Analysis of Solidarity Effect for Entropy, Pareto, and Gini Indices on Two-Class Society Using Kinetic Wealth Exchange Model
Abstract
1. Introduction
2. Kinetic Exchange Models
2.1. Kinetic Exchange Model without Saving
2.2. Kinetic Exchange Model with Homogeneous Savings
2.3. Kinetic Exchange Model with Heterogeneous Savings
2.4. Two-Class Kinetic Exchange Model with Wealth-Dependent Trading Rules
2.5. Two-Class Kinetic Exchange Model with Solidarity
- Two agents are randomly selected.
- Identify the class of each agent.
- If they belong to the same class, then they perform the trading according to the rules described in Section 2.1 through Section 2.3, respectively.
- If they belong to the different classes, the agent in the lower class gather partners according to the solidarity ratio in the lower class and enter the wealth-weighted trade described in Section 2.4 with the following winning probabilities defined bywhere +1, the denotes the number of agents in the lower class.
- If the agent wins the trading, is equally distributed to all the partners.
- When the agent loses the trading, only the agent loses his own wealth with other partners preserving their own’s.
3. Numerical Results and Inequality Index
3.1. Wealth-Dependent Trading Rules Effect on Wealth Distribution of a Stratified Society
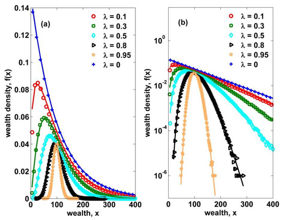
3.2. Solidarity Effect on Wealth Distribution of a Stratified Society
3.3. Lorenz Curve and Gini Coefficient as an Inequality Index
4. Discussion and Conclusions
Author Contributions
Funding
Conflicts of Interest
References
- Pareto, V. Cours d’Économie Politique; Volume 2; Rouge, F., Ed.; Available online: https://www.abebooks.com/signed-first-edition/Cours-d%C3%89conomie-Politique-Profess%C3%A9-lUniversit%C3%A9-Lausanne/11242954840/bd (accessed on 26 March 2020).
- Gibrat, R. Les Inégalités Economiques; Sirey: Paris, France, 1981. [Google Scholar]
- Kalecki, M. On the Gibrat distribution. Econometrica 1945, 13, 607–635. [Google Scholar] [CrossRef]
- Champernowne, D.G. A model of income distribution. Econom. J. 1953, 63, 318–351. [Google Scholar] [CrossRef]
- Angle, J. The surplus theory of social stratification and the size distribution of personal wealth. Soc. Forces 1986, 65, 293–326. [Google Scholar] [CrossRef]
- Bouchaud, J.-P.; Mézard, M. Wealth condensation in a simple model of economy. Physica A 2000, 282, 536–545. [Google Scholar] [CrossRef]
- Chakraborti, A.; Chakrabarti, B.K. Statistical mechanics of money: How saving propensity affects its distribution. Eur. Phys. J. B 2000, 17, 167–170. [Google Scholar] [CrossRef]
- Drăgulescu, A.A.; Yakovenko, V.M. Statistical mechanics of money. Eur. Phys. J. B 2000, 17, 723–729. [Google Scholar] [CrossRef]
- Levy, M. Are rich people smarter? J. Econ. Theory 2003, 110, 42–64. [Google Scholar] [CrossRef]
- Levy, M.; Levy, H. Investment talent and the Pareto wealth distribution. Rev. Econ. Stat. 2003, 85, 709–725. [Google Scholar] [CrossRef]
- Sinha, S. Evidence for power-law tail of the wealth distribution in India. Physica A 2006, 359, 555–562. [Google Scholar] [CrossRef]
- Klass, O.S.; Biham, O.; Levy, M.; Malcai, O.; Solomon, S. The Forbes 400, the Pareto power-Law and efficient markets. Eur. Phys. J. B 2007, 55, 143–147. [Google Scholar] [CrossRef]
- Drăgulescu, A.A.; Yakovenko, V.M. Evidence for the exponential distribution of income in the USA. Eur. Phys. J. B 2001, 20, 585–589. [Google Scholar] [CrossRef]
- Drăgulescu, A.A.; Yakovenko, V.M. Exponential and power-Law probability distributions of wealth and income in the United Kingdom and the United States. Physica A 2001, 299, 213–221. [Google Scholar] [CrossRef]
- Tao, Y.; Wu, X.; Zhou, T.; Yan, W.; Huang, Y.; Yu, H.; Mondal, B.; Yakovenko, V.M. Exponential structure of income inequality: Evidence from 67 countries. J. Econ. Interact Coord. 2019, 14, 345–376. [Google Scholar] [CrossRef]
- Solomon, S.; Richmond, P. Power laws of wealth, market order volumes and market returns. Physica A 2001, 299, 188–197. [Google Scholar] [CrossRef]
- Solomon, S.; Richmond, P. Stable power laws in variable economies; Lotka-Volterra implies Pareto-Zipf. Euro. Phys. J. B 2002, 27, 257–261. [Google Scholar] [CrossRef]
- Chatterjee, A.; Chakrabarti, B.K. Kinetic exchange models for income and wealth distributions. Eur. Phys. J. B 2007, 60, 135–149. [Google Scholar] [CrossRef]
- Yakovenko, V.M., Jr.; Rosser, J.B. Colloquium: Statistical mechanics of money, wealth, and income. Rev. Mod. Phys. 2009, 81, 1703. [Google Scholar] [CrossRef]
- Du¨ring, B.; Pareschi, L.; Toscani, G. Kinetic models for optimal control of wealth inequalities. Eur. Phys. J. B 2018, 91, 265. [Google Scholar] [CrossRef]
- Knopoff, D.A.; Torres, G.A. On an optimal control strategy in a kinetic social dynamics model. Commun. Appl. Ind. Math. 2018, 9, 22–33. [Google Scholar] [CrossRef]
- Gualandi, S.; Toscani, G. Pareto tails in socio-Economic phenomena: A kinetic description. Econ. Open-Access Open-Assess. E-J. 2018, 12, 1–17. [Google Scholar] [CrossRef]
- Furioli, G.; Pulvirenti, A.; Terraneo, E.; Toscani, G. Non-Maxwellian kinetic equations modeling the dynamics of wealth distribution. Math. Models Methods Appl. Sci. 2020. [Google Scholar] [CrossRef]
- Patriarca, M.; Chakraborti, A.; Kasaki, K. Statistical model with a standard Gamma distribution. Phys. Rev. E 2004, 70, 016104. [Google Scholar] [CrossRef] [PubMed]
- Patriarca, M.; Chakraborti, A.; Germano, G. Influence of saving propensity on the power-Law tail of the wealth distribution. Physica A 2006, 369, 723–736. [Google Scholar] [CrossRef][Green Version]
- Silva, A.C.; Yakovenko, V.M. Temporal evolution of the thermal and superthermal income classes in the USA during 1983-2001. Europhys. Lett. 2005, 69, 304–310. [Google Scholar] [CrossRef]
- Ferrero, J.C. The statistical distribution of money and the rate of money transference. Phys. A. 2004, 341, 575–585. [Google Scholar] [CrossRef]
- Ferrero, J.C. The Monomodal, Polymodal, Equilibrium and Nonequilibrium Distribution of Money; Chatterjee, A., Yarlagadda, S., Chakrabarti, B.K., Eds.; Springer: Milano, Italy, 2005. [Google Scholar]
- Lifshitz, E.M.; Pitaevskii, L.P. Physical Kinetics: Course of Theoretical Physics; Butterworth-Heinemann: Oxford, UK, 1981; Volume 10. [Google Scholar]
- Mimkes, J.; Willis, G. Lagrange Principle of Wealth Distribution; Chatterjee, A., Yarlagadda, S., Chakrabarti, B.K., Eds.; Springer: Milano, Italy, 2005. [Google Scholar]
- Mimkes, J.; Aruka, Y. Carnot Process of Wealth Distribution; Chatterjee, A., Yarlagadda, S., Chakrabarti, B.K., Eds.; Springer: Milano, Italy, 2005. [Google Scholar]
- Chakraborti, A.; Patriarca, M. Gamma-Distribution and wealth inequality. Pramana–J. Phys. 2008, 71, 233–243. [Google Scholar] [CrossRef][Green Version]
- Chatterjee, A.; Chakrabarti, B.K.; Manna, S.S. Money in Gas-Like Markets: Gibbs and Pareto Laws. Phys. Scr. 2003, T106, 36. [Google Scholar] [CrossRef]
- Chatterjee, A.; Chakrabarti, B.K.; Manna, S.S. Pareto law in a kinetic model of market with random saving propensity. Phys. A 2004, 335, 155–163. [Google Scholar] [CrossRef]
- Mohanty, P.K. Generic features of the wealth distribution in ideal-Gas-Like markets. Phys. Rev. E 2006, 74, 011117. [Google Scholar] [CrossRef]
- Kakwani, N.C. Income Inequality and Poverty; Oxford University Press: Washington, DC, USA, 1980. [Google Scholar]
- Shannon, S. A mathematical theory of communication. Bell Syst. Tech. J. 1948, 27, 379–423. [Google Scholar] [CrossRef]







| Model. | |||
|---|---|---|---|
| 2-1 model, Equation (4) | No saving | 160 | 230 |
| 2-2 model, Equation (6) | 60 | 128 | |
| 156 | 215 | ||
| 152 | 201 | ||
| 147 | 189 | ||
| 138 | 167 | ||
| 128 | 147 | ||
| 122 | 136 | ||
| 115 | 124 | ||
| 2-3 model, Equation (12) | 110 | 117 |
| Model | Solidarity Parameter | Gini Index | |
|---|---|---|---|
| 2-5 model | 0.9595 | 0.9371 | |
| 5.2524 | 0.4768 | ||
| 5.2087 | 0.3874 | ||
| 5.1369 | 0.3794 | ||
| 5.1992 | 0.3878 | ||
| 5.1594 | 0.3728 | ||
| 5.1608 | 0.3662 | ||
| 5.1512 | 0.3704 |
© 2020 by the authors. Licensee MDPI, Basel, Switzerland. This article is an open access article distributed under the terms and conditions of the Creative Commons Attribution (CC BY) license (http://creativecommons.org/licenses/by/4.0/).
Share and Cite
Lim, G.; Min, S. Analysis of Solidarity Effect for Entropy, Pareto, and Gini Indices on Two-Class Society Using Kinetic Wealth Exchange Model. Entropy 2020, 22, 386. https://doi.org/10.3390/e22040386
Lim G, Min S. Analysis of Solidarity Effect for Entropy, Pareto, and Gini Indices on Two-Class Society Using Kinetic Wealth Exchange Model. Entropy. 2020; 22(4):386. https://doi.org/10.3390/e22040386
Chicago/Turabian StyleLim, Gyuchang, and Seungsik Min. 2020. "Analysis of Solidarity Effect for Entropy, Pareto, and Gini Indices on Two-Class Society Using Kinetic Wealth Exchange Model" Entropy 22, no. 4: 386. https://doi.org/10.3390/e22040386
APA StyleLim, G., & Min, S. (2020). Analysis of Solidarity Effect for Entropy, Pareto, and Gini Indices on Two-Class Society Using Kinetic Wealth Exchange Model. Entropy, 22(4), 386. https://doi.org/10.3390/e22040386

