A Novel Factor Graph and Cubature Kalman Filter Integrated Algorithm for Single-Transponder-Aided Cooperative Localization
Abstract
:1. Introduction
2. Framework of STCL
3. FGCKF in STCL
3.1. The Proposed FGCKF Algorithm
3.2. Adaptive CKF
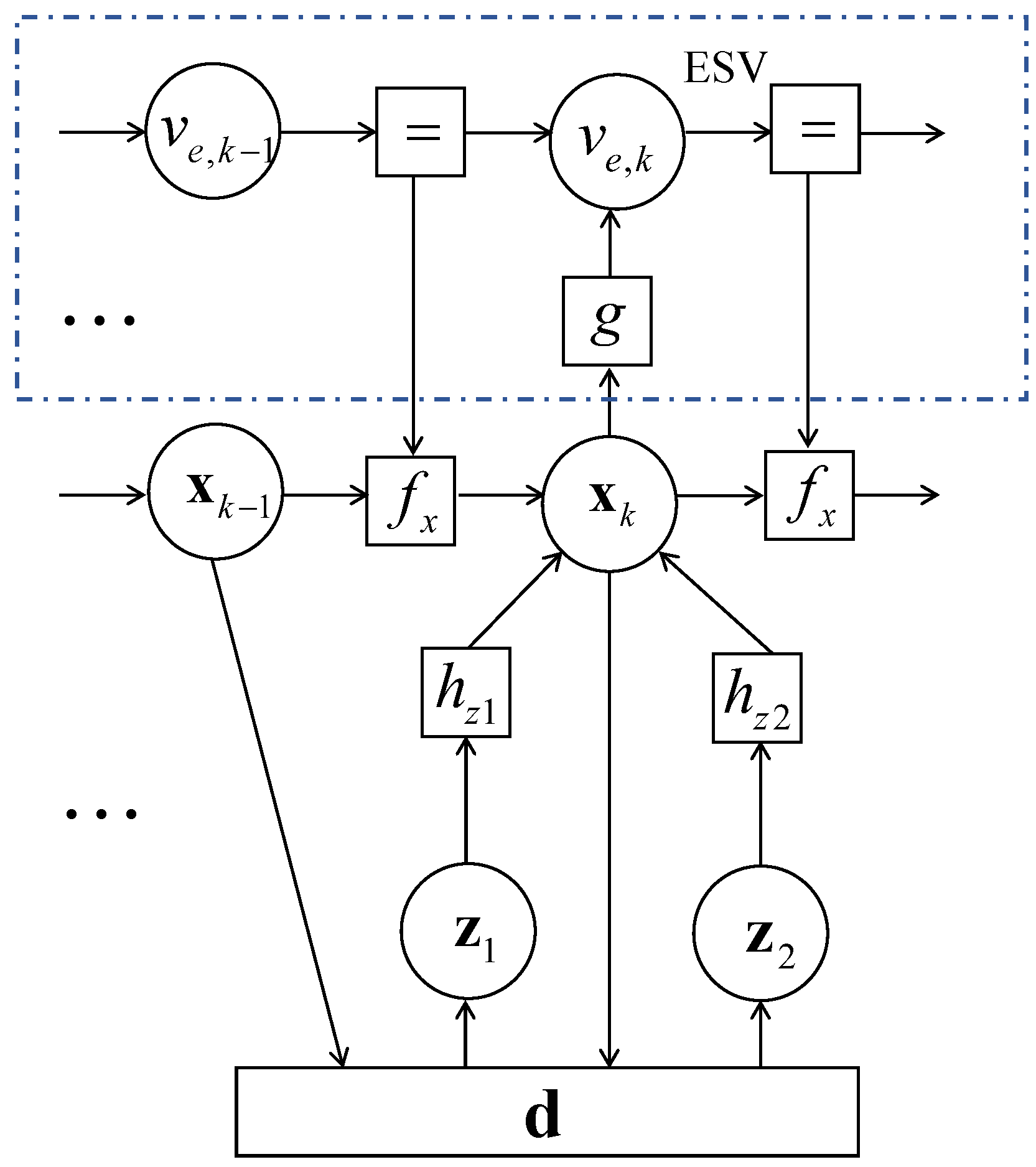
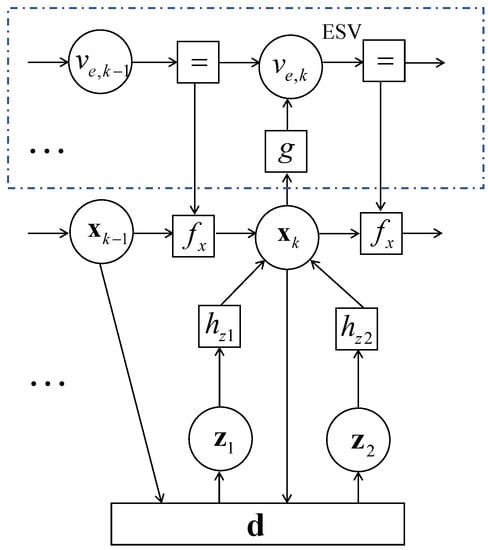
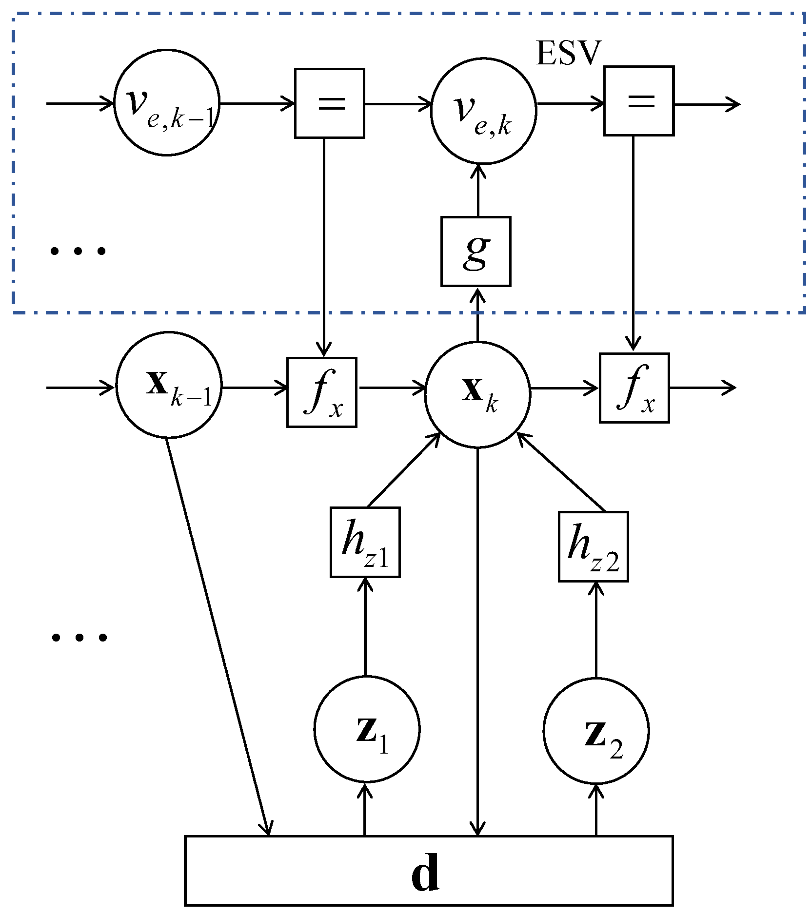
3.3. Sum-Product Based ESV
3.4. MCC-Based Velocity Uncertainty
3.5. Flow-Chart of FGCKF
| Algorithm 1 Flowchart of proposed FGCKF in STCL. |
| Imput: The initial state and , time delay and and position of transponder and leader and |
| Output: The estimation and |
| 1: for i = 1:k do |
| 2: Calculate the velocity in Equation (46) |
| 3: Calculate prediction state using Equations (11)–(15) |
| 4: Revise measurement using Equation (30) |
| 5: Calculate measurement noise covariance in Equations (31)–(34) |
| 6: Calculate update state by Equations (16)–(24) |
| 7: Estimate sound velocity using Equations (39) and (40) |
| 8: Calculate measurement residual in Equations (25)–(29) |
| 9: end for |
| 10: return and |
4. Simulations and Experiments
4.1. Simulation Results
4.1.1. Performance Analysis of ACKF
4.1.2. Performance Analysis of ESV
4.1.3. Performance Analysis of Integrated FGCKF
4.2. Field Data
5. Conclusions
Author Contributions
Funding
Institutional Review Board Statement
Informed Consent Statement
Data Availability Statement
Conflicts of Interest
References
- Simetti, E.; Indiveri, G.; Pascoal, A.M. Wimust: A cooperative marine robotic system for autonomous geotechnical surveys. J. Field Robot. 2021, 38, 268–288. [Google Scholar] [CrossRef]
- Willners, J.S.; Toohey, L.; Petillot, Y.R. Sampling-Based Path Planning for Cooperative Autonomous Maritime Vehicles to Reduce Uncertainty in Range-Only Localization. IEEE Robot. Autom. Lett. 2019, 4, 3987–3994. [Google Scholar] [CrossRef]
- Zhao, W.; Zhao, H.; Liu, L. A Single Beacon-aided Cooperative Localization Algorithm based on Maximum Correntropy Criterion. In Proceedings of the 2021 International Wireless Communications and Mobile Computing (IWCMC), Harbin, China, 28 June–2 July 2021; pp. 1835–1839. [Google Scholar]
- Nguyen, V.T.; Jeong, Y.; Shin, H.; Win, M. Least Square Cooperative Localization. IEEE Trans. Veh. Technol. 2015, 64, 1318–1330. [Google Scholar] [CrossRef]
- Russell, J.S.; Ye, M.; Anderson, B.D.O.; Hmam, H.; Sarunic, P. Cooperative Localization of a GPS-Denied UAV Using Direction-of-Arrival Measurements. IEEE Trans. Aerosp. Electron. Syst. 2020, 56, 1966–1978. [Google Scholar] [CrossRef] [Green Version]
- Yan, J.; Zhang, X.; Luo, X.; Wang, Y.; Chen, C.; Guan, X. Asynchronous Localization with Mobility Prediction for Underwater Acoustic Sensor Networks. IEEE Trans. Veh. Technol. 2018, 67, 2543–2556. [Google Scholar] [CrossRef]
- Kuhlman, M.J.; Jones, D.; Sofge, D.A.; Hollinger, G.A.; Gupta, S.K. Collaborating Underwater Vehicles Conducting Large-Scale Geospatial Tasks. IEEE J. Ocean. Eng. 2021, 46, 785–807. [Google Scholar] [CrossRef]
- Wang, S.; Chen, L.; Gu, D.; Hu, H. Cooperative localization of AUVs using moving horizon estimation. IEEE/CAA J. Autom. Sin. 2014, 1, 68–76. [Google Scholar]
- Lu, J.; Chen, X.; Luo, M.; Zhou, Y. Cooperative localization for multiple AUVs based on the rough estimation of the measurements. Appl. Soft Comput. 2020, 91, 106197. [Google Scholar] [CrossRef]
- Liao, Y.; Xie, J.; Wang, Z.; Shen, X. Multisensor Estimation Fusion with Gaussian Process for Nonlinear Dynamic Systems. Entropy 2019, 21, 1126. [Google Scholar] [CrossRef] [Green Version]
- Xiong, J.; Xiong, Z.; Cheong, J.W.; Xu, J.; Yu, Y.; Dempster, A.G. Cooperative positioning for low-cost close formation flight based on relative estimation and belief propagation. Aerosp. Sci. Technol. 2020, 106, 106068. [Google Scholar] [CrossRef]
- Chakraborty, A.; Brink, K.M.; Sharma, R. Cooperative Relative Localization Using Range Measurements without a Priori Information. IEEE Access 2020, 8, 205669–205684. [Google Scholar] [CrossRef]
- Fallon, M.F.; Papadopoulos, G.; Leonard, J.J.; Patrikalakis, N.M. Cooperative AUV Navigation using a Single Maneuvering Surface Craft. Int. J. Robot. Res. 2010, 29, 1461–1474. [Google Scholar] [CrossRef] [Green Version]
- Dehghannasiri, R.; Esfahani, M.S.; Qian, X.; Dougherty, E.R. Optimal Bayesian Kalman Filtering with Prior Update. IEEE Trans. Signal Process. 2018, 66, 1982–1996. [Google Scholar] [CrossRef]
- Arasaratnam, I.; Haykin, S. Cubature Kalman Filters. IEEE Trans. Autom. Control 2009, 54, 1254–1269. [Google Scholar] [CrossRef] [Green Version]
- Bai, M.; Huang, Y.; Zhang, Y.; Chen, F. A Novel Heavy-Tailed Mixture Distribution Based Robust Kalman Filter for Cooperative Localization. IEEE Trans. Ind. Inform. 2021, 17, 3671–3681. [Google Scholar] [CrossRef]
- Xu, B.; Guo, Y.; Wang, L.; Zhang, J. A Novel Robust Gaussian Approximate Smoother Based on EM for Cooperative Localization with Sensor Fault and Outliers. IEEE Trans. Instrum. Meas. 2021, 70, 1–14. [Google Scholar]
- Li, Q.; Ben, Y.; Naqvi, S.M.; Neasham, J.A.; Chambers, J.A. Robust Student’s t-Based Cooperative Navigation for Autonomous Underwater Vehicles. IEEE Trans. Instrum. Meas. 2018, 67, 1762–1777. [Google Scholar] [CrossRef] [Green Version]
- Huang, Y.; Zhang, Y.; Xu, B.; Wu, Z.; Chambers, J.A. A New Adaptive Extended Kalman Filter for Cooperative Localization. IEEE Trans. Aerosp. Electron. Syst. 2018, 54, 353–368. [Google Scholar] [CrossRef]
- Huang, X.; Wang, J. Real-Time Estimation of Center of Gravity Position for Lightweight Vehicles Using Combined AKF-EKF Method. IEEE Trans. Veh. Technol. 2014, 63, 4221–4231. [Google Scholar] [CrossRef]
- Xu, B.; Li, S.; Razzaqi, A.A.; Guo, Y.; Wang, L. A Novel Measurement Information Anomaly Detection Method for Cooperative Localization. IEEE Trans. Instrum. Meas. 2021, 70, 1–18. [Google Scholar]
- Oliveira, H.; Dias, S.S.; Bruno, M.G.D.S. Cooperative Terrain Navigation Using Hybrid GMM/SMC Message Passing on Factor Graphs. IEEE Trans. Aerosp. Electron. Syst. 2020, 56, 3958–3970. [Google Scholar] [CrossRef]
- Kschischang, F.; Frey, B.J.; Loeliger, H.-A. Factor graphs and the sum-product algorithm. IEEE Trans. Inf. Theory 2001, 47, 498–519. [Google Scholar] [CrossRef] [Green Version]
- Fan, S.; Zhang, Y.; Yu, C.; Zhu, M.; Yu, F. An Advanced Cooperative Positioning Algorithm Based on Improved Factor Graph and Sum-Product Theory for Multiple AUVs. IEEE Access 2019, 7, 67006–67017. [Google Scholar] [CrossRef]
- Sun, Q.; Tian, Y.; Diao, M. Cooperative Localization Algorithm Based on Hybrid Topology Architecture for Multiple Mobile Robot System. IEEE Internet Things J. 2018, 5, 4753–4763. [Google Scholar] [CrossRef]
- Zhang, L.; Tang, C.; Chen, P.; Zhang, Y. Gaussian Parameterized Information Aided Distributed Cooperative Underwater Positioning Algorithm. IEEE Access 2020, 8, 64634–64645. [Google Scholar] [CrossRef]
- Xu, J.; Yang, G.; Sun, Y.; Picek, S. A Multi-Sensor Information Fusion Method Based on Factor Graph for Integrated Navigation System. IEEE Access 2021, 9, 12044–12054. [Google Scholar] [CrossRef]
- Yuan, W.; Wu, N.; Guo, Q.; Huang, X.; Li, Y.; Hanzo, L. TOA-Based Passive Localization Constructed Over Factor Graphs: A Unified Framework. IEEE Trans. Commun. 2019, 67, 6952–6965. [Google Scholar] [CrossRef] [Green Version]
- Qin, H.D.; Yu, X.; Zhu, Z.B.; Deng, Z.C. A variational bayesian approximation based adaptive single transponder navigation method with unknown ESV. Ocean Eng. 2020, 209, 107484. [Google Scholar] [CrossRef]
- Kim, J. Cooperative Localization and Unknown Currents Estimation Using Multiple Autonomous Underwater Vehicles. IEEE Robot. Autom. Lett. 2020, 5, 2365–2371. [Google Scholar] [CrossRef]
- Yan, J.; Guo, D.; Luo, X.; Guan, X. AUV-Aided Localization for Underwater Acoustic Sensor Networks with Current Field Estimation. IEEE Trans. Veh. Technol. 2020, 69, 8855–8870. [Google Scholar] [CrossRef]
- Chen, B.; Xing, L.; Zhao, H.; Zheng, N.; Principe, J.C. Generalized Correntropy for Robust Adaptive Filtering. IEEE Trans. Signal Process. 2016, 64, 3376–3387. [Google Scholar] [CrossRef] [Green Version]
- Zhu, Y.; Zhao, H.; Zeng, X.; Chen, B. Robust Generalized Maximum Correntropy Criterion Algorithms for Active Noise Control. IEEE/ACM Trans. Audio Speech Lang. Process. 2020, 28, 1282–1292. [Google Scholar] [CrossRef]
- Thomson, D.J.M.; Dosso, S.E.; Barclay, D.R. Modeling AUV Localization Error in a Long Baseline Acoustic Positioning System. IEEE J. Ocean. Eng. 2018, 43, 955–968. [Google Scholar] [CrossRef]
- Li, X.; Lu, B.; Ali, W.; Jin, H. Passive Tracking of Multiple Underwater Targets in Incomplete Detection and Clutter Environment. Entropy 2021, 23, 1082. [Google Scholar] [CrossRef] [PubMed]
- Yang, Y.; Song, L.; Xu, T. Robust estimator for correlated observations based on bifactor equivalent weights. J. Geod. 2002, 76, 353–358. [Google Scholar] [CrossRef]










Publisher’s Note: MDPI stays neutral with regard to jurisdictional claims in published maps and institutional affiliations. |
© 2021 by the authors. Licensee MDPI, Basel, Switzerland. This article is an open access article distributed under the terms and conditions of the Creative Commons Attribution (CC BY) license (https://creativecommons.org/licenses/by/4.0/).
Share and Cite
Zhao, W.; Zhao, H.; Zou, D.; Liu, L. A Novel Factor Graph and Cubature Kalman Filter Integrated Algorithm for Single-Transponder-Aided Cooperative Localization. Entropy 2021, 23, 1244. https://doi.org/10.3390/e23101244
Zhao W, Zhao H, Zou D, Liu L. A Novel Factor Graph and Cubature Kalman Filter Integrated Algorithm for Single-Transponder-Aided Cooperative Localization. Entropy. 2021; 23(10):1244. https://doi.org/10.3390/e23101244
Chicago/Turabian StyleZhao, Wanlong, Huifeng Zhao, Deyue Zou, and Lu Liu. 2021. "A Novel Factor Graph and Cubature Kalman Filter Integrated Algorithm for Single-Transponder-Aided Cooperative Localization" Entropy 23, no. 10: 1244. https://doi.org/10.3390/e23101244
APA StyleZhao, W., Zhao, H., Zou, D., & Liu, L. (2021). A Novel Factor Graph and Cubature Kalman Filter Integrated Algorithm for Single-Transponder-Aided Cooperative Localization. Entropy, 23(10), 1244. https://doi.org/10.3390/e23101244

