—sliding distance, pm—yield stress of softer material. |
| 3 | Finkin [74] | Wear proportional to number of interactions Wear proportional to the area of asperity interaction Wear proportional to the volume of slid interaction N—number of plastic contacts, x—sliding distance, lm—mean asperity interaction length, —mean volume of individual wear particles, —asymptotic value of probability of wear particle formation, —inverse of some characteristic process. |
| 4 | Zhou et al. [79] | γ—experimentally determined constant which relates to material hardening, lubricant, material interfacing, ploughing etc. µ—friction coefficient, SL is the area of the largest island, Sc—critical area that distinguishes the elastic and plastic regimes, D—fractal parameter, x—sliding distance, Ke and Kp are the elastic and plastic wear coefficients respectively. |
| 5 | Yin, and Komvopoulos [81] | a′—truncated contact area or large-base area of spherical segment, δ—height of a spherical cap, R—equivalent radius of curvature of spherical asperity, h—global interference. |
| 6 | Nosonovsky, and Bhushan [82] | V is the sliding speed. |
| 7 | Brahmeshwarkar [83] | where K is the wear coefficient, T is the contact temperature, µ is the friction coefficient, is the rate of entropy flow, A is the contact area, and are the temperatures measured by the thermocouples at two locations separated by distance d along the direction perpendicular to sliding, η is the partition factor, Cp, k and ρ are the specific heat capacity at constant pressure, thermal conductivity, and density of the material 1 and 2, respectively. |
| 8 | Bryant et al. [84] | Bad—degradation coefficient during adhesive wear, µ—friction coefficient, P—applied load, x—sliding distance, T—contact temperature. |
| 9 | Feinberg [87] | µ—friction coefficient, P—normal load, So—distance slid to create n wear sheets, m—constant, is the equivalent stress, —thickness of wear sheet. |
| 10 | Queener et al. [168] | K is the variable related to the load, speed, materials, and the environmental conditions. |
| 11 | Yang [169] | The steady-state wear coefficients can be predicted by selecting x such that the value of is slightly lower than unity. Kt, A, and K are constant. |
| 12 | Pawlus [124] | are the total, transient and steady-state volume wear rate. τ is a constant to be determined. |
| 13 | Lijesh, and Khonsari [171] | wear rate at t = 0, KRa is the modified wear coefficient with the inclusion of roughness, Ra is the initial roughness of the surface, E is the Young’s modulus, |
Ed is the dissipated energy, β and are coefficients of the linear fit and is called as energy density wear coefficient. | ||
Edho accumulated energy density, e sliding ratio, δg is the stroke length, a is the contact radius, | ||
A is the area of contact, is the mass fraction of the oxide film and is the average density of the oxide formed at the real area of contact. |
Appendix A.2. Thermodynamic Force, Degradation Force and Thermodynamic Flow
References
- Kostetskii, B.I.; Nosovskii, I.G.; Karaulov, A.K.; Bershadskii, L.I.; Kostetskaya, N.B.; Lyashko, V.A.; Sagach, M.F. The Surface Strength of Materials in Friction; Tekhnika: Kiev, Ukraine, 1976; Volume 36. (In Russian) [Google Scholar]
- Kostetskii, B.I. Structure and surface strength of materials in friction. Strength Mater. 1981, 13, 359–368. [Google Scholar] [CrossRef]
- Czichos, H. Tribology: A System Approach to the Science and Technology of Friction, Lubrication and Wear; Elsevier: New York, NY, USA, 1978; pp. 1–2. [Google Scholar]
- Gahr, K.H.Z. Microstructure and Wear of Materials; Elsevier: Amsterdam, The Netherlands, 1987; Volume 4. [Google Scholar]
- Huq, M.Z.; Celis, J.P. Expressing wear rate in sliding contacts based on dissipated energy. Wear 2002, 252, 375–383. [Google Scholar] [CrossRef]
- Abdel-Aal, H.A. Thermodynamic modeling of wear. In Encyclopedia of Tribology; Springer: New York, NY, USA, 2013; pp. 3622–3636. [Google Scholar]
- Ramalho, A.; Miranda, J.C. The relationship between wear and dissipated energy in sliding systems. Wear 2006, 260, 361–367. [Google Scholar] [CrossRef]
- Shakhvorostov, D.; Pöhlmann, K.; Scherge, M. An energetic approach to friction, wear and temperature. Wear 2004, 257, 124–130. [Google Scholar] [CrossRef]
- Abdo, J. Materials sliding wear model based on energy dissipation. Mech. Adv. Mater. Struct. 2015, 22, 298–304. [Google Scholar] [CrossRef]
- Makkonen, L. A thermodynamic model of sliding friction. AIP Adv. 2012, 2, 012179. [Google Scholar] [CrossRef]
- Jibiki, T.; Shima, M.; Akita, H.; Tamura, M. A basic study of friction noise caused by fretting. Wear 2001, 251, 1492–1503. [Google Scholar] [CrossRef]
- Stoimenov, B.L.; Suguru, M.; Koshi, A.; Koji, K. The roughness effect on the frequency of frictional sound. Tribol. Int. 2007, 40, 659–664. [Google Scholar] [CrossRef]
- Kolubaev, A.V.; Kolubaev, E.A.; Vagin, I.N.; Sizova, O.V. Sound generation in sliding friction. Tech. Phys. Lett. 2005, 31, 813–816. [Google Scholar] [CrossRef]
- Shi-Rong, G.E.; Hua ZH, U. Complicate tribological systems and quantitative study methods of their problems. Tribology 2002, 22, 405–408. [Google Scholar]
- Archard, J.F. Wear theory and mechanisms. In Wear Control Handbook; ASME: New York, NY, USA, 1980; pp. 35–80. [Google Scholar]
- The Competitive Edge; National Academy Press: Washington, DC, USA, 1991; Volume 75.
- Doelling, K.L.; Ling, F.F.; Bryant, M.D.; Heilman, B.P. An experimental study of the correlation between wear and entropy flow in machinery components. J. Appl. Phys. 2000, 88, 2999–3003. [Google Scholar] [CrossRef]
- Reye, T. Zur theorie der zapfengreibund. Der Civ. 1860, 4, 235–255. [Google Scholar]
- Archard, J.F. Contact and Rubbing of Flat Surfaces. J. Appl. Phys. 1953, 24, 981–988. [Google Scholar] [CrossRef]
- Deuis, R.L.; Subramanian, C.; Yellup, J.M. Dry sliding wear of aluminum composites—A review. Compos. Sci. Technol. 1997, 57, 415–435. [Google Scholar] [CrossRef]
- Meng, H.; Ludema, K. Wear models and predictive equations: Their form and content. Wear 1995, 181, 443–457. [Google Scholar] [CrossRef]
- Zhang, J.; Alpas, A.T. Transition between mild and severe wear in aluminum alloys. Acta Mater. 1997, 45, 513–528. [Google Scholar] [CrossRef]
- Giordano, M.; Schmid, S.; Arjmandi, M.; Ramezani, M. Abrasive wear of polymer fibers investigated by reciprocal scratching in an atomic force microscope. J. Tribol. 2018, 140, 021604. [Google Scholar] [CrossRef]
- Godet, M. Modeling of Friction and Wear Phenomena. In Approaches to Modeling of Friction and Wear; Springer: New York, NY, USA, 1988; pp. 12–36. [Google Scholar]
- Ramesh, C.S.; Khan, A.A.; Ravikumar, N.; Savanprabhu, P. Prediction of wear coefficient of Al6061–TiO2 composites. Wear 2005, 259, 602–608. [Google Scholar] [CrossRef]
- Fereidouni, H.; Akbarzadeh, S.; Khonsari, M. On the assessment of variable loading in adhesive wear. Tribol. Int. 2019, 129, 167–176. [Google Scholar] [CrossRef]
- Akbarzadeh, S.; Khonsari, M.M. On the applicability of miner’s rule to adhesive wear. Tribol. Lett. 2016, 63, 1–10. [Google Scholar] [CrossRef]
- Lisowski, Z.; Stolarski, T. A modified theory of adhesive wear in lubricated contacts. Wear 1981, 68, 333–345. [Google Scholar] [CrossRef]
- Zou, Q.; Huang, P.; When, S. Abrasive wear model for lubricated sliding contacts. Wear 1996, 196, 72–76. [Google Scholar] [CrossRef]
- Lijesh, K.P.; Khonsari, M.M. Characterization of multiple wear mechanisms through entropy. Tribol. Int. 2020, 152, 106548. [Google Scholar] [CrossRef]
- Lijesh, K.P.; Khonsari, M.M. Characterization of abrasive wear using degradation coefficient. Wear 2020, 450, 203220. [Google Scholar] [CrossRef]
- Stachowiak, G.W.; Batchelor, A.W. Engineering tribology. In Tribology Series, 24; Elsevier Science: Amesterdam, The Netherlands, 1993. [Google Scholar]
- Amiri, M.; Khonsari, M.M. On the Thermodynamics of Friction and Wear―A Review. Entropy 2010, 12, 1021–1049. [Google Scholar] [CrossRef]
- Kragel’skiĭ, I.V. Friction and wear. In Butterworths; Oxford, Pergamon Press: Oxford, UK, 1965. [Google Scholar]
- Chen, Q.; Li, D. Computer simulation of solid-particle erosion of composite materials. Wear 2003, 255, 78–84. [Google Scholar] [CrossRef]
- Osara, J.A.; Bryant, M.D. Performance and degradation characterization of electrochemical power sources using thermodynamics. Electrochim. Acta 2021, 365, 137337. [Google Scholar] [CrossRef]
- Osara, J.A.; Bryant, M.D. Thermodynamics of lead-acid battery degradation: Application of the degradation-entropy generation methodology. J. Electrochem. Soc. 2019, 166, A4188. [Google Scholar] [CrossRef]
- Osara, J.A.; Bryant, M.D. Thermodynamics of grease degradation. Tribol. Int. 2019, 137, 433–445. [Google Scholar] [CrossRef]
- Lijesh, K.P.; Khonsari, M.M. On the assessment of mechanical degradation of grease using entropy generation rate. Tribol. Lett. 2019, 67, 50. [Google Scholar] [CrossRef]
- Zhou, Y.; Bosman, R.; Lugt, P.M. A model for shear degradation of lithium soap grease at ambient temperature. Tribol. Trans. 2018, 61, 61–70. [Google Scholar] [CrossRef]
- Naderi, M.; Khonsari, M. An experimental approach to low-cycle fatigue damage based on thermodynamic entropy. Int. J. Solids Struct. 2010, 47, 875–880. [Google Scholar] [CrossRef]
- Amiri, M.; Modarres, M. An entropy-based damage characterization. Entropy 2014, 16, 6434–6463. [Google Scholar] [CrossRef]
- Jirandehi, A.P.; Khonsari, M. Microstructure-sensitive estimation of fatigue life using cyclic thermodynamic entropy as an index for metals. Theor. Appl. Fract. Mech. 2021, 112, 102854. [Google Scholar] [CrossRef]
- Haghshenas, A.; Jang, J.; Khonsari, M. On the intrinsic dissipation and fracture fatigue entropy of metals. Mech. Mater. 2021, 155, 103734. [Google Scholar] [CrossRef]
- Hajshirmohammadi, B.; Khonsari, M. On the entropy of fatigue crack propagation. Int. J. Fatigue 2020, 133, 105413. [Google Scholar] [CrossRef]
- Bryant, M.D. Unification of friction and wear. Recent Dev. Wear Prev. Frict. Lubr. 2010, 248, 159–196. [Google Scholar]
- Banjac, M.; Vencl, A.; Otović, S. Friction and wear processes—Thermodynamic approach. Tribol. Ind. 2014, 36, 341–347. [Google Scholar]
- Pashley, M.D.; Pethica, J.B.; Tabor, D. Adhesion and micromechanical properties of metal surfaces. Wear 1984, 100, 7–31. [Google Scholar] [CrossRef]
- Buckley, D.H. The metal to metal interface and its effect on adhesion and friction. J. Colloid Interf. Sci. 1977, 58, 36–53. [Google Scholar] [CrossRef][Green Version]
- Buckley, D.H. Surface Effects in Adhesion, Friction, Wear and Lubrication; Elsevier: Amsterdam, The Netherlands, 1981. [Google Scholar]
- Bowden, F.P.; Rowe, G.W. The adhesion of clean metals. Proc. R. Soc. Lond. Ser. A Math. Phys. Sci. 1956, 233, 429–442. [Google Scholar]
- Gane, N.; Pfaelzer, P.F.; Tabor, D. Adhesion between clean surfaces at light loads. Proc. R. Soc. Lond. Ser. A 1974, 340, 495–517. [Google Scholar]
- Derjaguin, B.V.; Muller, V.M.; Toporov, Y.P. Effect of contact deformations on the adhesion of particles. J. Colloid Interf. Sci. 1975, 53, 314–326. [Google Scholar] [CrossRef]
- Johnson, K.L. Mechanics of adhesion. Tribol. Int. 1998, 31, 413–418. [Google Scholar] [CrossRef]
- Straffelini, G.A. A simplified approach to the adhesive theory of friction. Wear 2001, 249, 79–85. [Google Scholar] [CrossRef]
- Fuller, K.N.G.; Tabor, D. Effect of surface roughness on adhesion of elastic solids. Proc. R. Soc. Lond. A Math. Phys. Sci. 1975, 345, 327–342. [Google Scholar]
- Maugis, D. Adhesion of spheres: The JKR-DMT transition using a Dugdale model. J. Colloid Interface Sci. 1992, 150, 243–269. [Google Scholar] [CrossRef]
- Bhushan, B.; Blackman, G.S. Atomic force microscopy of magnetic rigid disks and sliders and its applications to tribology. J. Tribol. 1991, 113, 452–457. [Google Scholar] [CrossRef]
- Greenwood, J.A.; Williamson, J.B.P. Contact of nominally flat surfaces. Proc. R. Soc. Lond. Ser A Math. Phys. Sci. 1966, 295, 300–319. [Google Scholar]
- Tian, X.; Bhushan, B. A Numerical three-dimensional model for the contact of rough surfaces by variational principle. ASME J. Tribol. 1996, 118, 33–42. [Google Scholar] [CrossRef]
- Poon, C.Y.; Sayles, R.S. Numerical contact model of a smooth ball on an anisotropic rough surface. J. Tribol. 1994, 116, 194–201. [Google Scholar] [CrossRef]
- Kato, K.; Adachi, K. Wear mechanisms. In Modern Tribology Handbook: Volume One: Principles of Tribology; CRC Press: Boca Raton, FL, USA, 2000; pp. 273–300. [Google Scholar]
- Kayaba, T.; Kato, K. The adhesive transfer of the slip-tongue and the wedge. ASLE Trans. 1981, 24, 164–174. [Google Scholar] [CrossRef]
- Holm, R. Electric Contacts: Theory and Applications; Springer Science & Business Media: Berlin/Heidelberg, Germany, 1946. [Google Scholar]
- Rabinowicz, E. The nature of the static and kinetic coefficients of friction. J. Appl. Phys. 1951, 22, 1373–1379. [Google Scholar] [CrossRef]
- Qureshi, F.; Sheikh, A. A probabilistic characterization of adhesive wear in metals. IEEE Trans. Reliab. 1997, 46, 38–44. [Google Scholar] [CrossRef]
- Yang, L.J. Prediction of steady-state wear coefficients in adhesive wear. Tribol. Trans. 2004, 47, 335–340. [Google Scholar] [CrossRef]
- Quinn, T.F.J. Review of oxidational wear: Part I: The origins of oxidational wear. Tribol. Int. 1983, 16, 257–271. [Google Scholar] [CrossRef]
- Welsh, N.C. The dry wear of steels I. The general pattern of behaviour. Philos. Trans. R. Soc. Lond. Ser. A Math. Phys. Sci. 1965, 257, 31–50. [Google Scholar]
- Vancoille, E.; Celis, J.; Roos, J. Dry sliding wear of TiN based ternary PVD coatings. Wear 1993, 165, 41–49. [Google Scholar] [CrossRef]
- Kerridge, M.; Lancaster, J.K. The stages in a process of severe metallic wear. Proc. R. Soc. Lond. Ser. A Math. Phys. Sci. 1956, 236, 250–264. [Google Scholar]
- Sasada, T.; Norose, S. The formation and growth of wear particles through mutual material transfer. In Proceedings of the JSLE-ASLE International Lubrication Conference, Tokyo, Japan, 9–11 June 1975. [Google Scholar]
- Mishina, H.; Alan, H. Wear equation for adhesive wear established through elementary process of wear. Wear 2013, 308, 186–192. [Google Scholar] [CrossRef]
- Finkin, E.F. Speculations on the theory of adhesive wear. Wear 1972, 21, 103–114. [Google Scholar] [CrossRef]
- Paretkar, R.; Modak, J.; RamaRao, A. An approximate generalized experimental model for dry sliding adhesive wear of some single-phase copper-base alloys. Wear 1996, 197, 17–37. [Google Scholar] [CrossRef]
- Lijesh, K.P.; Khonsari, M.M. Application of thermodynamic principles in determining the degradation of tribo-components subjected to oscillating motion in boundary and mixed lubrication regimes. Wear 2019, 436, 203002. [Google Scholar] [CrossRef]
- Shirong, G.; Gouan, C. Fractal prediction models of sliding wear during the running-in process. Wear 1999, 231, 249–255. [Google Scholar] [CrossRef]
- Sahoo, P.; Chowdhury, S.R. A fractal analysis of adhesive wear at the contact between rough solids. Wear 2002, 253, 924–934. [Google Scholar] [CrossRef]
- Zhou, G.; Leu, M.; Blackmore, D. Fractal geometry model for wear prediction. Wear 1993, 170, 1–14. [Google Scholar] [CrossRef]
- Podsiadlo, P.; Stachowiak, G. Scale-invariant analysis of wear particle surface morphology: II. Fractal dimension. Wear 2000, 242, 180–188. [Google Scholar] [CrossRef]
- Yin, X.; Komvopoulos, K. An adhesive wear model of fractal surfaces in normal contact. Int. J. Solids Struct. 2010, 47, 912–921. [Google Scholar] [CrossRef]
- Nosonovsky, M.; Bhushan, B. Thermodynamics of surface degradation, self-organization and self-healing for biomimetic surfaces. Philos. Trans. R. Soc. A Math. Phys. Eng. Sci. 2009, 367, 1607–1627. [Google Scholar] [CrossRef]
- Brahmeshwarkar, S. A Thermodynamic Model for Wear in Sliding Contact. LSU. Master’s Thesis, Louisiana State University, Baton Rouge, Louisiana, 2006. [Google Scholar]
- Bryant, M.; Khonsari, M.; Ling, F. On the thermodynamics of degradation. Proc. R. Soc. A Math. Phys. Eng. Sci. 2008, 464, 2001–2014. [Google Scholar] [CrossRef]
- Beheshti, A.; Khonsari, M.M. A thermodynamic approach for prediction of wear coefficient under unlubricated sliding condition. Tribol. Lett. 2010, 38, 347–354. [Google Scholar] [CrossRef]
- Lijesh, K.P.; Khonsari, M.M.; Kailas, S.V. On the integrated degradation coefficient for adhesive wear: A thermody-namic approach. Wear 2018, 408, 138–150. [Google Scholar] [CrossRef]
- Feinberg, A.; Widom, A. Connecting parametric aging to catastrophic failure through thermodynamics. IEEE Trans. Reliab. 1996, 45, 28–33. [Google Scholar] [CrossRef]
- Hansen, N.; Schreyer, H. A thermodynamically consistent framework for theories of elastoplasticity coupled with damage. Int. J. Solids Struct. 1994, 31, 359–389. [Google Scholar] [CrossRef]
- Matveevsky, R.M. The critical temperature of oil with point and line contact machines. J. Basic Eng. 1965, 87, 754–759. [Google Scholar] [CrossRef]
- Plint, M.A.; Alliston-Greiner, A.F. The energy pulse: A new wear criterion and its relevance to wear in gear teeth and automotive engine valve trains. In Proceedings of the XI NCIT, New Delhi, India, 22–25 January 1995; Volume 185. [Google Scholar]
- Mohrbacher, H.; Celis, J.-P.; Roos, J. Laboratory testing of displacement and load induced fretting. Tribol. Int. 1995, 28, 269–278. [Google Scholar] [CrossRef]
- Huq, M.Z.; Celis, J.P. Reproducibility of friction and wear results in ball-on-disc unidirectional sliding tests of TiN-alumina pairings. Wear 1997, 212, 151–159. [Google Scholar] [CrossRef]
- Fouvry, S.; Kapsa, P.; Vincent, L. Quantification of fretting damage. Wear 1996, 200, 186–205. [Google Scholar] [CrossRef]
- Celis, J.P.; Vancoille, E.; Mohrbacher, H.; Stals, L. Surface Modification Technologies XI; Sundarshan, T.S., Jeandin, M., Khor, A., Eds.; Publ. IOM Comm.: London, UK, 1998; p. 860. [Google Scholar]
- Huq, M.Z.; Celis, J.P. Fretting wear of multilayered (Ti, Al) N/TiN coatings in air of different relative humidity. Wear 1999, 225, 53–64. [Google Scholar] [CrossRef]
- Fouvry, S.; Kapsa, P. An energy description of hard coating wear mechanisms. Surf. Coat. Technol. 2001, 138, 141–148. [Google Scholar] [CrossRef]
- Aghdam, A.B.; Khonsari, M.M. Prediction of Wear in Reciprocating Dry Sliding via Dissipated Energy and Temperature Rise. Tribol. Lett. 2013, 50, 365–378. [Google Scholar] [CrossRef]
- Savkoor, A.; Ouwerkerk, H. Tribological transitions due to heat dissipation during braking on contaminated rails. Wear 1995, 181–183, 391–396. [Google Scholar] [CrossRef]
- Colaço, R.; Gispert, M.; Serro, A.; Saramago, B. An energy-based model for the wear of UHMWPE. Tribol. Lett. 2007, 26, 119–124. [Google Scholar] [CrossRef]
- Larbi, A.B.C.; Cherif, A.; Tarres, M. Improvement of the adhesive wear resistance of steel by nitriding quantified by the energy dissipated in friction. Wear 2005, 258, 712–718. [Google Scholar] [CrossRef]
- Abdel-Aal, H.A. Efficiency of thermal energy dissipation in dry rubbing. Wear 2003, 255, 348–364. [Google Scholar] [CrossRef]
- Ersoy-Nürnberg, K.; Nürnberg, G.; Golle, M.; Hoffmann, H. Simulation of wear on sheet metal forming tools—An energy approach. Wear 2008, 265, 1801–1807. [Google Scholar] [CrossRef]
- Zmitrowicz, A. A thermodynamical model of contact, friction and wear: I governing equations. Wear 1987, 114, 135–168. [Google Scholar] [CrossRef]
- Bikerman, J.J. Thermodynamics, Adhesion, and Sliding Friction. J. Technol. 1970, 92, 243–244. [Google Scholar] [CrossRef]
- Klamecki, B.E. Wear—An entropy production model. Wear 1980, 58, 325–330. [Google Scholar] [CrossRef]
- Klamecki, B.E. A thermodynamic model of friction. Wear 1980, 63, 113–120. [Google Scholar] [CrossRef]
- Klamecki, B.E. Energy dissipation in sliding. Wear 1982, 77, 115–128. [Google Scholar] [CrossRef]
- Klamecki, B.E. Wear—An entropy based model of plastic deformation energy dissipation in sliding. Wear 1984, 96, 319–329. [Google Scholar] [CrossRef]
- Rigney, D.; Hirth, J. Plastic deformation and sliding friction of metals. Wear 1979, 53, 345–370. [Google Scholar] [CrossRef]
- Heilmann, P.; Rigney, D. An energy-based model of friction and its application to coated systems. Wear 1981, 72, 195–217. [Google Scholar] [CrossRef]
- Zmitrowicz, A. A thermodynamical model of contact, friction and wear: II constitutive equations for materials and linearized theories. Wear 1987, 114, 169–197. [Google Scholar] [CrossRef]
- Zmitrowicz, A. A thermodynamical model of contact, friction and wear: III Constitutive equations for friction, wear and frictional heat. Wear 1987, 114, 199–221. [Google Scholar] [CrossRef]
- Abdel-Aal, H.A. On the thermal compatibility of metallic pairs in rubbing applications. Int. J. Therm. Sci. 1999, 38, 27–41. [Google Scholar] [CrossRef]
- Abdel-Aal, H.A. On the influence of tribo-induced superheating on protective layer formation in dry sliding of metallic pairs. Int. J. Therm. Sci. 2001, 40, 571–580. [Google Scholar] [CrossRef]
- Abdel-Aal, H.A. Thermal compatibility of dry sliding tribo-specimens. Wear 2001, 251, 939–948. [Google Scholar] [CrossRef]
- Abdel-Aal, H.A. Thermal kinetics of protective oxide layer formation in the dry sliding of metallic tribo-specimens. Tribol. Int. 2002, 35, 757–769. [Google Scholar] [CrossRef]
- Abdel-Aal, H.A. On the interdependence between kinetics of friction-released thermal energy and the transition in wear mechanisms during sliding of metallic pairs. Wear 2003, 254, 884–900. [Google Scholar] [CrossRef]
- Abdel-Aal, H.A. On the role of intrinsic material response in failure of tribo systems. Wear 2005, 259, 1372–1381. [Google Scholar] [CrossRef]
- Abdel-Aal, H.A. Influence of frictional energy dissipation on wear regime transition in dry tribo-systems. Int. J. Mater. Prod. Technol. 2010, 38, 78–92. [Google Scholar]
- Dai, Z.; Yang, S.; Xue, Q. Thermodynamic model of fretting wear. J. Nanjing Univ. Aeronaut. Astronaut. 2000, 32, 125–131. [Google Scholar]
- Prigogine, I. Etude Thermodynamique des Processus Irreversible, 4th ed.; Desoer: Liege, Belgium, 1967. [Google Scholar]
- Kondepudi, D.; Prigogine, I. Modern Thermodynamics: From Heat Engines to Dissipative Structures; John Wiley & Sons, Inc.: New York, NY, USA, 1998. [Google Scholar]
- Aghdam, A.; Khonsari, M. On the correlation between wear and entropy in dry sliding contact. Wear 2011, 270, 781–790. [Google Scholar] [CrossRef]
- Pawlus, P. A study on the functional properties of honed cylinders surface during running-in. Wear 1994, 176, 247–254. [Google Scholar] [CrossRef]
- Mondal, M.K.; Biswas, K.; Maity, J. A transient heat transfer model for assessment of flash temper-ature during dry sliding wear in a pin-on-disk tribometer. Metall. Mater. Trans. A 2016, 47, 600–607. [Google Scholar] [CrossRef]
- Bryant, M.D.; Khonsari, M.M. Application of degradation-entropy generation theorem to dry sliding friction and wear. In Proceeding of the International Joint Tribology Conference, Miami, FL, USA, 20–22 October 2008; Volume 43369, pp. 1–3. [Google Scholar]
- Amiri, M.; Khonsari, M.M.; Brahmeshwarkar, S. An application of dimensional analysis to entropy-wear relationship. J. Tribol. 2012, 134, 011604. [Google Scholar] [CrossRef]
- Al-Tubi, I.; Long, H.; Tavner, P.; Shaw, B.; Zhang, J. Probabilistic analysis of gear flank micro-pitting risk in wind turbine gearbox using supervisory control and data acquisition data. IET Renew. Power Gener. 2015, 9, 610–617. [Google Scholar] [CrossRef]
- Worden, K.; Sohn, H.; Farrar, C. Novelty detection in a changing environment: Regression and interpolation approaches. J. Sound Vib. 2002, 258, 741–761. [Google Scholar] [CrossRef]
- McBain, J.; Timusk, M. Fault detection in variable speed machinery: Statistical parameterization. J. Sound Vib. 2009, 327, 623–646. [Google Scholar] [CrossRef]
- Randall, R.; Antoni, J.; Chobsaard, S. The relationship between spectral correlation and envelope analysis in the diagnostics of bearing faults and other cyclostationary machine signals. Mech. Syst. Signal Process. 2001, 15, 945–962. [Google Scholar] [CrossRef]
- Stack, J.; Habetler, T.; Harley, R. Effects of machine speed on the development and detection of rolling element bearing faults. IEEE Power Electron. Lett. 2003, 1, 19–21. [Google Scholar] [CrossRef]
- Wang, Y.; Infield, D. Supervisory control and data acquisition data-based non-linear state estimation technique for wind turbine gearbox condition monitoring. IET Renew. Power Gener. 2013, 7, 350–358. [Google Scholar] [CrossRef]
- LaCava, W.; Xing, Y.; Marks, C.; Guo, Y.; Moan, T. Three-dimensional bearing load share behaviour in the planetary stage of a wind turbine gearbox. IET Renew. Power Gener. 2013, 7, 359–369. [Google Scholar] [CrossRef]
- Dong, W.; Xing, Y.; Moan, T.; Gao, Z. Time domain-based gear contact fatigue analysis of a wind turbine drivetrain under dynamic conditions. Int. J. Fatigue 2013, 48, 133–146. [Google Scholar] [CrossRef]
- ISO/TR 15144–1:2010: Calculation of Micro-Pitting Load Capacity of Cylindrical Spur and Helical Gears: Introduction and Basic Principles; BSI Standard Publication: London, UK, 2010; pp. 1–56.
- Muzakkir, S.M.; Lijesh, K.P.; Hirani, H.; Thakre, G.D. Effect of cylindricity on the tribological performance of heavily loaded slow-speed journal bearing. Proc. Inst. Mech. Eng. Part J J. Eng. Tribol. 2015, 229, 178–195. [Google Scholar] [CrossRef]
- Lijesh, K.P.; Khonsari, M.M. On the modeling of adhesive wear with consideration of loading sequence. Tribol. Lett. 2018, 66, 105. [Google Scholar] [CrossRef]
- Lijesh, K.P.; Khonsari, M.M. On the useful life of tribo-pairs experiencing variable loading and sliding speed. Wear 2018, 416–417, 103–114. [Google Scholar] [CrossRef]
- Sannino, A.P.; Rack, H.J. Dry sliding wear of discontinuously reinforced aluminum composites: Review and discussion. Wear 1995, 189, 1–19. [Google Scholar] [CrossRef]
- Unal, H.; Mimaroglu, A.; Kadıoglu, U.; Ekiz, H. Sliding friction and wear behaviour of polytetrafluoroethylene and its composites under dry conditions. Mater. Des. 2004, 25, 239–245. [Google Scholar] [CrossRef]
- Childs, T.H.C. The sliding wear mechanisms of metals, mainly steels. Tribol. Int. 1980, 13, 285–293. [Google Scholar] [CrossRef]
- Lingerkar, K.; Khonsari, M.M. On the effects of sliding velocity and operating pressure differential in rotary O-ring seals. Proc. Inst. Mech. Eng. Part J J. Eng. Tribol. 2010, 224, 649–657. [Google Scholar] [CrossRef]
- Mohtiichcr, H. The Tribological Perfmance of Advanced Hard Coatings under Fretting Conditions. Ph.D. Thesis, Kalholiekc Univcrsitcit Leuvcn, Leuven, Belgium, 1995. [Google Scholar]
- Mohrbacher, H.; Blanpain, B.; Celis, J.P.; Roos, J.R. Low amplitude oscillating sliding wear on chemically vapour deposited diamond coatings. Diam. Relat. Mater. 1993, 2, 879–884. [Google Scholar] [CrossRef]
- Bai, M.; Xue, Q.; Wang, X.; Wan, Y.; Liu, W. Wear mechanism of SiC whisker-reinforced 2024 aluminum alloy matrix composites in oscillating sliding wear tests. Wear 1995, 185, 197–202. [Google Scholar] [CrossRef]
- Klaffke, D. On the influence of test parameters on friction and wear of ceramics in oscillating sliding contacts. Tribotest 1995, 1, 311–320. [Google Scholar] [CrossRef]
- Blau, P.J.; Walukas, M. Sliding friction and wear of magnesium alloy AZ91D produced by two different methods. Tribol. Int. 2000, 33, 573–579. [Google Scholar] [CrossRef]
- Dow, B.L. Steam Generator Progress Report: Revision 12; EPRI TR-106365; EPRI: Palo Alto, CA, USA, 1996. [Google Scholar]
- Hwang, S.S.; Namgung, C.; Jung, M.K.; Kim, H.P.; Kim, J.S. Rupture pressure of wear degraded alloy 600 steam generator tubings. J. Nucl. Mater. 2008, 373, 71–74. [Google Scholar] [CrossRef]
- Guo, X.; Ping, L.; Lichen, T.; Junqiang, L.; Jiamei, W.; Lefu, Z. Fretting wear of alloy 690 tube mated with different materials in high temperature water. Wear 2018, 400, 119–126. [Google Scholar] [CrossRef]
- Fouvry, S.; Liskiewicz, T.; Kapsa, P.; Hannel, S.; Sauger, E. An energy description of wear mechanisms and its applications to oscillating sliding contacts. Wear 2003, 255, 287–298. [Google Scholar] [CrossRef]
- Van, K.D.; Maitournam, M.H. Elasto-Plastic Calculations of the Mechanical State in Reciprocating Moving Contacts: Application to Fretting Fatigue; ESIS, Mechanical Engineering Publications: London, UK, 1994; Volume 18, pp. 164–168. [Google Scholar]
- Fouvry, S.; Kapsa, P.; Vincent, L. An elastic–plastic shakedown analysis of fretting wear. Wear 2001, 247, 41–54. [Google Scholar] [CrossRef]
- Kapoor, A. Wear by plastic ratchetting. Wear 1997, 212, 119–130. [Google Scholar] [CrossRef]
- Olsson, H. Control Systems with Friction. Ph.D. Thesis, Lund Institute of Technology, Lund, Sweden, 1996. [Google Scholar]
- Lijesh, K.P.; Khonsari, M.M. On the degradation of tribo-components undergoing oscillating sliding contact. Tribol. Int. 2019, 135, 18–28. [Google Scholar] [CrossRef]
- Huq, M.; Celis, J.; Meneve, J.; Stals, L.; Schryvers, D. Oscillating sliding wear of mono- and multilayer ceramic coatings in air. Surf. Coat. Technol. 1999, 113, 242–250. [Google Scholar] [CrossRef]
- Rajeev, V.R.; Dwivedi, D.K.; Jain, S.C. Dry reciprocating wear of Al–Si–SiCp composites: A statistical analysis. Tribol. Int. 2010, 43, 1532–1541. [Google Scholar] [CrossRef]
- Blau, P.J. Running-in: Art or engineering? J. Mater. Eng. 1991, 13, 47–53. [Google Scholar] [CrossRef]
- Blau, P.J.; Komanduri, R. Friction and wear transitions of materials: Break-in, run-in, and wear-in. J. Eng. Mater. Technol. 1990, 112, 254. [Google Scholar] [CrossRef]
- Khonsari, M.; Ghatrehsamani, S.; Akbarzadeh, S. On the running-in nature of metallic tribo-components: A review. Wear 2021, 474–475, 203871. [Google Scholar] [CrossRef]
- Yang, L.J. A test methodology for the determination of wear coefficient. Wear 2005, 259, 1453–1461. [Google Scholar] [CrossRef]
- Yang, L.J. An Integrated Transient and Steady-State Adhesive Wear Model. Tribol. Trans. 2003, 46, 369–375. [Google Scholar] [CrossRef]
- Abbott, E.J.; Firestone, F.A. Specifying surface quality. Mech. Eng. 1933, 55, 569–572. [Google Scholar]
- Zhang, Z.; Zhang, L.; Mai, Y.-W. The running-in wear of a steel/SiCp-Al composite system. Wear 1996, 194, 38–43. [Google Scholar] [CrossRef]
- Blau, P.J. On the nature of running-in. Tribol. Int. 2005, 38, 1007–1012. [Google Scholar] [CrossRef]
- Queener, C.; Smith, T.; Mitchell, W. Transient wear of machine parts. Wear 1965, 8, 391–400. [Google Scholar] [CrossRef]
- Yang, L.J. The transient and steady wear coefficients of A6061 aluminum alloy reinforced with alumina particles. Comp. Sci. Technol. 2003, 63, 575–583. [Google Scholar] [CrossRef]
- Hanief, M.; Wani, M.F. Effect of surface roughness on wear rate during running-in of En31-steel: Model and experimental validation. Mater. Lett. 2016, 176, 91–93. [Google Scholar] [CrossRef]
- Lijesh, K.; Khonsari, M.M. On the onset of steady state during transient adhesive wear. Tribol. Int. 2018, 130, 378–386. [Google Scholar] [CrossRef]
- Li, X.; Xuesong, J.; Zefeng, W.; Dabin, C.; Weihua, Z. A new integrated model to predict wheel profile evolution due to wear. Wear 2011, 271, 227–237. [Google Scholar] [CrossRef]
- Levy, V.; Jee, N. Unlubricated sliding wear of ceramic materials. Wear 1988, 121, 363–380. [Google Scholar] [CrossRef]
- Kumar, R.; Prakash, B.; Sethuramiah, A. A systematic methodology to characterise the running-in and steady-state wear processes. Wear 2002, 252, 445–453. [Google Scholar] [CrossRef]
- Mortazavi, V.; Khonsari, M.M. On the prediction of transient wear. J. Tribol. 2016, 138, 041604. [Google Scholar] [CrossRef]
- Ghatrehsamani, S.; Akbarzadeh, S.; Khonsari, M.M. Experimental and numerical study of the running-in wear coefficient during dry sliding contact. Surf. Topogr. Metrol. Prop. 2021, 9, 015009. [Google Scholar] [CrossRef]
- Bhattacharya, B.; Ellingwood, B. A new CDM-based approach to structural deterioration. Int. J. Solids Struct. 1999, 36, 1757–1779. [Google Scholar] [CrossRef]
- Lamaitre, J. Continuous damage mechanics model or ductile fracture. Eng. Mater. Technol. 1985, 107, 83–85. [Google Scholar] [CrossRef]
- Beheshti, A.; Khonsari, M.M. An engineering approach for the prediction of wear in mixed lubricated contacts. Wear 2013, 308, 121–131. [Google Scholar] [CrossRef]
- Ghatrehsamani, S.; Akbarzadeh, S. Predicting the wear coefficient and friction coefficient in dry point contact using con-tinuum damage mechanics. J. Eng. Tribol. 2019, 233, 447–455. [Google Scholar]
- Ghosh, A.; Sadeghi, F. A novel approach to model effects of surface roughness parameters on wear. Wear 2015, 338–339, 73–94. [Google Scholar] [CrossRef]
- Albers, A.; Reichert, S. On the influence of surface roughness on the wear behavior in the running-in phase in mixed-lubricated contacts with the finite element method. Wear 2017, 376, 1185–1193. [Google Scholar] [CrossRef]
- Akbarzadeh, S.; Khonsari, M.M. On the Prediction of Running-In Behavior in Mixed-Lubrication Line Contact. J. Tribol. 2010, 132, 032102. [Google Scholar] [CrossRef]
- Akbarzadeh, S.; Khonsari, M. Experimental and theoretical investigation of running-in. Tribol. Int. 2011, 44, 92–100. [Google Scholar] [CrossRef]
- Bosman, R.; Hol, J.; Schipper, D.J. Running-in of metallic surfaces in the boundary lubrication regime. Wear 2011, 271, 1134–1146. [Google Scholar] [CrossRef]
- Mehdizadeh, M.; Akbarzadeh, S.; Shams, K.; Khonsari, M.M. Experimental investigation on the effect of operating conditions on the running-in behavior of lubricated elliptical contacts. Tribol. Lett. 2015, 59, 6. [Google Scholar] [CrossRef]
- Pottirayil, A.; Kailas, S.V. Dry Sliding Wear Behavior of Ti-6Al-4V pin against SS316L disk at constant contact pressure. J. Tribol. 2016, 139, 021603. [Google Scholar]
- Madhu, H.C.; Edachery, V.; Lijesh, K.P.; Perugu, C.S.; Kailas, S.V. Fabrication of wear-resistant Ti3AlC2/Al3Ti hybrid aluminum composites by friction stir processing. Met. Mater. Trans. A 2020, 51, 4086–4099. [Google Scholar] [CrossRef]
- Scott, R. Basic Wear Modes in Lubricated Systems; Machine Lubrication: Tulsa, OK, USA, 2008. [Google Scholar]






















| Cases | Load (N) | Sliding Speed (m/s) | Expt. Wear Loss (mg) | Kb,u × 10−4 | Bb,u mm3K/J | Error (%) | |
|---|---|---|---|---|---|---|---|
| Using Kb,u | Using Bb,u | ||||||
| 1 | 5 | 0.063 | 2.8 | 4.22 | 0.46 | −6.57 | −6.2 |
| 2 | 5 | 0.126 | 4.9 | 3.71 | 0.47 | 6.31 | −8.5 |
| 3 | 5 | 0.188 | 6.5 | 3.49 | 0.46 | 11.87 | −6.2 |
| 4 | 10 | 0.063 | 9 | 6.84 | 0.48 | −72.73 | −10.9 |
| 5 | 10 | 0.126 | 13 | 4.92 | 0.46 | −24.24 | −6.2 |
| 6 | 10 | 0.188 | 17.7 | 4.84 | 0.48 | −22.22 | −10.9 |
| Cases | Applied Load (N) | Sliding Speed (m/s) | Operation Time (min) | Wear (mg) | |||||||||
|---|---|---|---|---|---|---|---|---|---|---|---|---|---|
| 1 | 5 | 10 | 5 | 10 | 0.063 | 0.126 | 0.126 | 0.188 | 30 | 30 | 15 | 15 | 15.5 |
| 2 | 10 | 5 | 10 | 5 | 0.063 | 0.063 | 0.126 | 0.188 | 15 | 15 | 30 | 30 | 9.9 |
| 3 | 5 | 5 | 10 | 10 | 0.063 | 0.188 | 0.063 | 0.188 | 30 | 15 | 30 | 15 | 9.5 |
| 4 | 10 | 10 | 5 | 5 | 0.188 | 0.063 | 0.188 | 0.063 | 15 | 30 | 15 | 30 | 12 |
| Year | Authors [Ref.] | Method | Remarks |
|---|---|---|---|
| 1965 | Matveevsky [99] | Mathematical model, Experimental | Introduced friction power intensity term to measure the intensity of frictional energy dissipated in the contact region during the relative motion. First to report the correlation between energy dissipation and wear. |
| 1967 | Prigogine [121] | Mathematical model | Established that the entropy generation defines the tribo-system degradation. He insisted on developing formulas for the entropy generation in terms of experimentally measurable quantities. |
| 1970 | Bikerman [104] | Mathematical model | Described the importance of studying the friction behavior of tribo-pairs from the thermodynamic framework. |
| 1980–1984 | Klamecki [105,106,107,108] | Mathematical model | Presented a detailed thermodynamics analysis for characterizing the degradation of the tribo-system from the thermodynamics framework, when operated at nearly equilibrium conditions. |
| 1987 | Zmitrowicz [103,109,110] | Mathematical model | Developed formulae for characterizing thermodynamics of contacting bodies experiencing third-body interaction by using continuum mechanics, rational thermodynamics, and existing experimental results. |
| 1995 | Mohrbachcr [91] | Experimental | Reported a linear relationship between the wear volume of TiN coatings and the cumulative friction energy dissipated for bidirectional sliding in fretting wear. |
| 1995 | Plint [90] | Mathematical model, Experimental | Introduced energy pulse quantity to measure the severity of the wearing process by estimating the energy dissipation per unit area during the sliding motion. |
| 1996 | Fouvry et al. [93] | Experimental | For bidirectional sliding experiments, they reported a linear correlation between wear volume and dissipated energy for TiN-alumina and high-speed steel (HSS)-alumina. |
| 1997 | Huq and Celis [92] | Experimental | Via ball-on-disk experiments, they concluded that the measured wear loss was proportional to the total dissipated energy during a unidirectional sliding if the coating prevailed. |
| 1998 | Kondepudi and Prigogine [122] | Mathematical model | Expressed thermodynamic quantities of a perturbating system as the variations about the equilibrium state. He stated that during equilibrium state, the first variation of entropy production about the equilibrium state vanishes. In other words, for a transient system, the values of dU and dS are not zero. |
| 1998 | Celis et al. [94] | Experiment | Reported linear relation between wear volume and dissipated energy for hard-coated steel and alumina balls for different RH values. |
| 1999 | Huq and Celis [95] | Mathematical model, Experimental | Established a correlation between cumulated dissipated energy and wear volume by performing wear experiments on different types of coating at different relative humidity conditions. Characterization of the degradation process of tribo-system behavior becomes complex when the interaction of the surroundings is considered |
| 1999–2005 | Abdel-Aal [101,113,114,115,116,117,118,119] | Mathematical model, Experimental | Explored the correlation between the wear of contacting surfaces to the thermal properties of the materials from a thermo-mechanical perspective. He concluded that the wear volume is dependent on the amount of energy dissipated. |
| 2000 | Dai et al. [120] | Mathematical model, Experimental | For fretting wear system, the entropy reaches maximum and entropy generation concludes when operated near equilibrium. At equilibrium, the entropy flow and entropy production were equated and solved for wear by considering it as a mass flux component of entropy flow. |
| 2000 | Doelling et al. [17] | Mathematical model, Experimental | First time to establish the correlation between entropy flow and degradation of the component due to wear. They demonstrated that Archard’s equation is a thermodynamic consequence, and it is subsumed in their proposed wear−entropy relationship. |
| 2001 | Fouvry and Kapsa [154] | Experimental | Archard law failed to characterize the degradation of tribo-pair when the friction coefficient is not constant, while the energy dissipation approach will provide a stable quantification. |
| 2002 | Huq and Celis [5] | Experimental | Wear of materials in bidirectional sliding contacts was considered as resulting from an energy dissipation due to friction between the contacting first bodies. |
| 2003 | Fouvry et al. [152] | Experimental | This energy wear approach is applied to analyze hard-coating wear mechanisms focusing on abrasion and oxidation phenomena. |
| 2006 | Brahmeshwarkar [83] | Experimental | Experimentally verified correlation between wear and entropy flow in a tribo-pair operating in a unidirectional sliding motion with uniform/fixed operating conditions. |
| 2008 | Bryant et al. [84] | Mathematical model | Proposed a generalized theorem to characterize the irreversible degradation of a steady-state wearing system under relative motion. They called it the degradation-entropy generation (DEG) theorem. This theorem relates entropy generation to irreversible degradation via generalized thermodynamic forces X and degradation forces Y. |
| 2008 | Bryant and Khonsari [126] | Mathematical model, Experimental | Provided correlations for dry sliding wear and entropy flow through a degradation coefficient |
| 2010 | Amiri and Khonsari [33] | Review | Presented detailed review on the perspective of using the thermodynamic principles for contacting pairs. |
| 2010 | Bryant [46] | Review | Presented unification of different wear processes by considering the dissipative processes associated with the sliding interfaces. |
| 2010 | Beheshti and Khonsari [85] | Mathematical model, Experimental | Concluded that degradation of a tribo-pair is the direct consequence of an irreversible thermodynamic process involving friction and temperature. |
| 2011 | Aghdam and Khonsari [123] | Experimental | Performed experimental validation of the thermodynamic principle. They established that the degradation of tribo-pair is proportional to power and entropy generation. |
| 2012 | Amiri et al. [127] | Mathematical model, Experimental | Demonstrated the formulae for degradation coefficient can be obtained by using Buckingham’s dimensional analysis. Validated their findings with experimental results. |
| 2013 | Aghdam, and Khonsari [97] | Mathematical model, Experimental | From the correlation of average wear rate and the average power dissipation, they proposed power dissipation−wear rate factor, using which, wear rate is determined. |
| 2016 | Akbarzadeh and Khonsari [27] | Mathematical model, Experimental | Characterized the wear behavior of a tribo-pair under variable operating conditions by considering the Miner’s rule. For different operating conditions, the values of dissipated power for the failure of tribo-pair remained relatively constant. |
| 2018 | Lijesh et al. [86] | Mathematical model, Experimental | The applicability of the DEG for a transient wear condition such as the running-in condition was investigated. |
| 2018 | Lijesh and Khonsari [138] | Mathematical model, Experimental | Attempted to establish the efficacy of the degradation coefficient using DEG theorem for the tribo-pair experiencing variable loading. |
| 2018 | Lijesh and Khonsari [139] | Mathematical model, Experimental | Demonstrated the efficacy of the thermodynamic approach in characterizing the variable sliding speeds and arbitrary combination of both load and sliding speed. |
| 2019 | Lijesh and Khonsari [157] | Mathematical model, Experimental | Proposed a wear equation characterizing the wear of tribo-pairs in bidirectional motion with variable operating conditions using the degradation-entropy generation (DEG) theorem, which considers both first and second laws of thermodynamics, along with degradation forces. Validated with experimental results from [150,151]. |
| 2019 | Fereidoun et al. [26] | Mathematical model, Experimental | Performed several experiments by varying loading sequence conditions and established that the cumulative power dissipation and entropy remain relatively constant and independent of the loading sequence. |
| 2021 | Khonsari et al. [162] | Review | A detailed review of the state-of-the-art on running-in wear is provided, along with wear from the perspective of thermodynamic principles. |
Publisher’s Note: MDPI stays neutral with regard to jurisdictional claims in published maps and institutional affiliations. |
© 2021 by the authors. Licensee MDPI, Basel, Switzerland. This article is an open access article distributed under the terms and conditions of the Creative Commons Attribution (CC BY) license (https://creativecommons.org/licenses/by/4.0/).
Share and Cite
Koottaparambil, L.; Khonsari, M.M. A Unified Treatment of Tribo-Components Degradation Using Thermodynamics Framework: A Review on Adhesive Wear. Entropy 2021, 23, 1329. https://doi.org/10.3390/e23101329
Koottaparambil L, Khonsari MM. A Unified Treatment of Tribo-Components Degradation Using Thermodynamics Framework: A Review on Adhesive Wear. Entropy. 2021; 23(10):1329. https://doi.org/10.3390/e23101329
Chicago/Turabian StyleKoottaparambil, Lijesh, and M. M. Khonsari. 2021. "A Unified Treatment of Tribo-Components Degradation Using Thermodynamics Framework: A Review on Adhesive Wear" Entropy 23, no. 10: 1329. https://doi.org/10.3390/e23101329
APA StyleKoottaparambil, L., & Khonsari, M. M. (2021). A Unified Treatment of Tribo-Components Degradation Using Thermodynamics Framework: A Review on Adhesive Wear. Entropy, 23(10), 1329. https://doi.org/10.3390/e23101329

