Cross-Domain Recommendation Based on Sentiment Analysis and Latent Feature Mapping
Abstract
1. Introduction
- A novel algorithm for cross-domain recommendation named CDR-SAFM is proposed for cold-start users in target domain. It employs sentiment analysis and latent feature mapping and it can transfer latent sentiment review feature from source domain to target domain and make recommendation for cold-start users in target domain.
- Basing on the idea of three-way decisions, we take into account neutral sentiment to generate the latent sentiment review feature from both the source and target domains, which can affect ratings in the two domains.
- The LDA models is used to generate user latent review features. When generating features, we consider the sentiment information from reviews, and generate the user sentiment review features in different domains.
- The Multi-layer Perceptron is employed to accurately map the latent sentiment review feature from the source domain to the target domain, which improves recommendation accuracy.
2. Related Work
3. Preliminary Work
3.1. Sentiment Analysis
3.2. Topic Model
4. The CDR-SAFM Algorithm
4.1. Notations
4.2. Problem Formulation
| Algorithm 1: The CDR-SAFM algorithm. |
Require:
|
4.3. Latent Sentiment Review Feature Modeling
4.3.1. Sentiment Analysis
4.3.2. Latent Sentiment Review Feature
4.4. Sentiment Review Feature Mapping
4.5. Cross-Domain Recommendation
5. Experiments
5.1. Experimental Settings
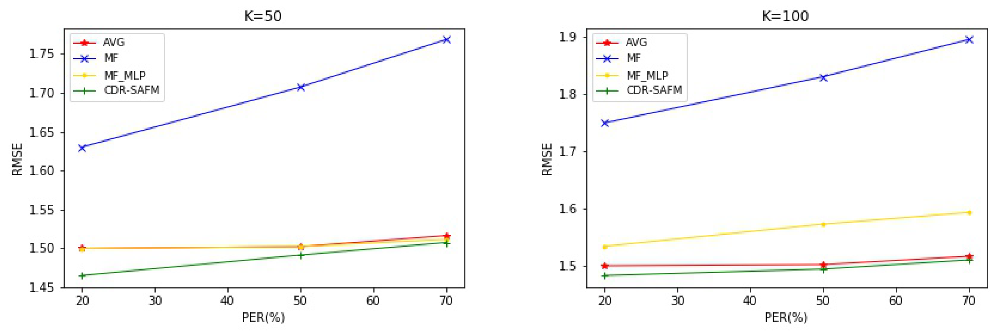
- AVE: It predicts ratings by the following equation: where is the overall average ratings of all items in the target domain, denotes the user rating bias in the source domain and represents item bias in the target domain.
- MF: This is the single-domain matrix factorization algorithm proposed in [2].
- MF_MLP: This is a cross-domain recommendation algorithm based on MF and MLP, which is proposed by [30]. In our experiment, for MF_MLP, the structure of the MLP is set as one-hidden layer, and the number of nodes in the hidden layer is set as 2M.
5.2. Experimental Results
6. Conclusions
Author Contributions
Funding
Conflicts of Interest
References
- Herlocker, J.L.; Konstan, J.A.; Borchers, A. An algorithmic framework for performing collaborative filtering. In Proceedings of the 22nd Annual International ACM SIGIR Conference on Research and Development in Information Retrieval, New York, NY, USA, 15–19 August 1999; pp. 230–237. [Google Scholar]
- Koren, Y.; Bell, R.; Volinsky, C. Matrix factorization techniques for recommender systems. IEEE Comput. 2009, 42, 30–37. [Google Scholar] [CrossRef]
- Cremonesi, P.; Tripodi, A.; Turrin, R. Cross-domain recommender systems. In Proceedings of the 11th International Conference on Data Mining Workshops, Vancouver, BC, Canada, 11 December 2011; pp. 496–503. [Google Scholar]
- Yao, Y.Y. Three-way decisions and cognitive computing. Cogn. Comput. 2016, 8, 543–554. [Google Scholar] [CrossRef]
- Yu, H.; Wang, X.; Wang, G. An active three-way clustering method via low-rank matrices for multi-view data. Inf. Sci. 2020, 507, 823–839. [Google Scholar] [CrossRef]
- Pan, W.; Yang, Q. Transfer learning in heterogeneous collaborative filtering domains. Artif. Intell. 2013, 197, 39–55. [Google Scholar] [CrossRef]
- Xin, X.; Liu, Z.; Lin, C.Y. Cross-domain collaborative filtering with review text. In Proceedings of the 24th International Joint Conference on Artificial Intelligence, Buenos Aires, Argentina, 25 July–1 August 2015; pp. 1827–1834. [Google Scholar]
- Wei, C.; Hsu, W.; Lee, M.L. A unified framework for recommendations based on quaternary semantic analysis. In Proceedings of the 34th International ACM SIGIR Conference on Research and Development in Information Retrieval, Beijing, China, 24–28 July 2011; pp. 1023–1032. [Google Scholar]
- Jiang, M.; Cui, P.; Chen, X. Social recommendation with cross-domain transferable knowledge. IEEE Trans. Knowl. Data Eng. 2015, 27, 3084–3097. [Google Scholar] [CrossRef]
- Nakatsuji, M.; Fujiwara, Y.; Tanaka, A. Recommendations Over Domain Specific User Graphs. In Proceedings of the 19th European Conference on Artificial Intelligence, Lisbon, Portugal, 16–20 August 2010; pp. 607–612. [Google Scholar]
- Tiroshi, A.; Berkovsky, S.; Kaafar, M.A. Cross social networks interests predictions based on graph features. In Proceedings of the 7th ACM Conference on Recommender Systems, Hong Kong, China, 12–16 October 2013; pp. 319–322. [Google Scholar]
- Gong, Q.; Chen, Y.; Hu, J.; Cao, Q.; Hui, P.; Wang, X. Understanding cross-site linking in online social networks. ACM Trans. Web. 2018, 12, 1–29. [Google Scholar] [CrossRef]
- Meo, P.D.; Ferrara, E.; Abel, F.; Aroyo, L.; Houben, G.J. Analyzing user behavior across social sharing environments. ACM Trans. Intell. Syst. Technol. 2014, 5, 1–31. [Google Scholar] [CrossRef]
- Li, Y.; Su, Z.; Yang, J.; Gao, C. Exploiting similarities of user friendship networks across social networks for user identification. Inf. Sci. 2020, 506, 78–98. [Google Scholar] [CrossRef]
- Yang, D.; He, J.; Qin, H. A graph-based recommendation across heterogeneous domains. In Proceedings of the 24th ACM International Conference on Information and Knowledge Management, Melbourne, Australia, 19–23 October 2015; pp. 463–472. [Google Scholar]
- Shi, Y.; Larson, M.; Hanjalic, A. Tags as bridges between domains: Improving recommendation with tag-induced cross-domain collaborative filtering. In Proceedings of the 19th International Conference on User Modeling, Adaptation, and Personalization, Girona, Spain, 11–15 July 2011; pp. 305–316. [Google Scholar]
- Mnih, A.; Salakhutdinov, R.R. Probabilistic matrix factorization. In Proceedings of the 22nd Annual Conference on Neural Information Processing Systems, Vancouver, BC, Canada, 8–10 December 2008; pp. 1257–1264. [Google Scholar]
- Kumar, A.; Kumar, N.; Hussain, M. Semantic clustering-based cross-domain recommendation. In Proceedings of the 5th Edition Conference Ieee Symposium on Computational Intelligence and Data Mining, Orlando, FL, USA, 9–12 December 2014; pp. 137–141. [Google Scholar]
- Blei, D.M.; Ng, A.Y.; Jordan, M.I. Latent dirichlet allocation. J. Mach. Learn. Res. 2003, 3, 993–1022. [Google Scholar]
- Song, T.; Peng, Z.; Wang, S. Review-based cross-domain recommendation through joint tensor factorization. In Proceedings of the 22nd International Conference on Database Systems for Advanced Applications, Suzhou, China, 27–30 March 2017; pp. 525–540. [Google Scholar]
- Li, H.; Lin, R.; Hong, R. Generative models for mining latent aspects and their ratings from short reviews. In Proceedings of the 15th IEEE International Conference on Data Mining, Atlantic City, NJ, USA, 14–17 November 2015; pp. 241–250. [Google Scholar]
- Hu, G.; Zhang, Y.; Yang, Q. Transfer Meets Hybrid: A Synthetic Approach for Cross-Domain Collaborative Filtering with Text. In Proceedings of the 28th International World Wide Web Conferences, San Francisco, CA, USA, 13–17 May 2019; pp. 2822–2829. [Google Scholar]
- Pang, B.; Lee, L. Opinion mining and sentiment analysis. Found. Trends Inf. Retr. 2008, 2, 1–135. [Google Scholar] [CrossRef]
- Hu, M.; Liu, B. Mining and summarizing customer reviews. In Proceedings of the 10th ACM SIGKDD International Conference on Knowledge Discovery and Data Mining, Seattle, WA, USA, 22–25 August 2004; pp. 168–177. [Google Scholar]
- Diao, Q.; Qiu, M.; Wu, C.Y. Jointly modeling aspects, ratings and sentiments for movie recommendation (JMARS). In Proceedings of the 20th ACM SIGKDD international conference on Knowledge discovery and data mining, New York, NY, USA, 24–27 August 2014; pp. 193–202. [Google Scholar]
- Zhang, Y.; Lai, G.; Zhang, M. Explicit factor models for explainable recommendation based on phrase-level sentiment analysis. In Proceedings of the 37th International ACM SIGIR Conference on Research & Development in Information Retrieval, Gold Coast, Queensland, Australia, 6–11 July 2014; pp. 83–92. [Google Scholar]
- Li, F.; Wang, S.; Liu, S. Suit: A supervised user-item based topic model for sentiment analysis. In Proceedings of the 28th AAAI Conference on Artificial Intelligence, Québec City, QC, Canada, 27–31 July 2014; pp. 1636–1642. [Google Scholar]
- He, R.; McAuley, J. Ups and downs: Modeling the visual evolution of fashion trends with one-class collaborative filtering. In Proceedings of the 25th International World Wide Web Conference, Montreal, QC, Canada, 11–15 April 2016; pp. 507–517. [Google Scholar]
- Glorot, X.; Bengio, Y. Understanding the difficulty of training deep feedforward neural networks. In Proceedings of the 13th International Conference on Artificial Intelligence and Statistics, Athens, Greece, 28–29 May 2010; pp. 249–256. [Google Scholar]
- Man, T.; Shen, H.; Jin, X. Cross-Domain Recommendation: An Embedding and Mapping Approach. In Proceedings of the 26th International Joint Conference on Artificial Intelligence, Melbourne, Australia, 19–25 August 2017; pp. 2464–2470. [Google Scholar]





| Datasets | Electronics | Movies & TV |
|---|---|---|
| Num. of users | 192,403 | 123,960 |
| Num. of Items | 63,001 | 50,052 |
| Num. of reviews | 8,898,041 | 1,697,533 |
| K: the Number of Topics | Algorithms | 20% | 50% | 70% |
|---|---|---|---|---|
| 50 | AVE | 1.4998 | 1.5020 | 1.5163 |
| 50 | MF | 1.6300 | 1.7071 | 1.7682 |
| 50 | MF_MLP | 1.4996 | 1.5021 | 1.5113 |
| 50 | CDR-SAFM | 1.4650 | 1.4912 | 1.5073 |
| 100 | AVE | 1.4998 | 1.5020 | 1.5163 |
| 100 | MF | 1.7494 | 1.8300 | 1.8950 |
| 100 | MF_MLP | 1.5338 | 1.5726 | 1.5929 |
| 100 | CDR-SAFM | 1.4829 | 1.4940 | 1.5100 |
© 2020 by the authors. Licensee MDPI, Basel, Switzerland. This article is an open access article distributed under the terms and conditions of the Creative Commons Attribution (CC BY) license (http://creativecommons.org/licenses/by/4.0/).
Share and Cite
Wang, Y.; Yu, H.; Wang, G.; Xie, Y. Cross-Domain Recommendation Based on Sentiment Analysis and Latent Feature Mapping. Entropy 2020, 22, 473. https://doi.org/10.3390/e22040473
Wang Y, Yu H, Wang G, Xie Y. Cross-Domain Recommendation Based on Sentiment Analysis and Latent Feature Mapping. Entropy. 2020; 22(4):473. https://doi.org/10.3390/e22040473
Chicago/Turabian StyleWang, Yongpeng, Hong Yu, Guoyin Wang, and Yongfang Xie. 2020. "Cross-Domain Recommendation Based on Sentiment Analysis and Latent Feature Mapping" Entropy 22, no. 4: 473. https://doi.org/10.3390/e22040473
APA StyleWang, Y., Yu, H., Wang, G., & Xie, Y. (2020). Cross-Domain Recommendation Based on Sentiment Analysis and Latent Feature Mapping. Entropy, 22(4), 473. https://doi.org/10.3390/e22040473

