Statistical Characteristics of Stationary Flow of Substance in a Network Channel Containing Arbitrary Number of Arms
Abstract
1. Introduction
2. Results
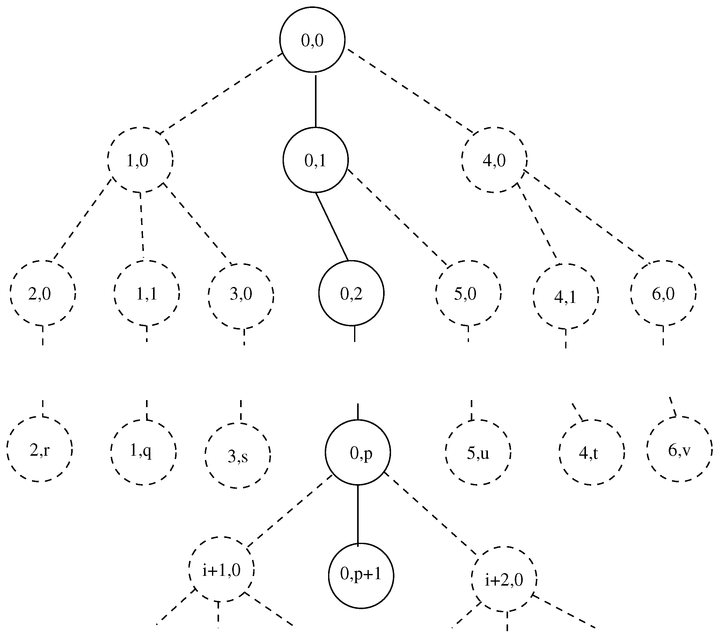
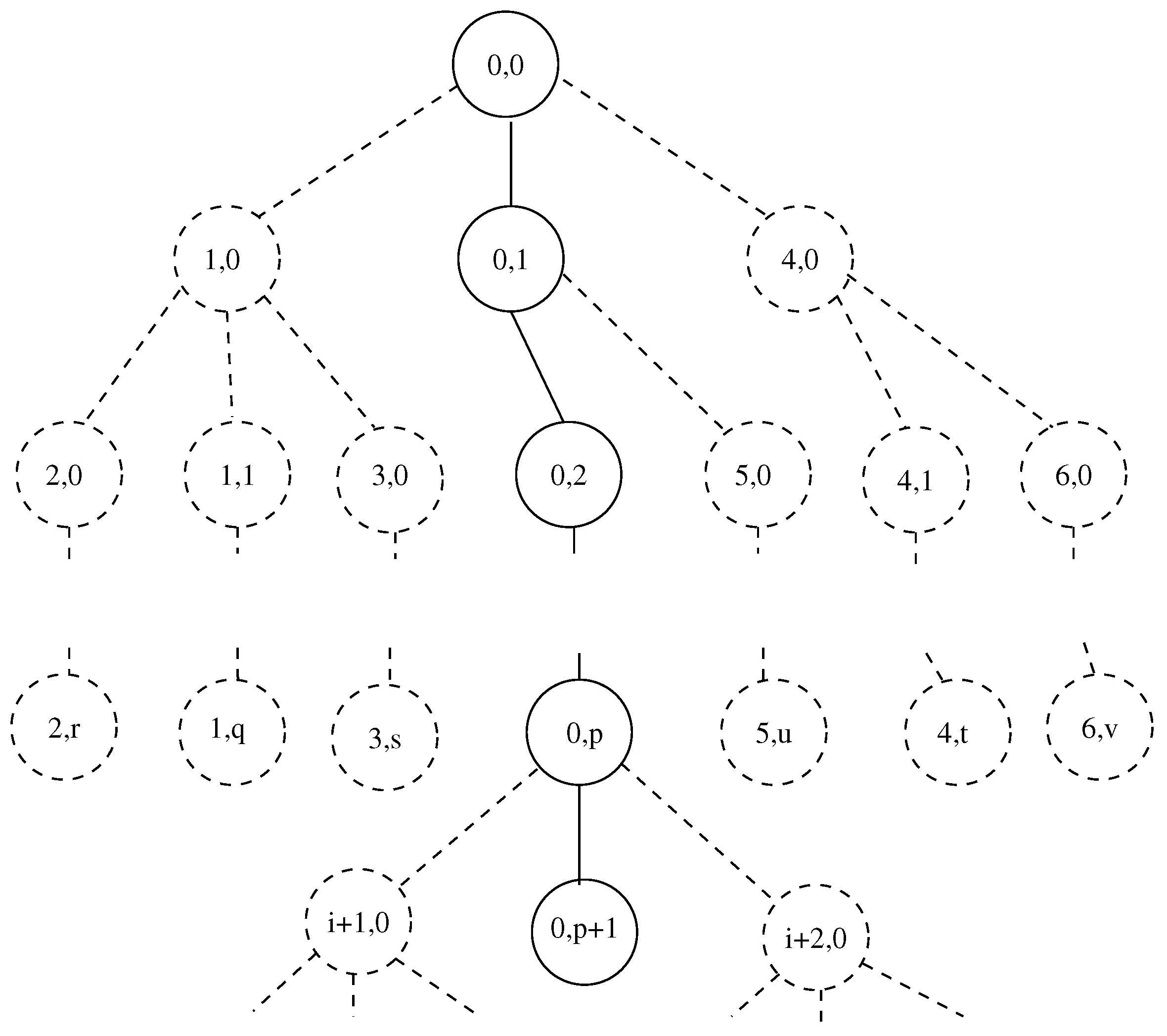
2.1. Flow of Substance in a Channel Consisting of Arms Containing Infinite Number of Nodes Each
- Some amount of substance enters arm q from external environment through 0-th cell of corresponding arm. We consider two kinds of external environments for an arm of the channel
- (a)
- For the root of the channel (arm with label ): substance enters the root through environment of the channel
- (b)
- For the arms of the channel which are not root (i.e., which number is ): Substance is part of substance presented in node of parent arm. This substance “leaks” from the parent arm to corresponding child arm.
The substance is presented only in node 0 of q-th arm of channel. For other nodes of channel there is no substance which enters the node from environment of channel. - Amount from is transferred from the i-th cell to ()-th cell of q-th arm;
- Amount of leaks out i-th cell of q-th arm to environment of the arm of channel. This leakage can be of two kinds
- (a)
- Leakage to the environment of channel: this kind of leakage leads to loss of substance for the channel
- (b)
- Leakage to other arms of the channel which begin from the node b of the arm a: This leakage is connected to the substance which enters corresponding child arm of channel which splits from node b of arm a.
2.2. Theory for the Case of Channel Consisting of Arms Containing Finite Number of Nodes
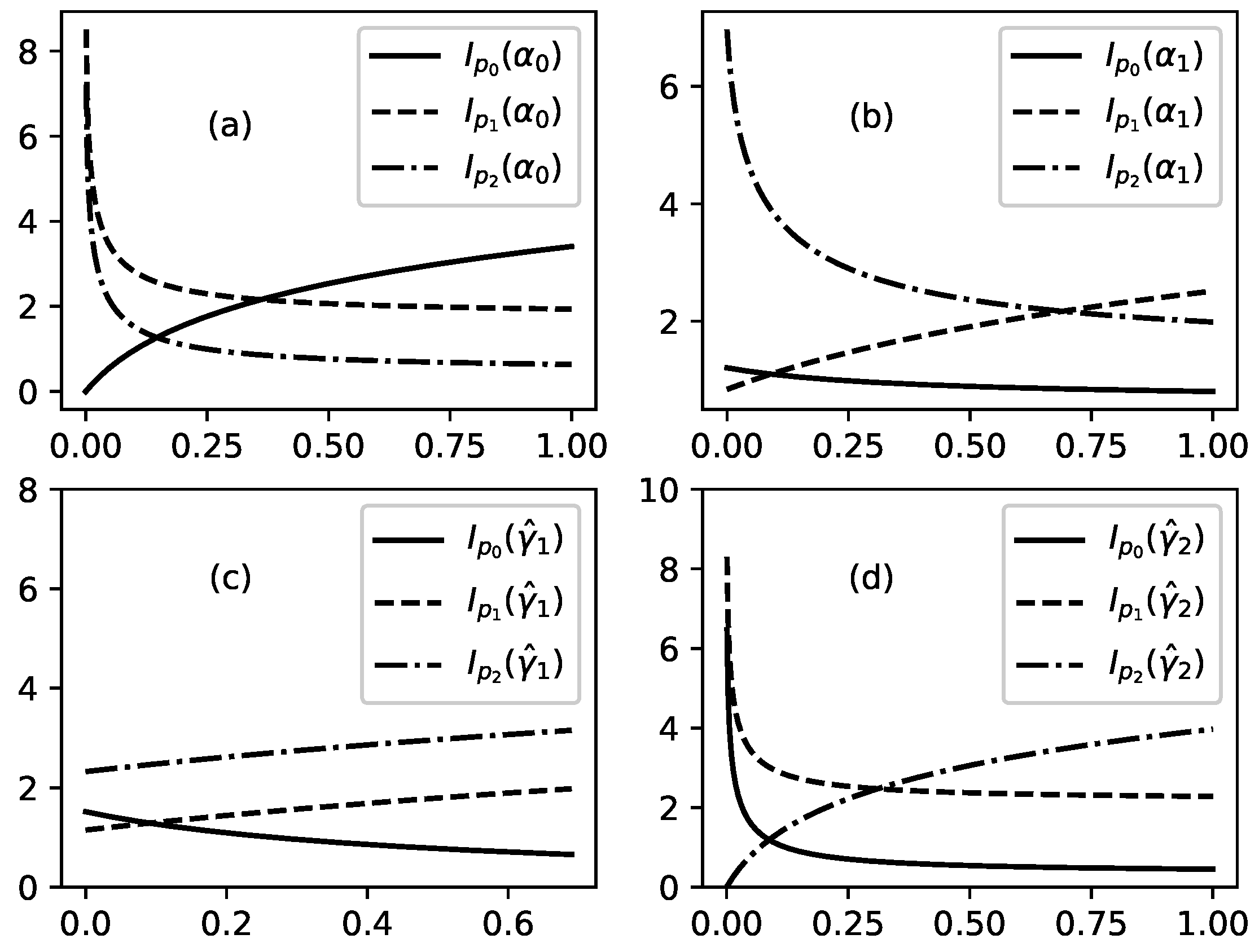
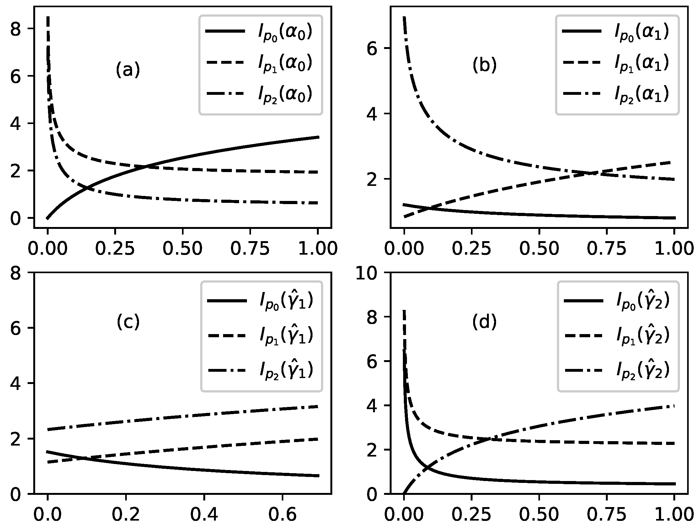
3. Information Measures Connected to Obtained Probability Distributions
- (): flow between first and second node,
- (): flow between second and third node,
- (): preference for the third node,
- (): leakage from the second node,
- (): leakage from the third node.
4. Discussion
5. Concluding Remarks
Author Contributions
Funding
Conflicts of Interest
References
- Marsan, G.A.; Bellomo, N.; Tosin, A. Complex Systems and Society: Modeling and Simulation; Springer: New York, NY, USA, 2013; ISBN 978-1-4614-7241-4. [Google Scholar]
- Amaral, L.A.N.; Ottino, J.M. Complex Networks. Augmenting and Framework for the Study of Complex Systems. Eur. Phys. J. B 2004, 38, 147–162. [Google Scholar] [CrossRef]
- Vitanov, N.K. Science Dynamics and Research Production. Indicators, Indexes, Statistical Laws and Mathematical Models; Springer: Cham, Switzerland, 2016; ISBN 978-3-319-41629-8. [Google Scholar]
- Blasius, B.; Kurts, J.; Stone, L. (Eds.) Complex Population Dynamics. Nonlinear Modeling in Ecology, Epidemiology and Genetics; World Scientific: Singapore, 2007; ISBN 978-9-812-77157-5. [Google Scholar]
- Vitanov, N.K.; Dimitrova, Z.I.; Ausloos, M. Verhulst-Lotka-Volterra Model of Ideological Struggle. Physica A 2010, 389, 4970–4980. [Google Scholar] [CrossRef][Green Version]
- Boccaletti, S.; Latora, V.; Moreno, Y.; Chavez, M.; Hwang, D.U. Complex Networks: Structure and Dynamics. Phys. Rep. 2006, 424, 175–308. [Google Scholar] [CrossRef]
- Bertin, F. Statistical Physics of Complex Systems; Springer: Charm, Switzerland, 2016; ISBN 978-3-319-42338-8. [Google Scholar]
- Vitanov, N.K.; Dimitrova, Z.I.; Vitanov, K.N. Traveling Waves and Statistical Distributions Connected to Systems of Interacting Populations. Comput. Math. Appl. 2013, 66, 1666–1684. [Google Scholar] [CrossRef]
- Pastor-Sattoras, R.; Vespignani, A. Epidemic Dynamics and Endemic States in Complex Networks. Phys. Rev. E 2001, 63, 066117. [Google Scholar] [CrossRef]
- Vitanov, N.K.; Ausloos, M.; Rotundo, G. Discrete Model of Ideological Struggle Accounting for Migration. Adv. Complex Syst. 2012, 15, 1250049. [Google Scholar] [CrossRef]
- Ricard, J. Biological Complexity and the Dynamics of Life Processes; Elsevier: Amsterdam, The Netherlands, 1999; ISBN 978-0-444-50081-6. [Google Scholar]
- Kalyagin, V.A.; Pardalos, P.M.; Rassias, T.M. (Eds.) Network Models in Economics and Finance; Springer: Charm, Switzerland, 2014; ISBN 978-3-319-09682-7. [Google Scholar]
- Nakagawa, S.; Shikano, K.; Tohkura, Y. Speech, Hearing and Neural Network Models; IOS Press: Amsterdam, The Netherlands, 1995; ISBN 978-90-5199-178-9. [Google Scholar]
- Castillo, E.; Gutierrez, J.M.; Hadi, A.S. Expert Systems and Probabilistic Network Models; Springer: New York, NY, USA, 1997; ISBN 978-1-4612-7481-0. [Google Scholar]
- Ramos, P.P. Network Models for Organizations; Palgrawe Makmillan: New York, NY, USA, 2012; ISBN 978-0-230-32016-1. [Google Scholar]
- Carrington, P.J.; Scott, J.; Wasserman, S. Models and Methods in Social Network Analysis; Cambridge University Press: Cambridge, UK, 2005; ISBN 978-0-511-81139-5. [Google Scholar]
- Chan, W.-K. Theory of Nets: Flows in Networks; Wiley: New York, NY, USA, 1990; ISBN 978-0-471-85148-6. [Google Scholar]
- Albert, R.; Barabasi, A.-L. Statistical Mechanics of Complex Networks. Rev. Mod. Phys. 2002, 74, 47–97. [Google Scholar] [CrossRef]
- Dorogovtsev, S.N.; Mendes, J.F.F. Evolution of networks. Adv. Phys. 2002, 51, 1079–1187. [Google Scholar] [CrossRef]
- Ford, L.D., Jr.; Fulkerson, D.R. Flows in Networks; Princeton University Press: Princeton, NJ, USA, 1962; ISBN 978-0-691-14667-6. [Google Scholar]
- Harris, J.R.; Todaro, M.O. Migration, Unemployment and Development: A Two-Sector Analysis. Am. Econ. Rev. 1970, 60, 126–142. [Google Scholar]
- Fawcet, J.T. Networks, Linkages, and Migration Systems. Int. Migr. Rev. 1989, 23, 671–680. [Google Scholar] [CrossRef]
- Vitanov, N.K.; Vitanov, K.N. Box Model of Migration Channels. Math. Soc. Sci. 2016, 80, 108–114. [Google Scholar] [CrossRef]
- Schubert, A.; Glänzel, W. A Dynamic Look at a Class of Skew Distributions. A model with Scientometric Applications. Scientometrics 1984, 6, 149–167. [Google Scholar] [CrossRef]
- Gartner, N.H.; Imrota, G. (Eds.) Urban Traffic Networks. Dynamic Flow Modeling and Control; Springer: Berlin, Germany, 1995; ISBN 978-3-642-79643-2. [Google Scholar]
- Vitanov, N.K.; Vitanov, K.N. Discrete-Time Model for a Motion of Substance in a Channel of a Network with Application to Channels of Human Migration. Physica A 2018, 509, 635–650. [Google Scholar] [CrossRef]
- Vitanov, N.K.; Vitanov, K.N. On the Motion of Substance in a Channel of a Network and Human Migration. Physica A 2018, 490, 1277–1294. [Google Scholar] [CrossRef]
- Vitanov, N.K.; Vitanov, K.N. Statistical Distributions Connected to Motion of Substance in a Channel of a Network. Physica A 2019, 527, 121174. [Google Scholar] [CrossRef]
- Vitanov, N.K.; Vitanov, K.N.; Ivanova, T. Box Model of Migration in Channels of Migration Networks. Adv. Comput. Ind. Math. 2018, 728, 203–215. [Google Scholar] [CrossRef]
- Vitanov, N.K.; Borisov, R. A Model of a Motion of Substance in a Channel of a Network. J. Theor. Appl. Mech. 2018, 48, 74–84. [Google Scholar] [CrossRef]
- Borisov, R.; Vitanov, N.K. Human Migration: Model of a Migration Channel with a Secondary and a Tertiary Arm. AIP Conf. Proc. 2019, 2075, 150001. [Google Scholar] [CrossRef]







© 2020 by the authors. Licensee MDPI, Basel, Switzerland. This article is an open access article distributed under the terms and conditions of the Creative Commons Attribution (CC BY) license (http://creativecommons.org/licenses/by/4.0/).
Share and Cite
Borisov, R.; Dimitrova, Z.I.; Vitanov, N.K. Statistical Characteristics of Stationary Flow of Substance in a Network Channel Containing Arbitrary Number of Arms. Entropy 2020, 22, 553. https://doi.org/10.3390/e22050553
Borisov R, Dimitrova ZI, Vitanov NK. Statistical Characteristics of Stationary Flow of Substance in a Network Channel Containing Arbitrary Number of Arms. Entropy. 2020; 22(5):553. https://doi.org/10.3390/e22050553
Chicago/Turabian StyleBorisov, Roumen, Zlatinka I. Dimitrova, and Nikolay K. Vitanov. 2020. "Statistical Characteristics of Stationary Flow of Substance in a Network Channel Containing Arbitrary Number of Arms" Entropy 22, no. 5: 553. https://doi.org/10.3390/e22050553
APA StyleBorisov, R., Dimitrova, Z. I., & Vitanov, N. K. (2020). Statistical Characteristics of Stationary Flow of Substance in a Network Channel Containing Arbitrary Number of Arms. Entropy, 22(5), 553. https://doi.org/10.3390/e22050553

