You are currently viewing a new version of our website. To view the old version click .
Entropy
  • Article
  • Open Access

26 May 2020

Nonextensive Statistical Mechanics: Equivalence Between Dual Entropy and Dual Probabilities

Division of Space Science and Engineering, Southwest Research Institute, San Antonio, TX 78238, USA
This article belongs to the Special Issue Entropy Measures and Applications in Astrophysics

Abstract

The concept of duality of probability distributions constitutes a fundamental “brick” in the solid framework of nonextensive statistical mechanics—the generalization of Boltzmann–Gibbs statistical mechanics under the consideration of the q-entropy. The probability duality is solving old-standing issues of the theory, e.g., it ascertains the additivity for the internal energy given the additivity in the energy of microstates. However, it is a rather complex part of the theory, and certainly, it cannot be trivially explained along the Gibb’s path of entropy maximization. Recently, it was shown that an alternative picture exists, considering a dual entropy, instead of a dual probability. In particular, the framework of nonextensive statistical mechanics can be equivalently developed using q- and 1/q- entropies. The canonical probability distribution coincides again with the known q-exponential distribution, but without the necessity of the duality of ordinary-escort probabilities. Furthermore, it is shown that the dual entropies, q-entropy and 1/q-entropy, as well as, the 1-entropy, are involved in an identity, useful in theoretical development and applications.

1. Introduction

Non-extensive statistical mechanics generalizes the classical statistical framework of Boltzmann–Gibbs (BG). The generalization is based on two fundamental considerations, (i) the q-entropy, a monoparametrical generalization of BG’s entropy [1], and (ii) the escort probability distribution [2,3], a metastable distribution at which the ordinary distribution that maximizes the entropy is stabilized. The metastable distribution coincides with the empirical model of frequently observed distributions in nature and especially in plasmas, called either q-exponential or kappa distribution.
The q-exponential distribution, named after the “q-deformed exponential” function (e.g., [4,5]), is the non-extensive version of the canonical distribution, that is, a distribution governed by the flexible parameter q that maximizes the q-entropy under the constraints of the canonical ensemble. The q-exponential distributions are observed quite frequently in nature, and constitute a suitable generalization of the BG exponential distribution. Applications of the q-exponential distribution can be found in a wide variety of topics, among numerous others, are the following: sociology–sociometry: e.g., internet [6]; citation networks of scientific papers [7]; urban agglomeration [8]; linguistics [9]; economy [10]; biology: biochemistry [11,12]; ecology [13,14]; statistics: [15,16,17,18]; physics: e.g., nonlinear dynamics [19,20]; condensed-matter: [21]; earthquakes [22,23,24,25,26]; turbulence [27,28]; physical chemistry [29]; and space physics/astrophysics [30,31,32]; (a more extended bibliography of q-deformed exponential distributions can be found in [14,32,33,34,35,36,37]).
The connection of kappa distributions with non-extensive statistical mechanics, as well as the equivalence between the q-exponential and kappa distributions, has been examined by several authors (e.g., [37,38,39,40,41]). The empirical kappa distribution and the Tsallis-like Maxwellian distribution of velocities are accidentally of the same form, under a transformation between the q-index and the kappa parameter that labels and governs the kappa distributions. (For details on this topic, see the review [41], the special issue introduction [42], and the book of kappa distributions: [32]). Understanding the statistical origin of these distributions was a cornerstone of theoretical developments and a plethora of applications in space plasma physics and complexity science.
The kappa distributions were found to describe the particle velocities in various space plasma analyses: (i) the inner heliosphere, including solar wind (e.g., [43,44,45,46,47,48,49,50,51,52,53,54,55,56,57,58]), solar spectra (e.g., [59,60,61]), solar corona (e.g., [62,63,64,65]), solar energetic particles (e.g., [66,67,68]), corotating interaction regions (e.g., [69,70]), and solar flares related (e.g., [71,72,73,74,75]), shocks (e.g., [70,76]); (ii) the planetary magnetospheres, including magnetosheath (e.g., [77,78,79,80]), near magnetopause (e.g., [81]), magnetotail (e.g., [82]), ring current (e.g., [83]), plasma sheet (e.g., [84,85]), magnetospheric substorms (e.g., [86,87]), Aurora (e.g., [86,88]), magnetospheres of giant planets, such as Jovian (e.g., [89,90,91,92]), Saturnian (e.g., [93,94,95,96,97]), Uranian (e.g., [98]), Neptunian (e.g., [99]), magnetospheres of planetary moons, such as Io (e.g., [100]) and Enceladus (e.g., [101]), or cometary magnetospheres (e.g., [102]); (iii) the outer heliosphere and the inner heliosheath (e.g., [41,52,103,104,105,106,107,108,109,110,111,112,113,114,115,116,117,118,119,120]); (iv) beyond the heliosphere, including stellar spectra (e.g., [121]), HII regions (e.g., [122]), planetary nebula (e.g., [122,123,124]], supernova magnetospheres (e.g., [125]), dark matter (e.g., [126]), and in cosmological scales (e.g., [127]).
It is now well understood that the previously mentioned examples of observed distributions can be described by the q-exponential or kappa distributions, that is, the type of distribution maximizing the q-entropy in the canonical ensemble.
It was recently shown that the statistical framework of non-extensive statistical mechanics could be deduced as it is, without the consideration of the dual formalism of ordinary/escort distributions. This concept can significantly simplify the usage of the theory, and make it accessible by the new generation of researchers that are straggling to understand and apply it in exotic particle systems out of thermal equilibrium, such as the space plasmas. However, the cost of this simplification is the necessity of having two types of entropic functions. This dual formulation preserves the basic fundamental thermodynamic formulae, which is necessary for the consistent connection of the statistical mechanics with the thermodynamics. In Section 2, the paper presents the standard nonextensive statistical mechanics, which is based on escort duality formalism (that involves the maximization of q-Entropy using the ordinary/escort duality formalism). In Section 3, we show how the framework of nonextensive statistical mechanics can be developed, considering entropy metastable duality. The paper deals with the duality between the q- and 1/q- entropies; the maximization of the latter under the canonical ensemble; the derivation of an identity formula involving the dual entropies, q-entropy and 1/q-entropy, as well as, the 1-entropy, which can be useful in theoretical development and applications. As an example, in Section 4, we focus on the continuous description of energy distribution. Finally, Section 5 summarizes the conclusions.

2. Nonextensive Statistical Mechanics with Probability Metastable Duality

2.1. q-Entropy and Ordinary/Escort Duality Formalism

Consider the discrete energy spectrum { ε k } k = 1 W associated with a discrete probability distribution { p k } k = 1 W . Non-extensive statistical mechanics is based on the q-entropy and the dual formalism of ordinary/escort probabilities. The non-extensive entropy is given by [1]:
S q = 1 q 1 ( 1 k = 1 W p k q ) ,
leading to the BG formulation for q → 1, S 1 = k W p k ln ( p k ) (note: the entropic formulations are given in units of the Boltzmann’s constant kB).
On the other hand, the escort probability distribution { P k } k = 1 W is constructed from the ordinary probability distribution, { p k } k = 1 W , as follows [2]:
P k = p k q k = 1 W p k q p k = P k 1 / q k = 1 W P k 1 / q ,   for   k = 1 , , W .

2.2. Maximization of q-Entropy

The maximization of entropy is derived from ( / p j ) S q ( { p k } k = 1 W ) = 0 ,   j = 1 , , W . However, the probabilities { p k } k = 1 W do not constitute independent variables, because of the constraints of (i) probability normalization, and (ii) fixed internal energy; the two constraints can be expressed either in terms of the ordinary or the escort probabilities, i.e.,
( i )   k = 1 W p k = 1 ,   ( ii )   k = 1 W p k q   ε k / k = 1 W p k q = U ,   or ,  
( i )   k = 1 W P k = 1 ,   ( ii )   k = 1 W P k   ε k = U .  
The Lagrange method (as used by Gibbs [128]) involves maximizing an alternative functional G, instead of the entropy d directly, that is, finding ( / p j ) G ( { p k } k = 1 W ) = 0 ,   j = 1 , , W , where G is written in terms of the Lagrange multipliers λ 1 and λ 2 by
G ( { p k } k = 1 W ) = S q ( { p k } k = 1 W ) + λ 1 1 + λ 2 U ,   or  
G ( { p k } k = 1 W ) = 1 q 1 k = 1 W ( p k p k q ) + λ 1 k = 1 W p k + λ 2 k = 1 W p k q   ε k / k = 1 W p k q .
The maximization of this functional leads to the ordinary probability distribution
p j = 1 Z q [ 1 ( 1 q ) β ( ε j U ) ]   1 1 q ,   Z q j = 1 W [ 1 ( 1 q ) β ( ε j U ) ]   1 1 q .
The multiplier λ 1 is connected to the partition function Z q ( λ 1 ( q 1 ) / q ] 1 / ( q 1 ) . The other multiplier, λ 2 , is connected to temperature ( k B T )   λ 2 1 . In particular, the negative and inverse value of the second Lagrange multiplier defines the so-called Lagrangian temperature TL [114], i.e.,
T T L ϕ q ,   with   ϕ q k = 1 W p k q = Z q 1 q .
Substituting Equation (8) into Equation (2) leads to the escort distribution:
P j ( ε j ) = 1 Z q   [ 1 + ( q 1 ) β ( ε j U ) ]     1 q 1 1
The escort probability distribution describes a metastable distribution at which the ordinary distribution that maximizes the entropy is duplexed. The metastable distribution coincides with the kappa distribution, under the transformation of the kappa and q indices [37]:
κ = 1 q 1 q = 1 + 1 κ ,
leading to the kappa distribution, in the discrete description,
P j ( ε j )   [ 1 + 1 κ β ( ε j U ) ]   κ 1 .
Or, in the continuous description,
P ( ε )   [ 1 + 1 κ β ( ε U ) ]   κ 1 .

3. Nonextensive Statistical Mechanics with Entropy Metastable Duality

3.1. Entropy Duality Formalism

Alternatively, the exactly identical framework of non-extensive statistical mechanics can be developed by considering a dual entropy, instead of a dual probability distribution (as it was considered in Section 2).
The duality is given by the standard q-entropy and the one with inverse q-index, i.e., (1/q)-entropy. In order to show this, we accept that there is only one type of distribution; this must coincide with the metastable distribution of the case where the duality in probabilities was considered (Section 2); that is, the escort probability distribution. Then, the 1/q-entropy is expressed by [129]:
S ˜ 1 / q = 1 1 / q 1 ( 1 k = 1 W P k 1 / q ) ,
(notice the usage of escort instead of the ordinary probability distribution). Using the entropy Sq in Equation (1) and the following identity that can be easily derived from Equation (2):
k = 1 W P k 1 / q = ( k = 1 W p k q ) 1 / q ,
we have
S ˜ 1 / q = 1 1 / q 1 [ 1 ( k = 1 W p k q ) 1 / q ] 1 ( 1 / q 1 ) S ˜ 1 / q = [ 1 ( q 1 ) S q ]     1 q ,
leading to
[ 1 ( 1 / q 1 ) S ˜ 1 / q ]     1 1   / q 1 = [ 1 ( q 1 ) S q ]     1 q 1 = Z q .
We observe that there are always two different indices, q and 1/q, (except for the case of q = 1 when both indices coincide), for which the partition function Z Q = [ 1 ( Q 1 ) S Q ]     1 Q 1 remains invariant for the two indices, Q 1 = q and Q 2 = 1 / q ; however, one has to recall that S ˜ Q S Q for any Q 1 .

3.2. q-Deformed Exponential/Logarithm Functions

The Q-deformed exponential function [4,5] and the Q-logarithm function, are defined by
exp Q ( x ) = [ 1 + ( 1 Q ) x ] +   1 Q 1 ,   ln Q ( x ) = 1 x 1 Q Q 1 ,  
where the subscript “+” denotes the cut-off condition, where exp Q ( x ) becomes zero if its base is non-positive. These are inverse functions for any Q (in similar to the case of Q = 1):
exp Q [ ln Q ( x ) ] = ln Q [ exp Q ( x ) ] = 1 .  
Hence, the dual ordinary/escort distributions are written as:
p j ( ε j ) exp q   [ β ( ε j U ) ] P j ( ε j ) exp q q   [ β ( ε j U ) ] ,  
while the dual q- / (1/q)- entropies in Equation (16) are written as:
exp 1 / q ( S ˜ 1 / q ) = exp q ( S q ) .  

3.3. Maximization of 1/q-Entropy

The maximization of 1/q-entropy leads directly to the escort probability distribution. Indeed, by maximizing the functional G, as in Equation (6),
G ( { P k } k = 1 W ) = 1 ( 1 / q ) 1 k = 1 W ( P k P k 1 / q ) + λ 1 k = 1 W P k + λ 2 k = 1 W P k ε k ,  
we find [129,130,131]:
P j ( ε j ) = 1 Z q [   1 + ( q 1 ) β ( ε j U ) ]     q q 1 = 1 Z q exp q q [ β ( ε j U ) ] ,  
or, in terms of the kappa index (via Equation (10)):
P j ( ε j ) = 1 Z q [   1 + 1 κ β ( ε j U ) ]   κ 1 .  
It has to be stressed out that (i) the correct canonical distribution is derived without the duality of ordinary/escort distributions, since only one distribution is considered; however, (ii) the canonical distribution in Equation (23) is not derived by maximizing the system’s q-entropy S q ; instead, it is deduced by maximizing the (1/q)-entropy, S ˜ 1 / q , the dual of the system’s q-entropy.

3.4. q-Independent Information Measure

In [131], we examine the thermodynamic origin of q-entropy and its associated q-exponential or kappa distributions. As it was shown, the classical concept of thermal equilibrium and the thermodynamic definition of temperature, given by
1 T = S 1 U ,  
can be naturally generalized to
1 T = U ln [ exp q ( S q ) ] .
The classical BG entropy is noted as S1, that is, the q-entropy Sq for q = 1. When q = 1, the expression ln [ exp q   ( S q ) ] at the right-hand-side of Equation (25) becomes simply S1. On the other hand, the internal energy does not depend on the q- or kappa indices; for example, in the continuous case we have U = 1 2 f   k B T . This is because the kappa index is irrelevant to the energy transition among particles, but is count only for the correlation among particle energies. In addition, the temperature and kappa index are found to be two independent thermodynamic variables. Therefore, if the temperature and internal energy are quantities independent of the q-index, then, the quantity ln [ exp q   ( S q ) ] should be a sum of a q-dependent function, ln g ( q ) , and a U -dependent function, f ( U ) , i.e.,
ln [ exp q ( S q ) ] = ln g ( q ) + f ( U ) = ln g ( q ) + S 1 ,  
where we set the value of ln g ( 1 ) to be absorbed by f ( U ) , and thus we may redefine function g to be ln g ( 1 ) = 0 , or S 1 = f ( U ) . Hence,
exp q ( S q ) = g ( q ) exp ( S 1 ) .
Finally, Equation (27) completes the duality in Equation (20), ending up with
exp 1 / q ( S ˜ 1 / q ) = g ( q ) exp ( S 1 ) = exp q ( S q ) .  

4. Application in the Continuous Description

Extensivity requires that the entropy of the whole system is proportional to the size of the system or the number of independent particles of the system. Additivity means that the entropy of the whole system sums up the entropies of all the statistically independent subsystems. Apparently, additivity leads to extensivity, but non-additivity does not mean non-extensivity. Macroscopically all physically meaningful entropies end up to be extensive (as the number of particles tends to infinity). This can be understood as follows. Depending on the range of interactions whether it is small or long, there is always a scale—let this be λC—in which particles are characterized by local correlations. Particles within this scale are correlated to each other, but the particles from different particles are non-correlated, i.e., independent. Let NC be the number within the scale λC. If N is the total number of particles, then, there is about M~N/NC uncorrelated groups of correlated particles of length λC. Since there is no correlation among all M groups, the total entropy of the system is similar to BG statistical mechanics, that is, S = M∙SC, where SC(NC) is the entropy characterizing the scale in which particles are correlated; this is rewritten as S = N∙Sq, where Sq(NC) is the per particle entropy that characterizes the scale λC, while it depends in a nonlinear way on the number of NC particles; therefore, the entropy of the whole system S is macroscopically proportional to the number of its particles N, independently of the number NC. For instance, Boltzmann–Gibbs (BG) statistics considers no correlations among particles [128], that is, NC = 1. On the other hand, nonextensive statistics for plasmas considers local correlations among particles, with a typically large number NC, given by the number within a Debye sphere, ND. (For more details, e.g., see: [32].)
As an example, we show the continuous description of kappa distributions. The kappa index depends on the total number of correlated degrees of freedom f.
The physical meaning of the kappa index is the reciprocal correlation coefficient of the energies of any two correlated kinetic degrees of freedom. In particular, the correlation coefficient is given by ρ = (3/2)/κ [112]. The kappa index κ is dependent on the correlated degrees of freedom f, and can be related to an invariant kappa index κ 0 by κ ( f ) = κ 0 + ( 1 / 2 ) f . For a number of NC correlated particles with d degrees of freedom per particle, we have f = d N C , and the dependent kappa index is κ ( N C ) = κ 0 + ( d / 2 ) N C . Note that κ 0 is the actual kappa index that characterizes a stationary state, and it is invariant from the number of particles and degrees of freedom of the system [112].
The corresponding partition function Zq was found to be [114]:
Z q = ( σ 2 π   e ) 1 2 d N C Γ ( κ 0 ) ( κ 0 / e ) κ 0 Γ ( κ 0 + d 2 N C ) [ ( κ 0 + d 2 N C ) / e ]   ( κ 0 + 1 2 d N C ) ,
where NC is the number of correlation particles included in a correlation length C ; the involved dimensionless scale parameter σ is expressed in terms of the thermal speed θ = 2 k B T /   m   for particles of mass m, and the d-dim spherical volume of radius equal to the correlation length, i.e., V C = v d C   d with v d = π d / 2 / [ ( d 2 ) ! ] , that is,
σ = h m θ   ( V C ) 1 / d ,
or, considering an ion-electron plasma, with masses mi and me, and temperatures Ti and Te,
σ 2 = 2   π [ ( d 2 ) ! ] 2 / d 2 k B T i T e m i m e     C   2 .
Therefore, the partition function becomes:
Z q = { 2 e [ ( d 2 ) ! ] 2 / d   2 k B T i T e m i m e     C   2 } 1 2 d N C Γ ( κ 0 ) ( κ 0 / e ) κ 0 Γ ( κ 0 + d 2 N C ) [ ( κ 0 + d 2 N C ) / e ]   ( κ 0 + 1 2 d N C ) ,
or
ln Z q = 1 2 d N C ln { k B T i T e m i m e     C   2 2 e [ ( d 2 ) ! ] 2 / d   2 } + ln { Γ ( κ 0 ) ( κ 0 / e ) κ 0 Γ ( κ 0 + d 2 N C ) [ ( κ 0 + d 2 N C ) / e ]   ( κ 0 + 1 2 d N C ) } .
We observe that Equation (33) has exactly the form of Equation (26)! Namely,
ln Z q = ln g ( q ) + S 1 ,   or ,   Z q = e S 1 g ( q ) ,  
with
g ( q = 1 + 1 / κ ) = Γ ( κ 0 ) ( κ 0 / e ) κ 0 Γ ( κ 0 + d 2 N C ) [ ( κ 0 + d 2 N C ) / e ]   ( κ 0 + 1 2 d N C ) ,
and ln g ( 1 ) = 0 , while S1 equals the Sackur–Tetrode entropic formula [72,114],
S 1 = 1 2 d N C ln { k B T i T e m i m e     C   2 2 e [ ( d 2 ) ! ] 2 / d   2 } ,   or ,   e 1 1 2 d N C S 1 = k B T i T e m i m e     C   2 2 e [ ( d 2 ) ! ] 2 / d   2 .
Solving in terms of entropies, Equation (28) gives
S ˜ 1 / q = ln 1 / q ( Z q ) = 1 Z q   1 1   / q 1 / q 1 ,   S q = ln q ( Z q ) = 1 Z q   1 q q 1 ,
or, in terms of the kappa index,
S ˜ 1 / q = ( κ + 1 ) ( Z q   1 κ + 1 1 ) = ( 1 + κ 0 + d 2 N C ) ( Z q   1 1 + κ 0 + d 2 N C 1 ) ,
S q = κ ( 1 Z q   1 κ ) = ( κ 0 + d 2 N C ) ( 1 Z q   1 κ 0 + d 2 N C ) .
Substituting Zq from Equations (34,35) into Equations (38,39), we end up with
S ˜ 1 / q = ( 1 + κ 0 + d 2 N C ) ×   { [ e S 1 Γ ( κ 0 ) ( κ 0 / e ) κ 0 Γ ( κ 0 + d 2 N C ) [ ( κ 0 + d 2 N C ) / e ]   ( κ 0 + 1 2 d N C ) ]   1 1 + κ 0 + d 2 N C 1 }   ,
S q = ( κ 0 + d 2 N C ) ×   { 1 [ e S 1 Γ ( κ 0 ) ( κ 0 / e ) κ 0 Γ ( κ 0 + d 2 N C ) [ ( κ 0 + d 2 N C ) / e ]   ( κ 0 + 1 2 d N C ) ]     1 κ 0 + d 2 N C }   .
As noted by [129], S q entropy has a fine property that lacks in S ˜ 1 / q : at conditions near the classical thermal equilibrium of large values of κ0 and S1, the slope of entropy must be positive, so that, the closer to the classical equilibrium (κ0→∞), the higher the entropy. We have:
S q κ 0 |   S 1 > > 1 > 0 ,   S ˜ 1 / q κ 0 |   S 1 > > 1 < 0 .
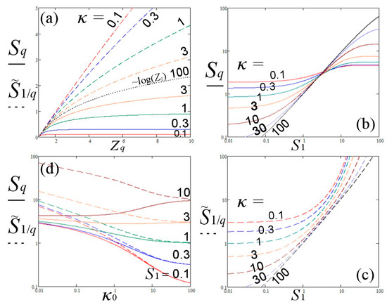
In Figure 1, we plot the entropies S q and S ˜ 1 / q as a function of (a) Z q , (b,c) S1, and (d) κ0.
Figure 1. (a) Entropies S q and S ˜ 1 / q plotted as a function of Z q , as shown in Equation (37), for various kappa indices; the case of κ→∞ corresponding to log(Zq) is shown. Entropies (b) S q , and (c) S ˜ 1 / q , plotted as a function of S1, as shown in Equations (38,39), for various kappa indices. (d) Entropies S q and S ˜ 1 / q plotted as a function of the invariant kappa index κ0, as shown in Equations (40,41), for various values of the BG entropy, S1; we observe that (i) the two entropies tend to S1 as κ0→∞; for large values of S1, entropy S q has a positive slope, while entropy S ˜ 1 / q has negative slope (a nonrealistic property).
These results verify that the entropy of the particle system is given by S q , and not by S ˜ 1 / q , though, it is the entropic function of S ˜ 1 / q , which is maximized to lead to the canonical distribution P(ε). Therefore, the standard description of nonextensive statistical mechanics considers the entropy S q , which is maximized to provide p(ε), and indirectly, the dual escort distribution P(ε), i.e., the actual distribution P(ε) is dual to the auxiliary distribution p(ε) that comes from the maximization of entropy. In the present picture of nonextensive statistical mechanics, the entropy has the duality property, and not the distribution, i.e., the actual S q is dual to the auxiliary entropy S ˜ 1 / q that needs to be maximized.

5. Conclusions

The paper is a theoretical analysis on the dualities that characterize nonextensive statistical mechanics. The concept of duality of probability distributions is of fundamental importance within the framework of nonextensive statistical mechanics—the generalization of Boltzmann–Gibbs statistical mechanics under the consideration of the q-entropy. While the probability duality is solving old-standing issues of the theory, e.g., it ascertains the additivity for the internal energy given an additivity in the energy of microstates, is a rather complex part of the theory, and certainly, it cannot be trivially explained along the Gibb’s path of entropy maximization.
Recently, it was shown that an alternative picture exists, considering a dual entropy, instead of a dual probability. In particular, the framework of nonextensive statistical mechanics can be equivalently developed using q- and 1/q- entropies (noted by S q and S ˜ 1 / q ). The canonical probability distribution coincides again with the known q-exponential distribution, but without the necessity of the duality of ordinary-escort probabilities. The paper deals with this duality between the q- and 1/q- entropies; the maximization of the 1/q- entropy under the canonical ensemble; the derivation of an identity formula involving the dual entropies, q-entropy and 1/q-entropy, as well as, the 1-entropy, which can be useful in theoretical development and applications.
It was shown that the entropy of the particle system is given by S q and not by S ˜ 1 / q , though, it is the entropic function of S ˜ 1 / q that should be maximized to lead directly to the canonical distribution P(ε). Therefore, the standard description of nonextensive statistical mechanics considers the entropy S q , which is maximized to provide p(ε), and indirectly, the dual escort distribution P(ε), i.e., the actual distribution P(ε) is dual to the auxiliary distribution p(ε) that comes from the maximization of entropy. In the present picture of nonextensive statistical mechanics, the entropy has the duality property, and not the distribution, i.e., the actual S q is dual to the auxiliary entropy S ˜ 1 / q that is maximized to provide the canonical ensemble.
The paper focused on the continuous description of energy distribution. We show that the actual entropy of the system, S q , can be expressed as a function of the kappa index, the number of particles, and the BG entropy, S1. At conditions near the classical thermal equilibrium, i.e., at large values of κ0 and S1, the slope of entropy is positive, verifying that the closer to the classical equilibrium (κ0 → ∞), the higher the value of the entropy, S q .

Funding

This research received no external funding.

Conflicts of Interest

The authors declare no conflict of interest.

References

  1. Tsallis, C. Possible generalization of Boltzmann-Gibbs statistics. J. Stat. Phys. 1988, 52, 479. [Google Scholar] [CrossRef]
  2. Beck, C.; Schlögl, F. Thermodynamics of Chaotic Systems; Cambridge University Press: Cambridge, UK, 1993. [Google Scholar]
  3. Tsallis, C.; Mendes, R.S.; Plastino, A.R. The role of constraints within generalized nonextensive statistics. Physica A 1998, 261, 534–554. [Google Scholar] [CrossRef]
  4. Silva, R.; Plastino, A.R.; Lima, J.A.S. A Maxwellian path to the q-nonextensive velocity distribution function. Phys. Lett. A 1998, 249, 401–408. [Google Scholar] [CrossRef]
  5. Yamano, T. Some properties of q-logarithmic and q-exponential functions in Tsallis statistics. Physica A 2002, 305, 486–496. [Google Scholar] [CrossRef]
  6. Abe, S.; Suzuki, N. Itineration of the Internet over nonequilibrium stationary states in Tsallis statistics. Phys. Rev. E 2003, 67, 016106. [Google Scholar] [CrossRef] [PubMed]
  7. Tsallis, C.; De Albuquerque, M.P. Are citations of scientific papers a case of nonextensivity. Eur. Phys. J. B. 2000, 13, 777–780. [Google Scholar] [CrossRef]
  8. Malacarne, L.C.; Mendes, R.S.; Lenzi, E.K. Average entropy of a subsystem from its average Tsallis entropy. Phys. Rev. E 2001, 65, 017106. [Google Scholar] [CrossRef] [PubMed]
  9. Montemurro, A. Beyond the Zipf-Mandelbrot law in quantitative linguistics. Physica A. 2001, 300, 567–578. [Google Scholar] [CrossRef]
  10. Borland, L. Option pricing formulas based on a non-Gaussian stock price model. Phys. Rev. Lett. 2002, 89, 098701. [Google Scholar] [CrossRef]
  11. Andricioaei, I.; Straub, J.E. Generalized simulated annealing algorithms using Tsallis statistics: Application to conformational optimization of a tetrapeptide. Phys. Rev. E 1996, 53, R3055–R3058. [Google Scholar] [CrossRef]
  12. Tsallis, C. Nonextensive statistics: Theoretical, experimental and computational evidences and connections. Braz. J. Phys. 1999, 29, 1–35. [Google Scholar] [CrossRef]
  13. Livadiotis, G.; Assas, L.; Dennis, B.; Elaydi, S.; Kwessi, E. A discrete time host-parasitoid model with an Allee effect. J. Biol. Dyn. 2015, 9, 34–51. [Google Scholar] [CrossRef]
  14. Livadiotis, G.; Assas, L.; Dennis, B.; Elaydi, S.; Kwessi, E. Kappa function as a unifying framework for discrete population modeling. Nat. Res. Mod. 2016, 29, 130–144. [Google Scholar] [CrossRef]
  15. Habeck, M.; Nilges, M.; Rieping, W. Replica-exchange Monte Carlo scheme for Bayesian data analysis. Phys. Rev. Lett. 2005, 94, 018105. [Google Scholar] [CrossRef] [PubMed]
  16. Livadiotis, G. Approach to the block entropy modeling and optimization. Physica A 2008, 387, 2471–2494. [Google Scholar] [CrossRef]
  17. Livadiotis, G. Expectation value and variance based on Lp norms. Entropy 2012, 14, 2375–2396. [Google Scholar] [CrossRef]
  18. Livadiotis, G. Non-Euclidean-normed Statistical Mechanics. Physica A 2016, 445, 240–255. [Google Scholar] [CrossRef]
  19. Robledo, A. Renormalization group, entropy optimization, and nonextensivity at criticality. Phys. Rev. Lett. 1999, 83, 2289–2292. [Google Scholar] [CrossRef]
  20. Borges, E.P.; Tsallis, C.; Anãnõs, G.F.J.; de Oliveira, P.M.C. Nonequilibrium probabilistic dynamics at the logistic map edge of chaos. Phys. Rev. Lett. 2002, 89, 254103. [Google Scholar] [CrossRef]
  21. Hasegawa, H. Nonextensive thermodynamics of the two-site Hubbard model. Physica A 2005, 351, 273–285. [Google Scholar] [CrossRef]
  22. Sotolongo-Costa, O.; Rodriguez, A.; Rodgers, G. Tsallis Entropy and the Transition to Scaling in Fragmentation. Entropy 2000, 2, 172–177. [Google Scholar] [CrossRef]
  23. Sotolongo-Costa, O.; Posadas, A. Fragment-asperity interaction model for earthquakes. Phys. Rev. Lett. 2004, 92, 048501. [Google Scholar] [CrossRef] [PubMed]
  24. Silva, R.; França, G.; Vilar, C.; Alcaniz, J. Nonextensive models for earthquakes. Phys. Rev. E. 2006, 73, 026102. [Google Scholar] [CrossRef] [PubMed]
  25. Varotsos, P.A.; Sarlis, N.V.; Skordas, E.S. Study of the temporal correlations in the magnitude time series before major earthquakes in Japan. J. Geophys. Res. 2014, 119, 9192–9206. [Google Scholar] [CrossRef]
  26. Varotsos, P.; Sarlis, N.; Skordas, E.S. Tsallis Entropy Index q and the Complexity Measure of Seismicity in Natural Time under Time Reversal before the M9 Tohoku Earthquake in 2011. Entropy 2018, 20, 757. [Google Scholar] [CrossRef]
  27. Beck, C.; Lewis, G.S.; Swinney, H.L. Measuring nonextensitivity parameters in a turbulent Couette-Taylor flow. Phys. Rev. E 2001, 63, 035303. [Google Scholar] [CrossRef]
  28. Gravanis, E.; Akylas, E.; Panagiotou, C.; Livadiotis, G. Kappa distributions and isotropic turbulence. Entropy 2019, 21, 1093. [Google Scholar] [CrossRef]
  29. Livadiotis, G. Approach on Tsallis statistical interpretation of hydrogen-atom by adopting the generalized radial distribution function. J. Math. Chem. 2009, 45, 930–939. [Google Scholar] [CrossRef]
  30. Tsallis, C.; Anjos, J.C.; Borges, E.P. Fluxes of cosmic rays: A delicately balanced stationary state. Phys. Lett. A 2003, 310, 372–376. [Google Scholar] [CrossRef]
  31. Sakagami, M.; Taruya, A. Self-gravitating stellar systems and non-extensive thermostatistics. Contin. Mech. Thermodyn. 2004, 16, 279–292. [Google Scholar] [CrossRef]
  32. Livadiotis, G. Kappa Distribution: Theory & Applications in Plasmas, 1st ed.; Elsevier: Amsterdam, The Netherlands, 2017. [Google Scholar]
  33. Swinney, H.L.; Tsallis, C. Anomalous distributions, nonlinear dynamics, and nonextensivity. Physica D 2004, 193, 1–2. [Google Scholar] [CrossRef]
  34. Gell-Mann, M.; Tsallis, C. Nonextensive Entropy: Interdisciplinary Applications; Oxford University Press: Oxford, UK, 2004. [Google Scholar]
  35. Tsallis, C. Introduction to Nonextensive Statistical Mechanics; Springer-Verlag New York: New York, NY, USA, 2009. [Google Scholar]
  36. Tsallis, C. Computational applications of nonextensive statistical mechanics. J. Comput. Appl. Math. 2009, 227, 51–58. [Google Scholar] [CrossRef]
  37. Livadiotis, G.; McComas, D.J. Beyond kappa distributions: Exploiting Tsallis statistical mechanics in space plasmas. J. Geophys. Res. 2009, 114, A11105. [Google Scholar] [CrossRef]
  38. Treumann, R.A. Theory of superdiffusion for the magnetopause. Geophys. Res. Lett. 1997, 24, 1727–1730. [Google Scholar] [CrossRef]
  39. Milovanov, A.V.; Zelenyi, L.M. Functional background of the Tsallis entropy: “coarse-grained” systems and “kappa” distribution functions. Nonlin. Process. Geophys. 2000, 7, 211–221. [Google Scholar] [CrossRef]
  40. Leubner, M.P. A nonextensive entropy approach to kappa distributions. Astrophys. Space Sci. 2002, 282, 573–579. [Google Scholar] [CrossRef]
  41. Livadiotis, G.; McComas, D.J. Understanding kappa distributions: A toolbox for space science and astrophysics. Space Sci. Rev. 2013, 75, 183–214. [Google Scholar] [CrossRef]
  42. Livadiotis, G. Statistical background and properties of kappa distributions in space plasmas. J. Geophys. Res. 2015, 120, 1607–1619. [Google Scholar] [CrossRef]
  43. Collier, M.R.; Hamilton, D.C.; Gloeckler, G.; Bochsler, P.; Sheldon, R.B. Neon-20, oxygen-16, and helium-4 densities, temperatures, and suprathermal tails in the solar wind determined with WIND/MASS. Geophys. Res. Lett. 1996, 23, 1191–1194. [Google Scholar] [CrossRef]
  44. Maksimovic, M.; Pierrard, V.; Lemaire, J. A kinetic model of the solar wind with Kappa distributions in the corona. Astron. Astrophys. 1997, 324, 725–734. [Google Scholar]
  45. Pierrard, V.; Maksimovic, M.; Lemaire, J. Electron velocity distribution function from the solar wind to the corona. J. Geophys. Res. 1999, 104, 17021–17032. [Google Scholar] [CrossRef]
  46. Lamy, H.; Pierrard, V.; Maksimovic, M.; Lemaire, J.F. A kinetic exospheric model of the solar wind with a nonmonotonic potential energy for the protons. J. Geophys. Res. 2003, 108, 1047. [Google Scholar] [CrossRef]
  47. Marsch, E. Kinetic physics of the solar corona and solar wind. Living Rev. Sol. Phys. 2006, 3, 1. [Google Scholar] [CrossRef]
  48. Zouganelis, I. Measuring suprathermal electron parameters in space plasmas: Implementation of the quasi-thermal noise spectroscopy with kappa distributions using in situ Ulysses/URAP radio measurements in the solar wind. J. Geophys. Res. 2008, 113, A08111. [Google Scholar] [CrossRef]
  49. Štverák, Š.; Trávníček, P.; Maksimovic, M.; Marsch, E.; Fazakerley, A.N.; Scime, E.E. Electron temperature anisotropy constraints in the solar wind. J. Geophys. Res. 2008, 113, A03103. [Google Scholar] [CrossRef]
  50. Livadiotis, G.; McComas, D.J. Exploring transitions of space plasmas out of equilibrium. Astrophys. J. 2010, 714, 971. [Google Scholar] [CrossRef]
  51. Livadiotis, G.; McComas, D.J. The influence of pick-up ions on space plasma distributions. Astrophys. J. 2011, 738, 64. [Google Scholar] [CrossRef]
  52. Livadiotis, G.; McComas, D.J. Fitting method based on correlation maximization: Applications in Astrophysics. J. Geophys. Res. 2013, 118, 2863–2875. [Google Scholar] [CrossRef]
  53. Zaheer, S.; Yoon, P.H. On quiet-time solar wind electron distributions in dynamical equilibrium with langmuir turbulence. Astrophys. J. 2013, 775, 108. [Google Scholar] [CrossRef]
  54. Yoon, P.H. Electron kappa distribution and quasi-thermal noise. J. Geophys. Res. 2014, 119, 7074. [Google Scholar] [CrossRef]
  55. Pierrard, V.; Pieters, M. Coronal heating and solar wind acceleration for electrons, protons, and minor ions, obtained from kinetic models based on kappa distributions. J. Geophys. Res. 2015, 119, 9441. [Google Scholar] [CrossRef]
  56. Pavlos, G.P.; Malandraki, O.E.; Pavlos, E.G.; Iliopoulos, A.C.; Karakatsanis, L.P. Non-extensive statistical analysis of magnetic field during the March 2012 ICME event using a multi-spacecraft approach. Physica A 2016, 464, 149–181. [Google Scholar] [CrossRef]
  57. Livadiotis, G. Using kappa distributions to identify the potential energy. J. Geophys. Res. 2018, 123, 1050–1060. [Google Scholar] [CrossRef]
  58. Livadiotis, G.; Desai, M.I.; Wilson III, L.B. Generation of kappa distributions in solar wind at 1 AU. Astrophys. J. 2018, 853, 142. [Google Scholar] [CrossRef]
  59. Dzifčáková, E.; Dudík, J. H to Zn ionization equilibrium for the non-Maxwellian electron κ-distributions: Updated calculations. Astrophys. J. Suppl. Ser. 2013, 206, 6. [Google Scholar] [CrossRef]
  60. Dzifčáková, E.; Dudík, J.; Kotrč, P.; Fárník, F.; Zemanová, A. KAPPA: A package for synthesis of optically thin spectra for the non-Maxwellian κ-distributions based on the Chianti database. Astrophys. J. Suppl. Ser. 2015, 217, 14. [Google Scholar] [CrossRef]
  61. Dzifčáková, E.; Dudík, J. Non-equilibrium ionization by a periodic electron beam. II. Synthetic Si IV and O IV transition region spectra. Astron. Astrophys. 2018, 610, A67. [Google Scholar] [CrossRef]
  62. Owocki, S.P.; Scudder, J.D. The effect of a non-Maxwellian electron distribution on oxygen and iron ionization balances in the solar corona. Astrophys. J. 1983, 270, 758–768. [Google Scholar] [CrossRef]
  63. Vocks, C.; Mann, G.; Rausche, G. Formation of suprathermal electron distributions in the quiet solar corona. Astron. Astrophys. 2008, 480, 527–536. [Google Scholar] [CrossRef]
  64. Lee, E.; Williams, D.R.; Lapenta, G. Spectroscopic indication of suprathermal ions in the solar corona, 2013. Available online: https://arxiv.org/abs/1305.2939 (accessed on 22 May 2020).
  65. Cranmer, S.R. Suprathermal electrons in the solar corona: Can nonlocal transport explain heliospheric charge states? Astrophys. J. Lett. 2014, 791, L31. [Google Scholar] [CrossRef]
  66. Xiao, F.; Shen, C.; Wang, Y.; Zheng, H.; Whang, S. Energetic electron distributions fitted with a kappa-type function at geosynchronous orbit. J. Geophys. Res. 2008, 113, A05203. [Google Scholar] [CrossRef]
  67. Laming, J.M.; Moses, J.D.; Ko, Y.-K.; Ng, C.K.; Rakowski, C.E.; Tylka, A.J. On the remote detection of suprathermal ions in the solar corona and their role as seeds for solar energetic particle production. Astrophys. J. 2013, 770, 73. [Google Scholar] [CrossRef]
  68. Pavlos, E.G.; Malandraki, O.E.; Khabarova, O.V.; Karakatsanis, L.P.; Pavlos, G.P.; Livadiotis, G. Non-extensive statistical analysis of energetic particle flux enhancements caused by the interplanetary Coronal Mass Ejection—Heliospheric current sheet interaction. Entropy 2019, 21, 648. [Google Scholar] [CrossRef]
  69. Chotoo, K.; Schwadron, N.A.; Mason, G.M.; Zurbuchen, T.H.; Gloeckler, G.; Posner, A.; Fisk, L.A.; Galvin, A.B.; Hamilton, D.C.; Collier, M.R. The suprathermal seed population for corotaing interaction region ions at 1AU deduced from composition and spectra of H+, He++, and He+ observed by Wind. J. Geophys. Res. 2000, 105, 23107–23122. [Google Scholar] [CrossRef]
  70. Mann, G.; Classen, H.T.; Keppler, E.; Roelof, E.C. On electron acceleration at CIR related shock waves. Astron. Astrophys. 2002, 391, 749–756. [Google Scholar] [CrossRef]
  71. Mann, G.; Warmuth, A.; Aurass, H. Generation of highly energetic electrons at reconnection outflow shocks during solar flares. Astron. Astrophys. 2009, 494, 669–675. [Google Scholar] [CrossRef]
  72. Livadiotis, G.; McComas, D.J. Evidence of large scale phase space quantization in plasmas. Entropy 2013, 15, 1118–1132. [Google Scholar] [CrossRef]
  73. Bian, N.; Emslie, G.A.; Stackhouse, D.J.; Kontar, E.P. The formation of a kappa-distribution accelerated electron populations in solar flares. Astrophys. J. 2014, 796, 142. [Google Scholar] [CrossRef]
  74. Jeffrey, N.L.S.; Fletcher, L.; Labrosse, N. First evidence of non-Gaussian solar flare EUV spectral line profiles and accelerated non-thermal ion motion. Astron. Astrophys. 2016, 590, A99. [Google Scholar] [CrossRef]
  75. Dzifčáková, E.; Karlický, M. Effects of electron distribution anisotropy in spectroscopic diagnostics of solar flares. Astron. Astrophys. 2018, 618, A176. [Google Scholar] [CrossRef]
  76. Livadiotis, G. Rankine-Hugoniot shock conditions for space and astrophysical plasmas described by kappa distributions. Astrophys. J. 2019, 886, 3. [Google Scholar] [CrossRef]
  77. Olbert, S. Summary of experimental results from M.I.T. detector on IMP-1. In Physics of the Magnetosphere; Carovillano, R.L., McClay, J.F., Radoski, H.R., Eds.; Springer: New York, NY, USA, 1968; p. 641. [Google Scholar]
  78. Vasyliũnas, V.M. A survey of low-energy electrons in the evening sector of the magnetosphere with OGO 1 and OGO 3. J. Geophys. Res. 1968, 73, 2839–2884. [Google Scholar] [CrossRef]
  79. Formisano, V.; Moreno, G.; Palmiotto, F.; Hedgecock, P.C. Solar Wind Interaction with the Earth’s Magnetic Field 1. Magnetosheath. J. Geophys. Res. 1973, 78, 3714–3730. [Google Scholar] [CrossRef]
  80. Ogasawara, K.; Angelopoulos, V.; Dayeh, M.A.; Fuselier, S.A.; Livadiotis, G.; McComas, D.J.; McFadden, J.P. Characterizing the dayside magnetosheath using ENAs: IBEX and THEMIS observations. J. Geophys. Res. 2013, 118, 3126–3137. [Google Scholar] [CrossRef]
  81. Ogasawara, K.; Dayeh, M.A.; Funsten, H.O.; Fuselier, S.A.; Livadiotis, G.; McComas, D.J. Interplanetary magnetic field dependence of the suprathermal energetic neutral atoms originated in subsolar magnetopause. J. Geophys. Res. 2015, 120, 964–972. [Google Scholar] [CrossRef]
  82. Grabbe, C. Generation of broadband electrostatic waves in Earth’s magnetotail. Phys. Rev. Lett. 2000, 84, 3614. [Google Scholar] [CrossRef]
  83. Pisarenko, N.F.; Budnik, E.Y.; Ermolaev, Y.I.; Kirpichev, I.P.; Lutsenko, V.N.; Morozova, E.I.; Antonova, E.E. The ion differential spectra in outer boundary of the ring current: November 17, 1995 case study. J. Atm. Solar-Terr. Phys. 2002, 64, 573–583. [Google Scholar] [CrossRef]
  84. Wang, C.-P.; Lyons, L.R.; Chen, M.W.; Wolf, R.A.; Toffoletto, F.R. Modeling the inner plasma sheet protons and magnetic field under enhanced convection. J. Geophys. Res. 2003, 108, 1074. [Google Scholar] [CrossRef]
  85. Kletzing, C.A.; Scudder, J.D.; Dors, E.E.; Curto, C. Auroral source region: Plasma properties of the high latitude plasma sheet. J. Geophys. Res. 2003, 108, 1360. [Google Scholar] [CrossRef]
  86. Christon, S.P. A comparison of the Mercury and earth magnetospheres: Electron measurements and substorm time scales. Icarus 1987, 71, 448–471. [Google Scholar] [CrossRef]
  87. Hapgood, M.; Perry, C.; Davies, J.; Denton, M. The role of suprathermal particle measurements in CrossScale studies of collisionless plasma processes. Planet. Space Sci. 2011, 59, 618–629. [Google Scholar] [CrossRef]
  88. Ogasawara, K.; Livadiotis, G.; Grubbs, G.A.; Jahn, J.-M.; Michell, R.; Samara, M.; Sharber, J.R.; Winningham, J.D. Properties of suprathermal electrons associated with discrete auroral arcs. Geophys. Res. Lett. 2017, 44, 3475–3484. [Google Scholar] [CrossRef]
  89. Collier, M.R.; Hamilton, D.C. The relationship between kappa and temperature in the energetic ion spectra at Jupiter. Geophys. Res. Lett. 1995, 22, 303–306. [Google Scholar] [CrossRef]
  90. Mauk, B.H.; Mitchell, D.G.; McEntire, R.W.; Paranicas, C.P.; Roelof, E.C.; Williams, D.J.; Krimigis, S.M.; Lagg, A. Energetic ion characteristics and neutral gas interactions in Jupiter’s magnetosphere. J. Geophys. Res. 2004, 109, A09S12. [Google Scholar] [CrossRef]
  91. Nicolaou, G.; Livadiotis, G.; Moussas, X. Long term variability of the polytropic Index of solar wind protons at ~1AU. Sol. Phys. 2014, 289, 1371–1378. [Google Scholar] [CrossRef]
  92. Kim, T.K.; Ebert, R.W.; Valek, P.W.; Allegrini, F.; McComas, D.J.; Bagenal, F.; Chae, K.; Livadiotis, G.; Loeffler, C.E.; Pollock, C.; et al. Method to derive ion properties from Juno JADE including abundance estimates for O+ and S2+. J. Geophys. Res. 2020, 125, e2018JA026169. [Google Scholar] [CrossRef]
  93. Schippers, P.; Blanc, M.; André, N.; Dandouras, I.; Lewis, G.R.; Gilbert, L.K.; Persoon, A.M.; Krupp, N.; Gurnett, D.A.; Coates, A.J.; et al. Multi-instrument analysis of electron populations in Saturn’s magnetosphere. J. Geophys. Res. 2008, 113, A07208. [Google Scholar] [CrossRef]
  94. Dialynas, K.; Krimigis, S.M.; Mitchell, D.G.; Hamilton, D.C.; Krupp, N.; Brandt, P.C. Energetic ion spectral characteristics in the Saturnian magnetosphere using Cassini/MIMI measurements. J. Geophys. Res. 2009, 114, A01212. [Google Scholar] [CrossRef]
  95. Livi, R.; Goldstein, J.; Burch, J.L.; Crary, F.; Rymer, A.M.; Mitchell, D.G.; Persoon, A.M. Multi-instrument analysis of plasma parameters in Saturn’s equatorial, inner magnetosphere using corrections for spacecraft potential and penetrating background radiation. J. Geophys. Res. 2014, 119, 3683. [Google Scholar] [CrossRef]
  96. Carbary, J.F.; Kane, M.; Mauk, B.H.; Krimigis, S.M. Using the kappa function to investigate hot plasma in the magnetospheres of the giant planets. J. Geophys. Res. 2014, 119, 8426–8447. [Google Scholar] [CrossRef]
  97. Dialynas, K.; Roussos, E.; Regoli, L.; Paranicas, C.P.; Krimigis, S.M.; Kane, M.; Mitchell, D.G.; Hamilton, D.C.; Krupp, N.; Carbary, J.F. Energetic ion moments and polytropic index in Saturn’s magnetosphere using Cassini/MIMI measurements: A simple model based on κ-distribution functions. J. Geophys. Res. 2018, 123, 8066–8086. [Google Scholar] [CrossRef]
  98. Mauk, B.H.; Krimigis, S.M.; Keath, E.P.; Cheng, A.F.; Armstrong, T.P.; Lanzerotti, L.J.; Gloeckler, G.; Hamilton, D.C. The hot plasma and radiation environment of the Uranian magnetosphere. J. Geophys. Res. 1987, 92, 15283. [Google Scholar] [CrossRef]
  99. Krimigis, S.M.; Armstrong, T.P.; Axford, W.I.; Bostrom, C.O.; Cheng, A.F.; Gloeckler, G.; Hamilton, D.C.; Keath, E.P.; Lanzerotti, L.J.; Mauk, B.H.; et al. Hot plasma and energetic particles in Neptune’s magnetosphere. Science 1989, 246, 1483. [Google Scholar] [CrossRef] [PubMed]
  100. Moncuquet, M.; Bagenal, F.; Meyer-Vernet, N. Latitudinal structure of the outer Io plasma torus. J. Geophys. Res. 2002, 108, 1260. [Google Scholar] [CrossRef]
  101. Jurac, S.; McGrath, M.A.; Johnson, R.E.; Richardson, J.D.; Vasyliunas, V.M.; Eviatar, A. Saturn: Search for a missing water source. Geophys. Res. Lett. 2002, 29, 2172. [Google Scholar]
  102. Broiles, T.W.; Livadiotis, G.; Burch, J.L.; Chae, K.; Clark, G.; Cravens, T.E.; Davidson, R.; Eriksson, A.; Frahm, R.A.; Fuselier, S.A.; et al. Characterizing cometary electrons with kappa distributions. J. Geophys. Res. 2016, 121, 7407–7422. [Google Scholar] [CrossRef]
  103. Decker, R.B.; Krimigis, S.M. Voyager observations of low-energy ions during solar cycle 23. Adv. Space Res. 2003, 32, 597–602. [Google Scholar] [CrossRef]
  104. Decker, R.B.; Krimigis, S.M.; Roelof, E.C.; Hill, M.E.; Armstrong, T.P.; Gloeckler, G.; Hamilton, D.C.; Lanzerotti, L.J. Voyager 1 in the foreshock, termination shock, and heliosheath. Science 2005, 309, 2020–2024. [Google Scholar] [CrossRef]
  105. Heerikhuisen, J.; Pogorelov, N.V.; Florinski, V.; Zank, G.P.; le Roux, J.A. The effects of a k-distribution in the heliosheath on the global heliosphere and ENA flux at 1 AU. Astrophys. J. 2008, 682, 679–689. [Google Scholar] [CrossRef]
  106. Heerikhuisen, J.; Zirnstein, E.; Pogorelov, N. κ-distributed protons in the solar wind and their charge-exchange coupling to energetic hydrogen. J. Geophys. Res. 2015, 120, 1516–1525. [Google Scholar] [CrossRef]
  107. Zank, G.P.; Heerikhuisen, J.; Pogorelov, N.V.; Burrows, R.; McComas, D.J. Microstructure of the heliospheric termination shock: Implications for energetic neutral atom observations. Astrophys. J. 2010, 708, 1092. [Google Scholar] [CrossRef]
  108. Livadiotis, G.; McComas, D.J.; Dayeh, M.A.; Funsten, H.O.; Schwadron, N.A. First sky map of the inner heliosheath temperature using IBEX spectra. Astrophys. J. 2011, 734, 1. [Google Scholar] [CrossRef]
  109. Livadiotis, G.; McComas, D.J.; Randol, B.; Mӧbius, E.; Dayeh, M.A.; Frisch, P.C.; Funsten, H.O.; Schwadron, N.A.; Zank, G.P. Pick-up ion distributions and their influence on ENA spectral curvature. Astrophys. J. 2012, 751, 64. [Google Scholar] [CrossRef]
  110. Livadiotis, G.; McComas, D.J.; Schwadron, N.A.; Funsten, H.O.; Fuselier, S.A. Pressure of the proton plasma in the inner heliosheath. Astrophys. J. 2013, 762, 134. [Google Scholar] [CrossRef]
  111. Livadiotis, G.; McComas, D.J. Measure of the departure of the q-metastable stationary states from equilibrium. Phys. Scr. 2010, 82, 035003. [Google Scholar] [CrossRef]
  112. Livadiotis, G.; McComas, D.J. Invariant kappa distribution in space plasmas out of equilibrium. Astrophys. J. 2011, 741, 88. [Google Scholar] [CrossRef]
  113. Livadiotis, G.; McComas, D.J. Non-equilibrium thermodynamic processes: Space plasmas and the inner heliosheath. Astrophys. J. 2012, 749, 11. [Google Scholar] [CrossRef]
  114. Livadiotis, G. Lagrangian temperature: Derivation and physical meaning for systems described by kappa distributions. Entropy 2014, 16, 4290–4308. [Google Scholar] [CrossRef]
  115. Livadiotis, G. Curie law for systems described by kappa distributions. Europhys. Lett. 2016, 113, 10003. [Google Scholar] [CrossRef]
  116. Fuselier, S.A.; Allegrini, F.; Bzowski, M.; Dayeh, M.A.; Desai, M.; Funsten, H.O.; Galli, A.; Heirtzler, D.; Janzen, P.; Kubiak, M.A.; et al. Low energy neutral atoms from the heliosheath. Astrophys. J. 2014, 784, 89. [Google Scholar] [CrossRef]
  117. Zirnstein, E.J.; McComas, D.J. Using kappa functions to characterize outer heliosphere proton distributions in the presence of charge-exchange. Astrophys. J. 2015, 815, 31. [Google Scholar] [CrossRef]
  118. Dialynas, K.; Krimigis, S.M.; Decker, R.B.; Mitchell, D.G. Plasma pressures in the heliosheath from Cassini ENA and Voyager 2 measurements: Validation by the Voyager 2 heliopause crossing. Geophys. Res. Lett. 2019, 46, 7911–7919. [Google Scholar] [CrossRef]
  119. Swaczyna, P.; McComas, D.J.; Schwadron, N.A. Non-equilibrium distributions of interstellar neutrals and the temperature of the local interstellar medium. Astrophys. J. 2019, 871, 254. [Google Scholar] [CrossRef]
  120. DeStefano, A.M.; Heerikhuisen, J. Analytic solution to charge-exchange source terms between Maxwellian and kappa-distributed velocity distributions in the heliosphere. Phys. Plasmas 2020, 27, 032901. [Google Scholar] [CrossRef]
  121. Livadiotis, G. Thermal Doppler broadening of spectral emissions by space plasma particles. Astrophys. J. Suppl. Ser. 2018, 239, 25. [Google Scholar] [CrossRef]
  122. Nicholls, D.C.; Dopita, M.A.; Sutherland, R.S. Resolving the electron temperature discrepancies in HII regions and planetary nebulae: κ-distributed Electrons. Astrophys. J. 2012, 752, 148. [Google Scholar] [CrossRef]
  123. Nicholls, D.C.; Dopita, M.A.; Sutherland, R.S.; Kewley, L.J.; Palay, E. Measuring nebular temperatures: The effect of new collision strengths with equilibrium and κ-distributed electron energies. Astrophys. J. Supp. 2013, 207, 21. [Google Scholar] [CrossRef]
  124. Zhang, Y.; Liu, X.-W.; Zhang, B. H-I free-bound emission of planetary nebulae with large abundance discrepancies: Two-component models vs. κ-distributed electrons. Astrophys. J. 2014, 780, 93. [Google Scholar] [CrossRef]
  125. Raymond, J.C.; Winkler, P.F.; Blair, W.P.; Lee, J.-J.; Park, S. Non-Maxwellian Hα profiles in Tycho’s supernova remnant. Astrophys. J. 2010, 712, 901. [Google Scholar] [CrossRef]
  126. Leubner, M. Nonextensive statistics in astro-particle physics: Status and impact for dark matter/dark energy theory. In Dark Matter in Astrophysics and Particle Physics; World Scientific: Singapore, 2009; pp. 194–205. [Google Scholar]
  127. Hou, S.Q.; He, J.J.; Parikh, A.; Kahl, D.; Bertulani, C.A.; Kajino, T.; Mathews, G.J.; Zhao, G. Non-extensive statistics to the cosmological lithium problem. Astrophys. J. 2017, 834, 165. [Google Scholar] [CrossRef]
  128. Gibbs, J.W. Elementary Principles in Statistical Mechanics; Scribner’s Sons: New York, NY, USA, 1902. [Google Scholar]
  129. Livadiotis, G. On the simplification of statistical mechanics for space plasmas. Entropy 2017, 19, 285. [Google Scholar] [CrossRef]
  130. Livadiotis, G. Derivation of the entropic formula for the statistical mechanics of space plasmas. Nonlin. Processes Geophys. 2018, 25, 77–88. [Google Scholar] [CrossRef]
  131. Livadiotis, G. Thermodynamic origin of kappa distributions. Europhys. Lett. 2018, 122, 50001. [Google Scholar] [CrossRef]

Article Metrics

Citations

Article Access Statistics

Multiple requests from the same IP address are counted as one view.