Pseudo-Yang-Lee Edge Singularity Critical Behavior in a Non-Hermitian Ising Model
Abstract
1. Introduction
2. The Non-Hermitian Ising Model and Order Parameter
3. Pseudo-YLES Critical Behaviors
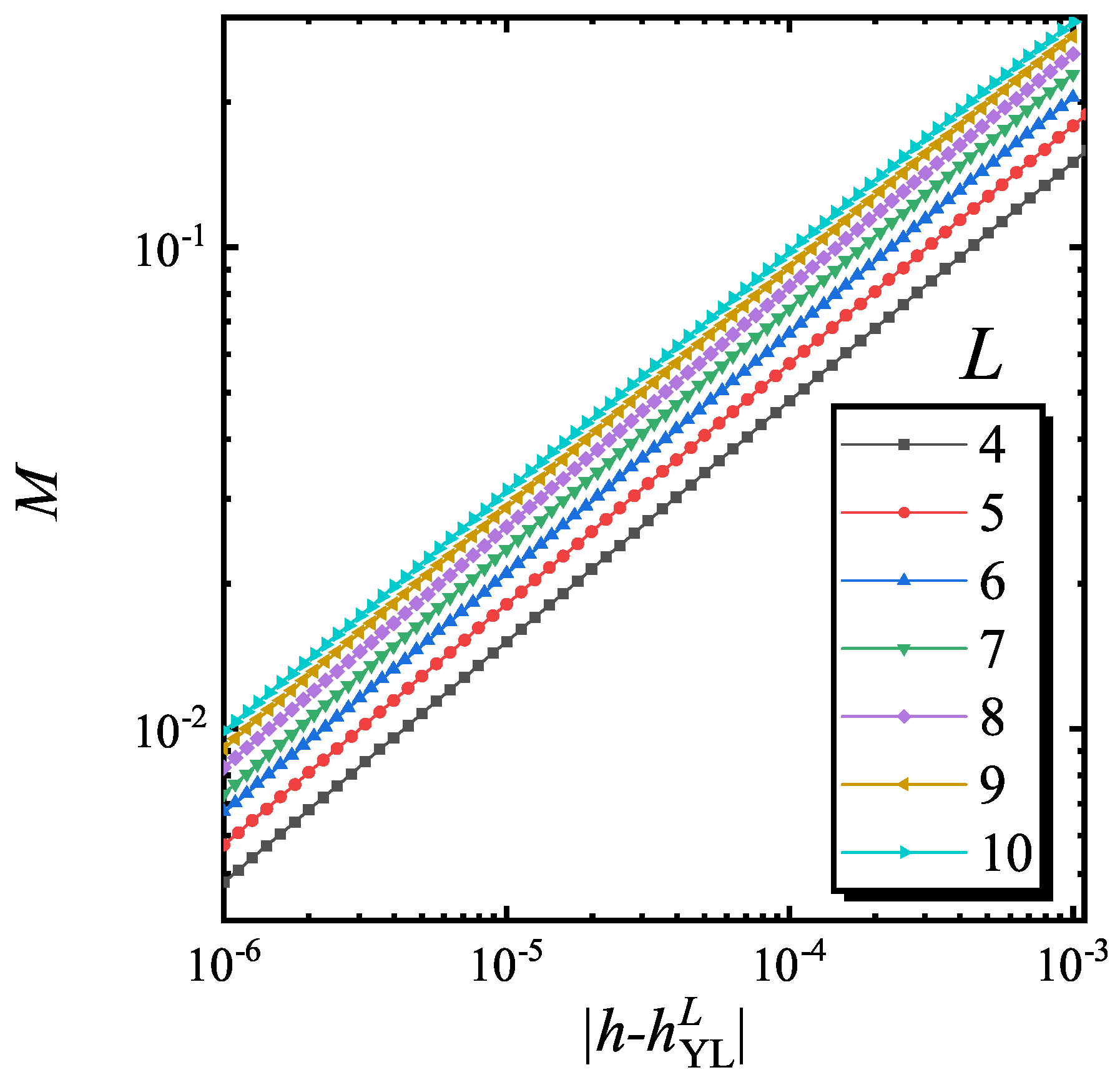
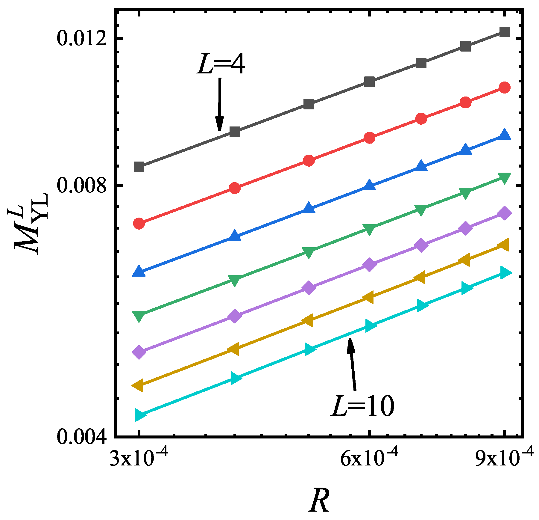
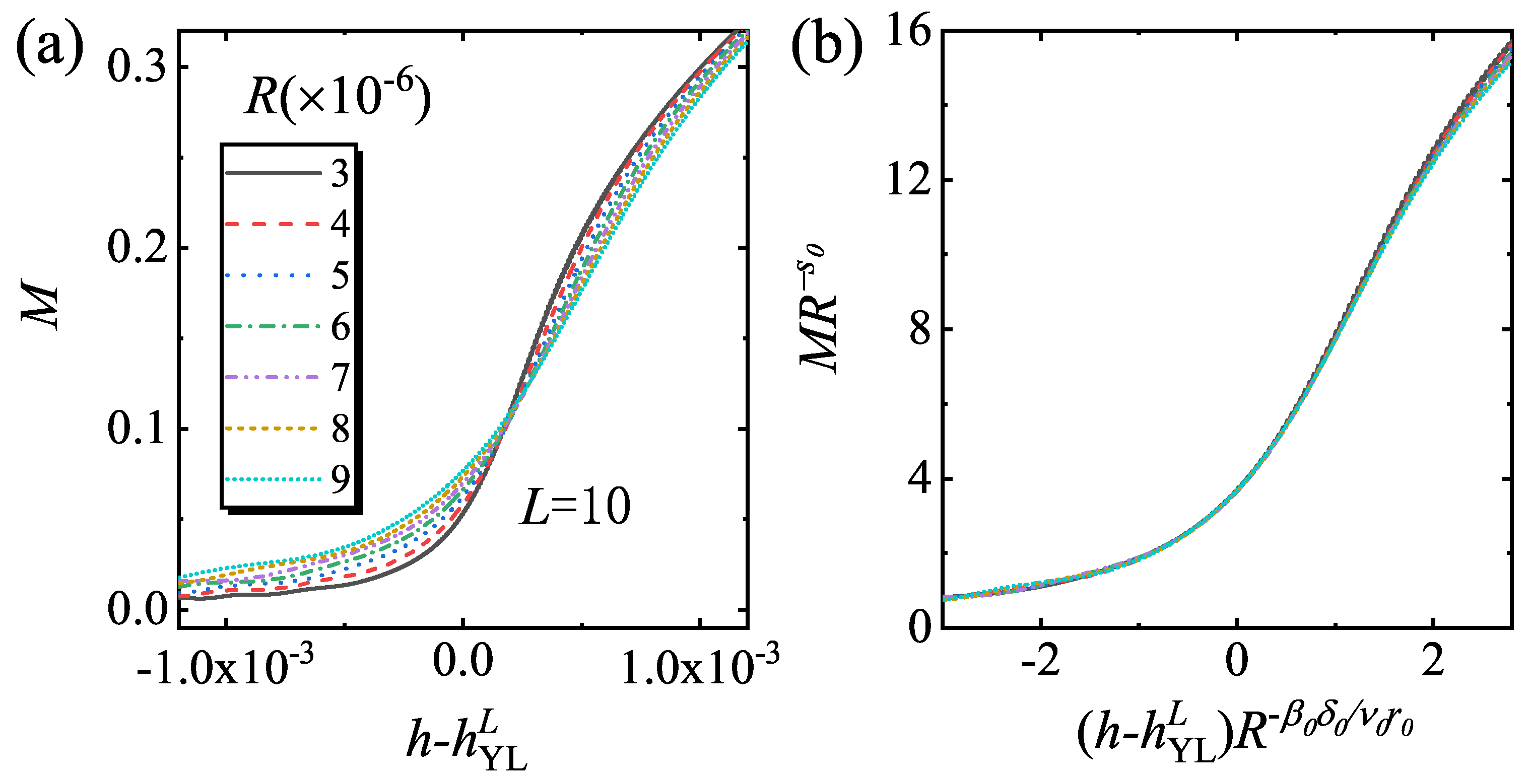
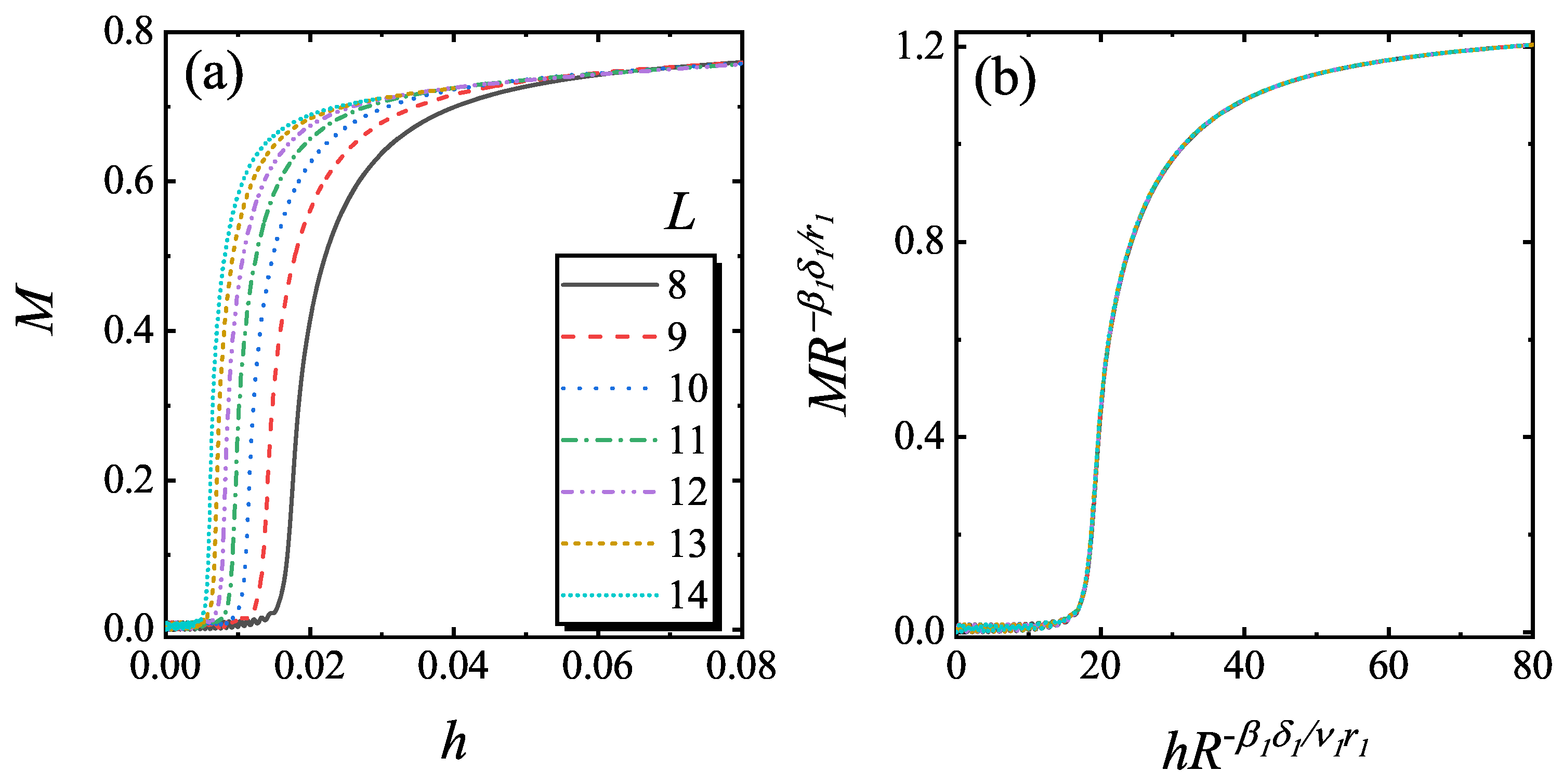
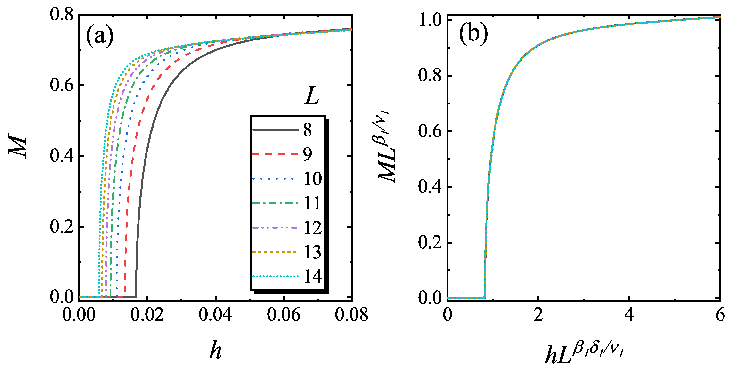
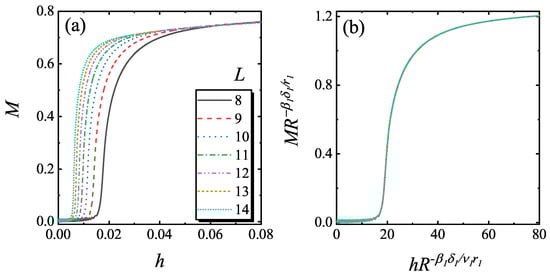
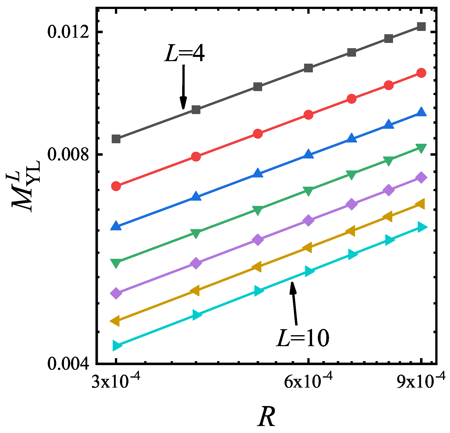
3.1. Pseudo-YLES Critical Behaviors in the (0+1) D YLES Critical Region
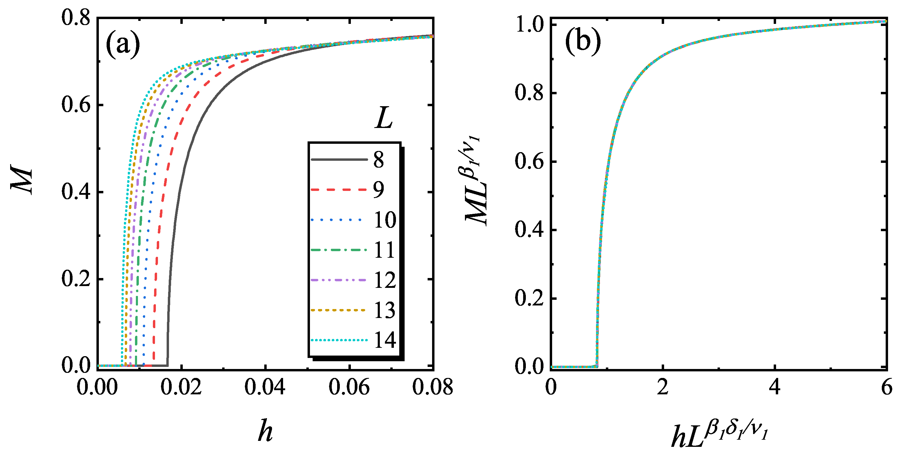
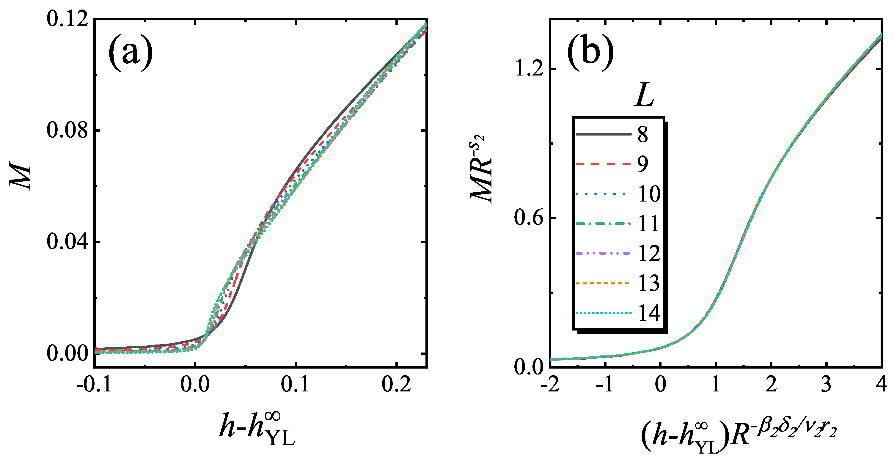
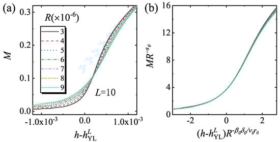
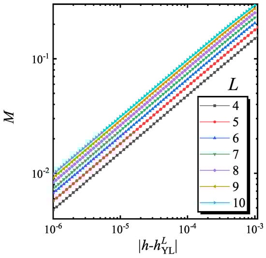
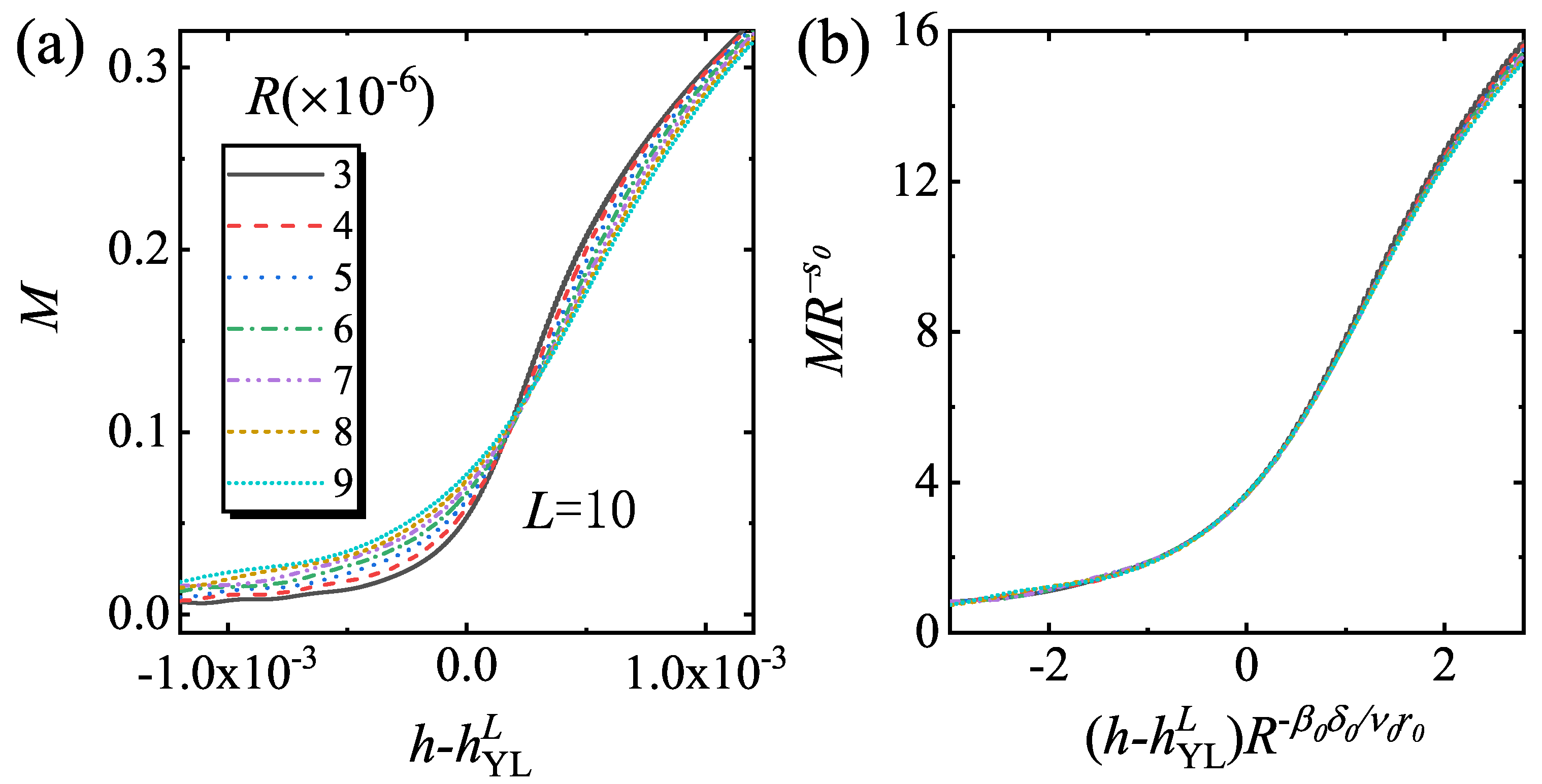
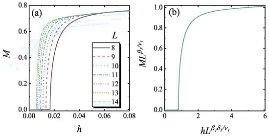
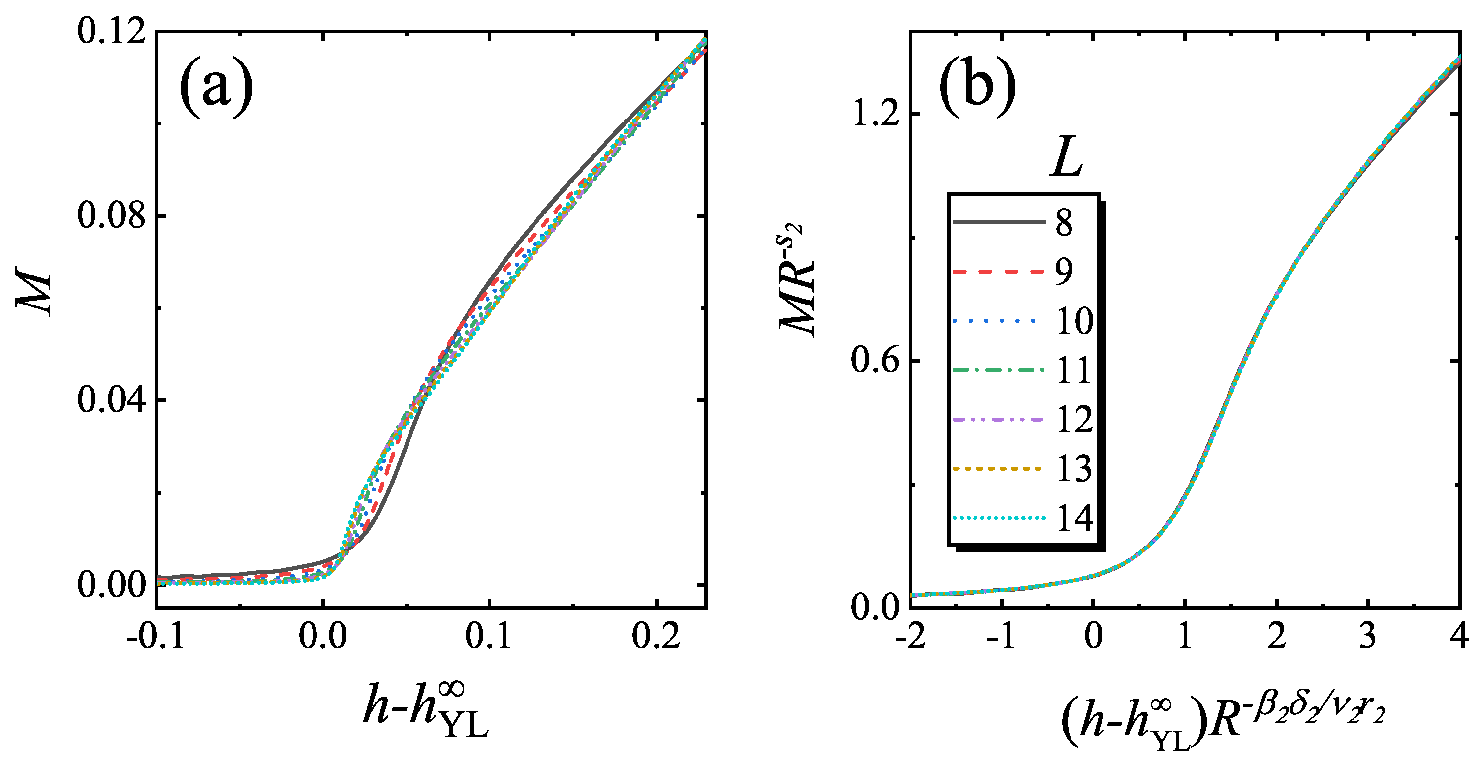
3.2. Critical Behaviors of M in the (1+1) D FPPT and (1+1) D YLES Critical Region
4. Summary
Author Contributions
Funding
Conflicts of Interest
Abbreviations
| YLES | Yang-Lee edge singularity |
| EP | exceptional point |
| FPPT | ferromagnetic-paramagnetic phase transition |
| KZS | Kibble-Zurek scaling |
References
- Sachdev, S. Quantum Phase Transitions; Cambridge University Press: Cambridge, UK, 2011. [Google Scholar]
- Dziarmaga, J. Dynamics of a quantum phase transition and relaxation to a steady state. Adv. Phys. 2010, 59, 1063–1189. [Google Scholar] [CrossRef]
- Klinder, J.; Kessler, H.; Wolke, M.; Mathey, L.; Hemmerich, A. Dynamical phase transition in the open Dicke model. Proc. Natl. Acad. Sci. USA 2015, 112, 3290–3295. [Google Scholar] [CrossRef] [PubMed]
- El-Ganainy, R.; Makris, K.G.; Khajavikhan, M.; Musslimani, Z.H.; Rotter, S.; Christodoulides, D.N. Non-Hermitian physics and PT symmetry. Nat. Phys. 2018, 14, 11–19. [Google Scholar] [CrossRef]
- Zeuner, J.M.; Rechtsman, M.C.; Plotnik, Y.; Lumer, Y.; Nolte, S.; Rudner, M.S.; Segev, M.; Szameit, A. Observation of a Topological Transition in the Bulk of a Non-Hermitian System. Phys. Rev. Lett. 2015, 115, 040402. [Google Scholar] [CrossRef] [PubMed]
- Rüter, C.E.; Makris, K.G.; El-Ganainy, R.; Christodoulides, D.N.; Segev, M.; Kip, D. Observation of parity-time symmetry in optics. Nat. Phys. 2010, 6, 192–195. [Google Scholar] [CrossRef]
- Zhang, X.; Ding, K.; Zhou, X.; Xu, J.; Jin, D. Experimental Observation of an Exceptional Surface in Synthetic Dimensions with Magnon Polaritons. Phys. Rev. Lett. 2019, 123, 237202. [Google Scholar] [CrossRef]
- Xu, H.; Mason, D.; Jiang, L.; Harris, J.G.E. Topological energy transfer in an optomechanical system with exceptional points. Nature 2016, 537, 80–83. [Google Scholar] [CrossRef]
- Barontini, G.; Labouvie, R.; Stubenrauch, F.; Vogler, A.; Guarrera, V.; Ott, H. Controlling the Dynamics of an Open Many-Body Quantum System with Localized Dissipation. Phys. Rev. Lett. 2013, 110, 035302. [Google Scholar] [CrossRef]
- Moiseyev, N. Non-Hermitian Quantum Mechanics; Cambridge University Press: Cambridge, UK, 2011. [Google Scholar]
- Longhi, S. Topological Phase Transition in non-Hermitian Quasicrystals. Phys. Rev. Lett. 2019, 122, 237601. [Google Scholar] [CrossRef]
- Wei, B.-B.; Jin, L. Universal Critical Behaviours in Non-Hermitian Phase Transitions. Sci. Rep. 2017, 7, 7165. [Google Scholar] [CrossRef]
- Lee, T.E.; Reiter, F.; Moiseyev, N. Entanglement and Spin Squeezing in Non-Hermitian Phase Transitions. Phys. Rev. Lett. 2014, 113, 250401. [Google Scholar] [CrossRef]
- Ni, X.; Smirnova, D.; Poddubny, A.; Leykam, D.; Chong, Y.; Khanikaev, A.B. phase transitions of edge states at symmetric interfaces in non-Hermitian topological insulators. Phys. Rev. B 2018, 98, 165129. [Google Scholar] [CrossRef]
- Bender, C.M. Making sense of non-Hermitian Hamiltonians. Rep. Prog. Phys. 2007, 70, 947. [Google Scholar] [CrossRef]
- Zhou, L.; Wang, Q.-H.; Wang, H.; Gong, J. Dynamical quantum phase transitions in non-Hermitian lattices. Phys. Rev. A 2018, 98, 022129. [Google Scholar] [CrossRef]
- Kawabata, K.; Shiozaki, K.; Ueda, M.; Sato, M. Symmetry and Topology in Non-Hermitian Physics. Phys. Rev. X 2019, 9, 041015. [Google Scholar] [CrossRef]
- Schomerus, H. Topologically protected midgap states in complex photonic lattices. Opt. Lett. 2013, 38, 1912–1914. [Google Scholar] [CrossRef]
- Zhao, H.; Longhi, S.; Feng, L. Robust Light State by Quantum Phase Transition in Non-Hermitian Optical Materials. Sci. Rep. 2015, 5, 17022. [Google Scholar] [CrossRef]
- Hamazaki, R.; Kawabata, K.; Ueda, M. Non-Hermitian Many-Body Localization. Phys. Rev. Lett. 2019, 123, 090603. [Google Scholar] [CrossRef]
- Dora, B.; Heyl, M.; Moessner, R. The Kibble-Zurek mechanism at exceptional points. Nat. Commun. 2019, 10, 2254. [Google Scholar] [CrossRef]
- Xue, P.; Xiao, L.; Qu, D.; Wang, K.; Li, H.-W.; Dai, J.-Y.; Dora, B.; Heyl, M.; Moessner, R.; Yi, W. Non-Hermitian Kibble-Zurek mechanism with tunable complexity in single-photon interferometry. arXiv 2020, arXiv:2004.05928. [Google Scholar]
- Yang, C.N.; Lee, T.D. Statistical Theory of Equations of State and Phase Transitions. I. Theory of Condensation. Phys. Rev. 1952, 87, 404–409. [Google Scholar] [CrossRef]
- Lee, T.D.; Yang, C.N. Statistical Theory of Equations of State and Phase Transitions. II. Lattice Gas and Ising Model. Phys. Rev. 1952, 87, 410–419. [Google Scholar] [CrossRef]
- Fisher, M.E. Yang-Lee Edge Singularity and ϕ3 Field Theory. Phys. Rev. Lett. 1978, 40, 1610–1613. [Google Scholar] [CrossRef]
- Bessis, J.D.; Drouffe, J.M.; Moussa, P. Positivity constraints for the Ising ferromagnetic model. J. Phys. A Math. Gen. 1976, 9, 2105–2124. [Google Scholar] [CrossRef]
- Uzelac, K.; Pfeuty, P.; Jullien, R. Yang-Lee Edge Singularity from a Real-Space Renormalization-Group Method. Phys. Rev. Lett. 1979, 43, 805–808. [Google Scholar] [CrossRef]
- Kurtze, D.A.; Fisher, M.E. Yang-Lee edge singularities at high temperatures. Phys. Rev. B 1979, 20, 2785–2796. [Google Scholar] [CrossRef]
- Wang, X.-Z.; Kim, J.S. The Critical Line of an Ising Antiferromagnet on Square and Honeycomb Lattices. Phys. Rev. Lett. 1997, 78, 413–416. [Google Scholar] [CrossRef]
- Wang, X.-Z.; Kim, J.S. Yang-Lee edge singularity of a one-dimensional Ising ferromagnet with arbitrary spin. Phys. Rev. E 1998, 58, 4174–4180. [Google Scholar] [CrossRef]
- Peng, X.; Zhou, H.; Wei, B.-B.; Cui, J.; Du, J.; Liu, R.-B. Experimental Observation of Lee-Yang Zeros. Phys. Rev. Lett. 2015, 114, 010601. [Google Scholar] [CrossRef]
- Brandner, K.; Maisi, V.F.; Pekola, J.P.; Garrahan, J.P.; Flindt, C. Experimental Determination of Dynamical Lee-Yang Zeros. Phys. Rev. Lett. 2017, 118, 180601. [Google Scholar] [CrossRef]
- Wei, B.-B. Probing Yang-Lee edge singularity by central spin decoherence. New J. Phys. 2017, 19, 083009. [Google Scholar] [CrossRef]
- Yin, S.; Huang, G.-Y.; Lo, C.-Y.; Chen, P. Kibble-Zurek Scaling in the Yang-Lee Edge Singularity. Phys. Rev. Lett. 2017, 118, 065701. [Google Scholar] [CrossRef] [PubMed]
- Zhai, L.-J.; Wang, H.-Y.; Yin, S. Hybridized Kibble-Zurek scaling in the driven critical dynamics across an overlapping critical region. Phys. Rev. B 2018, 97, 134108. [Google Scholar] [CrossRef]
- Kortman, P.; Griffiths, R. Density of Zeros on the Lee-Yang Circle for Two Ising Ferromagnets. Phys. Rev. Lett. 1971, 27, 1439–1442. [Google Scholar] [CrossRef]
- Fisher, M.E. Yang-Lee Edge Behavior in One-Dimensional Systems. Supp. Prog. Theor. Phys. 1980, 69, 14–29. [Google Scholar] [CrossRef]
- Glumac, Z.; Uzelac, K. The partition function zeros in the one-dimensional q-state Potts model. J. Phys. A Math. Gen. 1994, 27, 7709–7717. [Google Scholar] [CrossRef]
- Ghulghazaryan, R.G.; Sargsyan, K.G.; Ananikian, N.S. Partition function zeros of the one-dimensional Blume-Capel model in transfer matrix formalism. Phys. Rev. E 2007, 76, 021104. [Google Scholar] [CrossRef]
- Mittag, L.; Stephen, M.J. Yang-Lee Zeros of the Potts Model. J. Stat. Phys. 1984, 35, 303. [Google Scholar] [CrossRef]
- Dalmazi, D.; Sá, F.L. Unusual Yang-Lee edge singularity in the one-dimensional axial-next-to-nearest-neighbor Ising model. Phys. Rev. E 2010, 82, 051108. [Google Scholar] [CrossRef]
- Zhai, L.-J.; Wang, H.-Y.; Huang, G.-Y. Scaling of the Berry Phase in the Yang-Lee Edge Singularity. Entropy 2019, 21, 836. [Google Scholar] [CrossRef]
- Castro-Alvaredo, O.A.; Fring, A. A spin chain model with non-Hermitian interaction: The Ising quantum spin chain in an imaginary field. J. Phys. A Math. Theor. 2009, 42, 465211. [Google Scholar] [CrossRef]
- Von Gehlen, G. Critical and off-critical conformal analysis of the Ising quantum chain in an imaginary field. J. Phys. A Math. Gen. 1991, 24, 5371. [Google Scholar] [CrossRef]
- Ramírez, R.; Reboiro, M. Dynamics of finite dimensional non-hermitian systems with indefinite metric. J. Math. Phys. 2019, 60, 012106. [Google Scholar] [CrossRef]
- Jean-Pierre Antoine, J.-P.; Trapani, C. Operator (Quasi-)Similarity, Quasi-Hermitian Operators and All that. In Non-Hermitian Hamiltonians in Quantum Physics; Bagarello, F., Passante, R., Trapani, C., Eds.; Springer: Berlin, Germany, 2015; p. 45. [Google Scholar]
- Gong, S.; Zhong, F.; Huang, X.; Fan, S. Finite-time scaling via linear driving. New J. Phys. 2010, 12, 043036. [Google Scholar] [CrossRef]
- Chandran, A.; Erez, A.; Gubser, S.S.; Sondhi, S.L. Kibble-Zurek problem: Universality and the scaling limit. Phys. Rev. B 2012, 86, 064304. [Google Scholar] [CrossRef]







| (0+1) D YLES | |||||
| −1 | 1 | −2 | 1 | 3 | |
| (1+1) D FPPT | |||||
| 1 | 15 | 1 | |||
| (1+1) D YLES | |||||
| −5/2 | 1 | −6 | 1 | 3.4 |
© 2020 by the authors. Licensee MDPI, Basel, Switzerland. This article is an open access article distributed under the terms and conditions of the Creative Commons Attribution (CC BY) license (http://creativecommons.org/licenses/by/4.0/).
Share and Cite
Zhai, L.-J.; Huang, G.-Y.; Wang, H.-Y. Pseudo-Yang-Lee Edge Singularity Critical Behavior in a Non-Hermitian Ising Model. Entropy 2020, 22, 780. https://doi.org/10.3390/e22070780
Zhai L-J, Huang G-Y, Wang H-Y. Pseudo-Yang-Lee Edge Singularity Critical Behavior in a Non-Hermitian Ising Model. Entropy. 2020; 22(7):780. https://doi.org/10.3390/e22070780
Chicago/Turabian StyleZhai, Liang-Jun, Guang-Yao Huang, and Huai-Yu Wang. 2020. "Pseudo-Yang-Lee Edge Singularity Critical Behavior in a Non-Hermitian Ising Model" Entropy 22, no. 7: 780. https://doi.org/10.3390/e22070780
APA StyleZhai, L.-J., Huang, G.-Y., & Wang, H.-Y. (2020). Pseudo-Yang-Lee Edge Singularity Critical Behavior in a Non-Hermitian Ising Model. Entropy, 22(7), 780. https://doi.org/10.3390/e22070780

