Abstract
In this paper, we study the evolution of a Finitary Random Interlacement (FRI) with respect to the expected length of each fiber. In contrast to the previously proved phase transition between sufficiently large and small fiber length, for all , FRI is NOT stochastically monotone as fiber length increases. At the same time, numerical evidence still strongly supports the existence and uniqueness of a critical fiber length, which is estimated theoretically and numerically to be an inversely proportional function with respect to system intensity.
1. Introduction
Phase transition, which qualitatively characterizes the change in the state of a system under a continuous change in an external parameter, is ubiquitously found in probabilistic models and statistical mechanics. In this paper, we investigate the phase transitions in the Finitary Random Interlacement (FRI) introduced by Bowen in his study on Gaboriau–Lyons problem [1]. In contrast to its profound connection with the von Neumann–Day problem, a relatively simple description of FRI is given by Bowen in [1] as follows: Consider a random network in . For each vertex , there lives frogs, where is a Poisson random variable with mean , is the degree of x and are two positive parameters. Each frog has a coin that lands on head with probability . At time , the frog flips the coin. If it lands on heads, the frog moves to a random neighboring vertex with equal probability. It repeats this operation until the coin lands on tails, at which point the frog stops forever. The FRI is the random multiset of random walk paths of all frogs. It is worth noting that u gives a natural parameterization of the ”vertex intensity“ of the FRI, as it is proportional to the expected number of vertices visited by all frogs starting from each given point.
Since each path consists of a simple random walk for t steps and a geometric random variable with mean at steps, a FRI can be roughly treated as a random network in “interlaced” by fibers made of geometrically truncated simple random walk (SRW) trajectories, with a multiplicative parameter u controlling its Poisson intensity and truncation parameter T that determines the expected length of each fiber. As pointed out by an anonymous referee (of a previous paper), an FRI can also be described as a variant of the Random Interlacement (RI) [2] in with weight [3], determined by capacity with a discrete killing measure [4]. See Section 2 for more precise definitions and constructions for FRI.
In the following, we denote by the FRI in with multiplicative parameter u and truncation parameter T, which is the collection of edges traversed by ”fibers“ in a Poisson point process. See Section 2.1 for details. A key character of the FRI is percolation property, i.e., the existence and uniqueness of an infinite cluster within . In contrast to RI, where almost surely percolates for all d and , FRI has been proved in [5] to have the following phase transition as an edge percolation model:
- Supercritical phase (Theorem 1, [5]): for all and , there is a such that for all , almost surely percolates.
- Subcritical phase (Theorem 2, [5]): for all and , there is a such that for all , has no infinite cluster almost surely.
Intuitively, the percolation can be visualized by running one realization under different parameters and plotting the first and second largest clusters restricted in a finite box . Two small clusters in Figure 1a, that corresponds to , provide some evidence that no infinite cluster exists, while a huge cluster along with a smaller cluster in Figure 1d that corresponds to indicates that there may exist only one infinite cluster. One can see that the phase transition may occur near , in which the first and second largest clusters are almost of the same size. The dominance of the first largest cluster can be apparently observed as T becomes larger, e.g., .
Figure 1.
Illustrations of Finitary Random Interlacement (FRI) truncated in a box : The first and second largest clusters under and different parameter T’s. The sub- and supercritical phases are demonstrated under and , respectively. The simulations under and provide some evidence on the percolation phase transition. (a) T = 1.4; (b) T = 1.8; (c) T = 2.0; (d) T = 2.2.
Moreover, a follow-up work [6] proved recently that for all and , there is a such that for all , the chemical distance on is asymptotically of the same order as the Euclidean distance. Reference [6] further proves that FRI has local uniqueness property for all sufficiently large T. See [7] for precise definitions for chemical distance and local uniqueness. However, since may be nonmonotonic with respect to T, the existence of a subcritical and a supercritical phase is insufficient to guarantee a critical value in between. It is conjectured in [5] that there is a unique critical value such that percolates when and has no infinite cluster almost surely when .
The percolation phase transition is closely related to the trade-off mechanism with respect to the parameter T: As T increases, there will be on average fewer and fewer fibers starting from each vertex. In compensation however, the length of each remaining fiber increases proportionally to T, so that we are less likely to see the start or end of any fiber locally. In fact, as , an FRI increasingly resembles the limiting model (which is the classical RI itself) where all fibers are doubly infinite SRW trajectories. It has been proved in [1] that under the weak-* topology. With the observation above, it is natural to ask how the FRI, as a random collection of edges, evolves with respect to T, or more specifically, whether or not it has stochastic monotonicity [5].
Like random interlacement, FRI is by definition monotonically increasing with respect to its intensity u. In contrast, it is shown in the paper that for all , the set of edges covered by an is NOT stochastically monotone in T for . This reveals that the evolution of FRI with respect to T might be more nontrivial than previously thought, and makes the characterization of the phase diagram of T a more interesting question.
The nonmonotonicity of FRI casts shadows on the conjecture of existence and uniqueness of critical value . A large-scale parallel computing algorithm is employed to explore the behavior of FRI when the fiber length factor T changes in the interval . Our numerical findings strongly suggest that, although no longer monotonic, for any , still has a unique critical value of percolation. For the shape of the phase diagram, we prove that has to be the correct asymptotic order of as , given that the critical value exists; i.e., we find that there are , such that for all sufficiently large u
- has no infinite cluster for all ;
- has a unique infinite cluster for all .
Moreover, for all small u, we prove that has a polynomial upper bound with respect to u such that for all
- when , ;
- when , .
At the same time, our numerical tests also indicate that the phase diagram is inversely proportional to u.
The rest of this paper is outlined as follows: in Section 2, we recall the precise definition of FRI, together with some important notations and constructions crucial for our theoretical and numerical discussions; in Section 3 we discuss the nonmonotonicity of the edge set of FRI; in Section 4, we discuss theoretical results about characterization of of phase diagram; our numerical explorations on the phase diagram are presented in Section 5.
2. Definitions and Notations
In this section, we recall the precise definition of FRI, together with some important notations and constructions in [1,5,6]. We start with some standard notations for simple random walks. Without causing further confusion, we will use to denote both vertices and (the nearest neighbor) edges in the dimensional lattice throughout this paper. Then, for a subgraph , we call it connected if any can be connected by a collection of edges in E. For , let satisfy , . Denote the edges and by and . Note that form the basis of . For any subset of vertices , let
be the inner and outer boundary of A. We let be the box in centered at x of radius n, i.e.,
Moreover, we abbreviate by .
In this paper, we denote by a simple random walk (SRW) in starting from , with its distribution denoted by . Note that for any integer , the SRW trajectory naturally induces a collection of edges . Moreover, for any , let be a geometric random variable with which is independent to . Then we call a geometrically killed SRW with parameter T, and denote its distribution by with the convention .
Moreover, we denote by
the first hitting and first returning times to A, with the convention .
Remark 1.
It is worth noting that when .
For a finite subset A and vertex , define the killed escape probability
together with the killed equilibrium measure
and the killed capacity
We also abbreviate , , , , and to , , , , and , respectively, when .
Remark 2.
Factor in the killed equilibrium measure is added for technical reasons to make FRI converge to RI with the same intensity as . See [1] for details.
It is worth noting that for ,
2.1. Definition of FRI
According to [5], there are two equivalent definitions of the Poisson point process corresponding to FRI. Denote the set of all finite paths on by . Since is countable, the measure is a finite measure on .
Definition 1.
For , the finitary random interlacements is a Poisson point process on with intensity measure . The law of is denoted by .
Definition 2.
For each site , is a Poisson random variable with parameter . Start independent geometrically killed simple random walks starting at x with killing rate . Then, one may equivalently define as a point measure on composed of all the trajectories above from all sites in .
With the Poisson point process defined as above, we define as the collection of all edges traversed by , which is a random subset of edges in .
2.2. Configurations within a Finite Set
In fact, given a finite set , the distribution of FRI within K can be described precisely. By Lemma 2.2 of [5], if we start independent random walks with distribution for any (denote all these trajectories by ), then has the same distribution as .
2.3. Stochastic Dominance and Monotonicity
A sufficient condition for the existence of the critical value is the stochastic monotonicity with respect to T. More precisely, if for any there is a coupling between and such that almost surely, then must exist. Therefore, we need the concept of stochastic dominance to describe the existence of the coupling.
Definition 3
(Definition 2.1, Chapter 2 of [8]). Assume that X is a compact metric space with a given partial order. Say a function f on X is monotone if for any , . Then, for two probability measures on X, say stochastically dominates (written by ) if and only if for any monotone function f on X,
By Theorem 2.4 in the Chapter 2 of [8], we know that the coupling mentioned above exists if and only if .
3. Nonmonotonicity and Single Edge Density
In this section, we first show that unlike the Random Interlacement, an FRI is not stochastically monotone in T for all and . The following proof was taught to us by an anonymous referee. Recalling the definition of stochastic monotonicity, to prove/disprove for all , it is equivalent to verify whether or not for all monotonically increasing functions on , one always has
In particular, we can first take the test function as the very simple form as follows: for each integer , define
i.e., stands for the event where at least one edge in E traverses .
Theorem 1.
For any , , FRI does not have stochastic monotonicity with respect to T.
Proof.
Recalling the definition of , one may define
to be the event that the FRI fails to intersect . It now suffices to prove that for any and there exists and such that
Thus, we only need to show that
□
The proof of (6) is based on the following well-known estimate on the capacity of a box:
Lemma 1
(Proposition in [9]). There are constants such that for all ,
Note that , then, there is a such that . At the same time, by (4)
With Theorem 1, one may also consider the evolution of the FRI density for varying T’s. Let and thus the ”single edge density“
gives the probability that any single (undirected) edge is traversed by the FRI. By translation invariance, is proportional to the expectation of the number of edges traversed by FRI within a given set. The following proposition shows that the density of and FRI is not monotone in T for , but becomes monotonically increasing for higher dimensions.
Proposition 1.
For any , . Moreover, there are and such that
- for any , for all ;
- for , for all ;
- there exists such that for all and .
Remark 3.
As a direct corollary of Theorem 1 and Proposition 1, one may see that, for sufficiently large d, FRI is not monotone as well with respect to its edge density. We expect this should also hold for all .
Before presenting the proof of Proposition 1, we first cite the following useful result directly from Exercise 11.1 [9] on the expected length of excursion given a SRW that returns to where it starts.
Lemma 2
(from Exercise 11.1, [9]). Suppose and is a simple random walk in with and let . Then,
In particular,
We also need a ”high dimensional“ version of Lemma 2. The main technicalities involved in the proof are asymptotic estimates for high-dimensional SRW’s, which are not directly related to the main scope of this paper, so we leave it in Appendix A.
Lemma 3.
For , let
Then, .
Now we are able to prove Proposition 1.
Proof of Proposition 1.
We denote the event by F and then calculate . First, we need to calculate and . Denote that and . We have
In the same way, we have
Therefore,
In the same way, we have
Therefore,
Restricted on , there are independent trajectories starting from 0 and trajectories starting from 1. Note that , we have
Let and . We have
Therefore, .
Note that , , and , we have
Similar to Lemma 2, for , . Then, we have
Note that , we know that such that ,
For , it is fundamental to construct a coupling between SRWs on and such that . Thus,
By Lemma 3, there exists such that for any and ,
Recall that , then the proof is complete. □
Remark 4.
Though it is true that Lemma 2 as stated is for the expected time of returning to 0 rather than to , the result and proof are exactly parallel for returning to any finite subset. So, we decide to cite [9] rather than repeat the proof.
Remark 5.
Note that Proposition 1 gives an alternative proof for nonmonotonicity when .
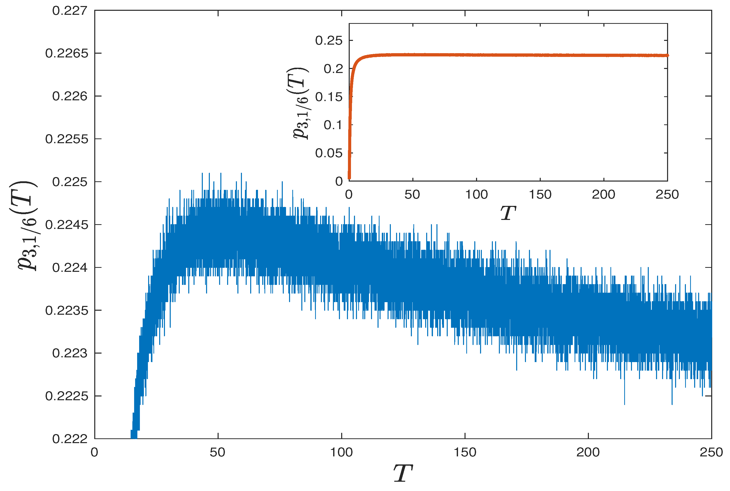
In addition to the aforementioned theoretical proof, the low-dimensional nonmonotonicity can also be verified in numerical simulation. In Figure 2, we present numerical approximations of and achieved from i.i.d. stochastic realizations.
Figure 2.
Numerical approximations to and by i.i.d. stochastic realizations.
In Figure 2, a significant difference between the blue and red curves is observed. With i.i.d. stochastic realizations, we have the frequencies
So, their standard deviations can be bounded from above by . However, the difference between our approximations is about , which is larger than 4 times the upper bound of standard deviation. In Figure 3, we numerically approximate the single edge density for different T with spacing , and each point is evaluated by i.i.d. stochastic realizations. In spite of some stochastic fluctuations, the trend of nonmonotonicity is clear and the probability seems to reach maximum at .
Figure 3.
Numerical approximations for with spacing . Each point is evaluated by i.i.d. stochastic realizations. The probability seems to be nonmonotonic and reaches its maximum at about .
4. Characterization of Phase Diagram
In this section, we focus on the (potential) phase diagram of edge percolation in FRI. We start with proving the uniqueness of infinite cluster in FRI by the classical “finite energy” argument. We put technical details of the proof in Appendix B.
Theorem 2.
For any and ,
Remark 6.
Theorem 2 is similar to, though slightly stronger than, Theorem 4 [5], where the uniqueness was proved for sufficiently large T’s.
Theorem 3.
For all and FRI , we have the following:
- If has an infinite cluster almost surely, then so does for all .
- (Theorem 1, [5]) For all , there is a such that for all , almost surely percolates.
- Let be the critical edge density for dimensional Bernoulli bond percolation. For any , there exist some such that percolates almost surely for . Moreover, for any fixed d, as .
- For any , there is , such that for all , percolates almost surely for all .
- For any and , there exists constant such that
- (a)
- when , , , almost surely percolates;
- (b)
- when , , , almost surely percolates.
Remark 7.
A statement equivalent to Claim (iii) Theorem 3 has also been proved in 5), Remark V.5.3, [10].
Proof.
Note that by Theorem 2, one may focus only on the existence of infinite cluster.
Claim (i) is an immediate result of the monotonicity of with respect to u. For Claim (iii) and (iv), the key idea is to bound from below by a supercritical Bernoulli percolation. Without loss of generality, one may first consider vertex 0, edge , and the collection of fibers with length that start from 0 and traverse in their first jump. We denote the number of such paths by . Recalling the definition of , there are fibers starting from 0. While for each of them, the probability it has length at least 1 is , and the probability it takes in the first step is . Thus, by the thinning property of Poisson distribution, we have
Similarly, one can define to be the number of fibers that start from and traverse in their first jump. By independent increment property of PPP, is independent and identically distributed as . Define the event as
Moreover, for any edge , one can also define in the exact same way. Thus, form a i.i.d. sequence of . Once again, define
Thus, the collection of good edges by definition forms a Bernoulli bond percolation with single edge density
which percolates when
Therefore, for any , we take , where . Note that a good edge is by definition always traversed by the FRI. Claim (iii) is now a direct result of (25), the fact that reaches its maximum of at , and that as .
Now, for (iv), note that for a fixed u, say , by Theorem 1 [5], there is a such that for all , has an infinite cluster almost surely. With Claim (i), we now know this also holds for all . In (iii), we showed that . Thus, there is always a such that for all . Thus, we have an infinite cluster almost surely for all T from all the way to infinity.
The proof of (v) is based on some more careful controls of exponents in constructing the infinite cluster in [5]. As it is redundant to repeat the shared part of our construction in full details, we just point out modifications and estimates necessary to our proof here. Note that it is sufficient to prove for .
To be specific, let be any sufficiently small positive constant and , . By [5], we know that it is sufficient to prove the following three events happen with sufficiently high probability (i.e., larger than for some given ), corresponding to the conditions 1–3 introduced in Definition 3 of [5]:
- Assume that is the union of two independent FRI copies and (by the property of Poisson point processes). For any box , there exists a connected cluster in traversing and . We denote this event by E.
- For any such that and two connected clusters and (containing x and y, respectively) in , if , , and , then and are connected by within . We denote this event by F.
- There is no path starting from and intersecting . In addition, for , there is no path starting from and intersecting , and no path starting from and intersecting . We denote this event by G.
□
First, for event E, we need an estimate for the capacity of trajectories of several simple random walks.
Lemma 4
(Lemma 5, [11]). Let be a sequence of independent simple random walks on and . Then,
where
By Lemma 4 and the same approach mentioned in the proof of Lemma 6 [11], we can get a stronger version of Lemma 6 [11]:
When , note that the number of paths traversing with length at least T is a Poisson random variable with parameter . By the large deviation bound for Poisson distribution, the probability of the event that there exists one path traversing with length at least T is larger than . Take in (26), then, we have
When , we do the same construction in Section 4.3 of [5] by using the paths in with length at least T (note that we will use (26) for times but not only times, where ). Similarly, by (26) and large deviation bound for Poisson distribution, we have
Meanwhile, by Lemma 8 of [11], we can ensure that the connected cluster mentioned above is contained by with a probability of at least for some . In conclusion, for ,
and for ,
For F, by Lemma 3.4 of [12], we have that there exists constants such that
For event G, for any , since , we have
For the remaining subevents of G, the estimates are similar. In conclusion,
Finally, by (29), (30), (32), and (34), it is elementary to check that when is large enough, events E, F, and G all happen with sufficiently high probability.
At the same time, we also have the following result on the subcritical phase when u is large. This, together with Claim (iv) of Theorem 3, characterize the asymptotic order of the phase diagram.
Proposition 2.
For , there exists and such that for any and , does not have an infinite cluster almost surely.
Proof.
This proposition is a direct corollary of the proof of Theorem 2 [5]. By Section 7 of [5], it has been proved that for any , does not have an infinite cluster a.s. if satisfies the following two conditions:
- ;
For condition 2, it is sufficient to have
Note that . In order to have , we only need
In conclusion, if we take and , then condition 1, 2 hold for any and . □
5. Numerical Exploration on Phase Transition
The previous section provides (partial) characterizations on the super and subcritical phases of FRI, while it remains unknown whether there is a unique critical value such that FRI almost surely percolates when and has no infinite cluster when . In this section, we make numerical explorations towards this direction. The general guidelines behind criteria of numerical tests in this section are mostly inspired by [13,14].
In order to investigate the existence and uniqueness of , we develop the following parallel computing algorithm in order to efficiently sample the configuration within a large box in of size N, with data transferred within up to 80 cores via the Message Passing Interface (MPI). In Section 4.1 of [5], it has been shown that we can sample the configuration of FRI restricted within an infinite set K by Algorithm 1:
| Algorithm 1 Finitary Random Interlacement. |
|
Since is identically distributed as the collections of all fibers in which traverse K, we have that . Using the aforementioned algorithm, one can naturally look at the size (in either cardinality or diameter) of the largest connected component within a large box in of size N, say . In the supercritical phase, there should be a macroscopic largest connected component within , since it should, with high probability, be the largest cluster in the intersection(s) between the infinite cluster and our box. Meanwhile, in the subcritical phase, the largest connected component should be microscopic with respect to N. See Figure 1a for illustration. In Figure 4, we present stochastic simulation results on the cardinality and maximal diameter of the FRI’s largest connected components within , for , , and various T’s, under only one realization. In order to manifest the phase transition more clearly, we choose different ranges of T under different u. Although the curves are not smooth due to some random fluctuations and size effects, numerical evidences seem to strongly support the existence and uniqueness of , which seems to be smaller as u becomes larger.
Figure 4.
Stochastic simulations on the sizes (left, in logarithm scale) and maximal diameters (right) of FRI largest connected components. Phase transitions are clearly observed for different u. (a) u = 0.1; (b) u = 0.2; (c) u = 0.5.
Figure 4 strongly supports the existence of a unique critical fiber length, at least for the u’s we chose. This encourages us to extend the test for all combinations of ’s within an appropriate grid with , . Noting that the computational cost grows as , we need to work on a smaller . In order to avoid the extra randomness due to the smaller box size, we run 100 i.i.d. FRI copies for each combination of and approximate the expected size of the largest cluster. Results shown in Figure 5 indicate that the existence and uniqueness of critical fiber length seem to hold for all u’s.
Figure 5.
Illustration for the existence of phase diagram of FRI largest connected components. Each point is obtained by the averaging of 100 i.i.d FRIs. (a) Cardinality of connected components (in log10 scale); (b) maximal diameter.
Based on the aforementioned numerical evidences, we propose the following conjecture:
Conjecture 1.
For alland, there is asuch that for
- There is a.s. no infinite cluster for all.
- There is a.s. a unique infinite cluster for all.
Remark 8.
Part of Conjecture 1 is also briefly mentioned in a revised version of [5] without further study on (non)monotonicity or numerical evidences.
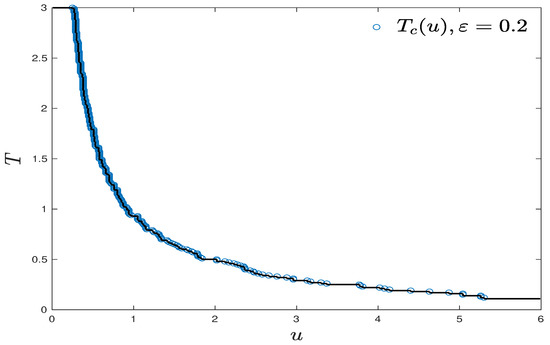
If we for now accept the existence of critical value in the conjecture above, we then explore the shape and asymptotic of the curve of . With the help of monotonicity over u (Claim (i) Theorem 3), we use the following hill climbing algorithm (Algorithm 2) and record the ascending path , with small spacing , , , . This algorithm significantly reduces the numerical costs in finding the boundary of phase transitions (as shown in Figure 6).
Figure 6.
A more precise estimation of the curve of via the hill climbing algorithm, .
A linear regression on (marked by circle), with is shown in Figure 7a. In addition, linear regression on in Figure 7b seems to indicate that the exponent in the upper bound of in Claim (v) Theorem 3 is close to 1. This observation together with the theoretical findings in Theorem 3 and Proposition 2 motivates us to propose the following conjecture:
Figure 7.
Linear regression on (in logarithm scale) and , . (a) Linear regression (in log10 scale); (b) .
Conjecture 2.
For all,
| Algorithm 2 Hill climbing algorithm. |
Input: The box size N, A sufficiently small initial , a sufficiently large initial , spacings and and a threshold .
Output: The path |
- there is a constantsuch that;
- Since it is very unlikely for a fiber to run more than one step when T is small, we conjecture that the upper bound ofin Claim (iv) Theorem 3 is sharp, i.e.,
Remark 9.
It is worth noting that, as a result of the finite size effect of box size N, the estimated slope in linear regression under logarithm scale can be sensitive with respect to ϵ. We found in simulation that slope equals to when , when , when , when , and when . Recalling the theoretical upper bound of in Claim (iv) Theorem 3, and lower bound in Proposition 2, it is not hard to prove that slopes converge to , as for all . So, for , it seems the phase diagram has best precision when . Thus, we plot under this setting and find that the slope in linear regression is , which is very close to theoretical value 1. Here, we only use 112 points for linear regression and the remaining 9 points seem to deviate from the line. The possible reason is that is very small for large u and thus might not be precisely captured.
Author Contributions
Conceptualization, Z.C., Y.X., and Y.Z.; formal analysis, Z.C. and Y.Z.; methodology, Z.C. and Y.Z.; software, Y.X. and Y.Z.; supervision, Y.Z.; visualization, Y.X.; writing — original draft, Z.C., Y.X., and Y.Z.; writing — review & editing, Z.C., Y.X., and Y.Z. All authors have read and agreed to the published version of the manuscript.
Funding
This research was funded by Beijing Academy of Artificial Intelligence(BAAI), China Postdoctoral Science Foundation: Nos. 2020TQ0011.
Acknowledgments
The authors would like to thank anonymous referee(s) for their valuable comments and questions that definitely help improving this paper, especially in teaching us a nice and easy proof of non-monotoncity for all . The authors would like to thank Xinxin Chen, and Hui He, Xinyi Li, Eviatar. B. Procaccia, and Hao Wu for fruitful discussions. This work has been partially supported by Beijing Academy of Artificial Intelligence(BAAI). Y. Xiong is partially supported by the Project funded by China Postdoctoral Science Foundation (Nos. 2020TQ0011). All the simulations performed via our own Fortran implementations run on the computing platform: 2*Intel Xeon Gold 6148 CPU (2.40 GHz, 27.5 MB Cache, 40 Cores, 80 Threads) with 512 GB Memory. The authors would like to sincerely thank Pingwen Zhang for allowing us accessing the computational resources of his team. This greatly accelerates our numerical simulation.
Conflicts of Interest
The authors declare no conflict of interest.
Appendix A. Proof of Lemma 3
In the following arguments, we need a more precise construction of SRW on : For , let be an i.i.d. sequence of random variables with distribution . Then, forms d independent copies of 1-dimension SRW’s. We also define an i.i.d. sequence of random variables with distribution , . Then, is an SRW on .
Before we prove Lemma 3, there are some preparations.
Lemma A1.
For any , consider a stopping time , where and for . Then, there exists such that for any sufficiently large ,
Proof.
By the invariance principle, we have for any ,
where is a Brownian Motion starting from 0. Therefore, there exists such that for all sufficient large ,
Obviously, since , there must exist such that
. By (A3) and symmetry, we have
□
Lemma A2.
There exists (c is independent to d) such that for any and any such that , ,
Proof.
Without loss of generality, we assume that . Then, we define , and , where .
We define a stopping time . It is easy to see that . By Proposition 6.5.1 of [9], we have
□
Now, we are able to prove Lemma 3.
Proof of Lemma 3.
Since for any integer , we have
By symmetry, we have for any ,
By the corollary of (1.14) in [15], there exists such that for all sufficient large d,
Note that and . By (A10), we have
Therefore, for the first and second term on the RHS of (A9), we have
For the last term on the RHS of (A9), by Lemma A1, Lemma A2, and the strong Markov property, we have
Since the RHS of (A14) converges to 0 as , we finally get . □
Appendix B. Proof of Theorem 2
By Theorem 12.2 of [16] and the remark about ”finite energy“ in it, in order to prove that , , , (note that is considered as a bond percolation on here) has one infinite cluster at most almost surely, it is sufficient to confirm two conditions:
- is translation invariant;
- has insertion tolerance and deletion tolerance.
For FRI, translation invariance is an elementary property, so we just focus on insertion tolerance and deletion tolerance. The precise definitions are stated here.
Definition A1
(Definition 3.2, [17]).
- (insertion tolerance) Let be the set of all edges in . For any event and any edge , define a mapping : . Say a bond percolation (its law is denoted by P) has insertion tolerance if ∀ event , ,
- (deletion tolerance) Let : . Then, say a bond percolation with law P has deletion tolerance if ∀ event , ,
Appendix B.1. Insertion Tolerance
By translation invariance, it is sufficient to prove for , where .
We have the canonical mapping : , where for any . Then, we have . Without causing confusion, for any collection I of paths in , I can be regarded as a point measure, so we also define in the same way.
For any event such that , then we have or . If , then . Note that , we have .
Meanwhile, if and , let . Denote by the collection of all paths with first step and by the collection of paths starting from and the paths starting from whose first steps are not . By definition of and property of Poisson distribution, we know that and are independent. Note that for any , we have , . Therefore,
Let and then we have . Thus,
Therefore,
In conclusion, , which means has insertion tolerance.
Appendix B.2. Deletion Tolerance
Similarly, if , then
On the other hand, if , let . Denote the collection of all paths traversing by and the number of paths in by . Then, there exists such that
Since is countable, there exists such that
Let . By (A19), there exists a fixed trajectory of the set of all paths starting from D (note that ) such that
where is the collection of all paths starting from D in and for any such that only finite edges are open (denote them by ), .
Since the paths starting from D and are independent and the event , we have
We define a mapping : for any , if , set ; if , assume that if and only if , then , where and for , , .
Denote that . Note that
Therefore,
In conclusion, has deletion tolerance. By all the arguments above, the proof of Theorem 2 is completed.
References
- Bowen, L. Finitary random interlacements and the Gaboriau–Lyons problem. Geom. Funct. Anal. 2019, 29, 659–689. [Google Scholar] [CrossRef]
- Sznitman, A.S. Vacant Set of Random Interlacements and Percolation. Ann. Math. 2009, 171, 2039–2087. [Google Scholar] [CrossRef]
- Sznitman, A.S. Topics in Occupation Times and Gaussian Free Fields; European Mathematical Society: Zurich, Switzerland, 2012; Volume 16. [Google Scholar]
- Teixeira, A. Interlacement percolation on transient weighted graphs. Electr. J. Probab. 2009, 14, 1604–1627. [Google Scholar] [CrossRef]
- Procaccia, E.B.; Ye, J.; Zhang, Y. Percolation for the Finitary Random interlacements. arXiv 2019, arXiv:1908.01954. [Google Scholar]
- Cai, Z.; Han, X.; Ye, J.; Zhang, Y. On Chemical Distance and Local Uniqueness of a Sufficiently Supercritical Finitary Random Interlacement. arXiv 2020, arXiv:2009.04044. [Google Scholar]
- Drewitz, A.; Ráth, B.; Sapozhnikov, A. On chemical distances and shape theorems in percolation models with long-range correlations. J. Math. Phys. 2014, 55, 083307. [Google Scholar] [CrossRef]
- Liggett, T.M. Interacting Particle Systems; Springer Science & Business Media: Berlin/Heidelberg, Germany, 2012; Volume 276. [Google Scholar]
- Lawler, G.F.; Limic, V. Random Walk: A Modern Introduction; Cambridge University Press: Cambridge, UK, 2010; Volume 123. [Google Scholar]
- Prévost, A.D.M. Percolation for the Gaussian Free Field and Random Interlacements via the Cable System. Ph.D. Thesis, Universität zu Köln, Köln, Germany, 2020. [Google Scholar]
- Ráth, B.; Sapozhnikov, A. On the transience of random interlacements. Electr. Commun. Probab. 2011, 16, 379–391. [Google Scholar] [CrossRef]
- Černỳ, J.; Popov, S. On the internal distance in the interlacement set. Electr. J. Probab. 2012, 17, 29. [Google Scholar] [CrossRef]
- Grimmett, G. Percolation. In Grundlehren der Mathematischen Wissenschaften [Fundamental Principles of Mathematical Sciences], 2nd ed.; Springer: Berlin/Heidelberg, Germany, 1999; Volume 321, p. xiv+444. [Google Scholar] [CrossRef]
- Teixeira, A.; Windisch, D. On the fragmentation of a torus by random walk. Commun. Pure Appl. Math. 2011, 64, 1599–1646. [Google Scholar] [CrossRef]
- Griffeath, D. The binary contact path process. Ann. Probab. 1983, 11, 692–705. [Google Scholar] [CrossRef]
- Häggström, O.; Jonasson, J. Uniqueness and non-uniqueness in percolation theory. Probab. Surv. 2006, 3, 289–344. [Google Scholar] [CrossRef]
- Lyons, R.; Schramm, O. Indistinguishability of percolation clusters. In Selected Works of Oded Schramm; Springer: Berlin/Heidelberg, Germany, 2011; pp. 701–728. [Google Scholar]
Publisher’s Note: MDPI stays neutral with regard to jurisdictional claims in published maps and institutional affiliations. |
© 2021 by the authors. Licensee MDPI, Basel, Switzerland. This article is an open access article distributed under the terms and conditions of the Creative Commons Attribution (CC BY) license (http://creativecommons.org/licenses/by/4.0/).






